Przyznawanie stypendiów doktorskich i habilitacyjnych_P.96_DRU

Transkrypt

Przyznawanie stypendiów doktorskich i habilitacyjnych_P.96_DRU
KARTA PROCEDURY
P.96_DRU
Procedura: P.96
Zakres przedmiotowy: przyznawanie stypendiów doktorskich i habilitacyjnych
Uczestnicy procesu:
1. pracownicy: Prorektor ds. Kadr i Rozwoju Uczelni, pracownik ubiegający się o stypendium,
kierownik jednostki organizacyjnej, specjalista z danej dziedziny nauki, Dział Płac i
Stypendiów (DPS), Dział Rozwoju Uczelni (DRU)
2. komisje/rady: rada wydziału,
Właściciel procesu: Dział Rozwoju Uczelni (DRU),
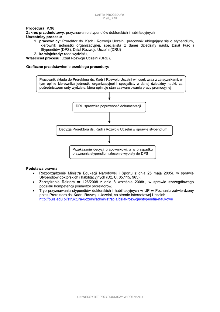
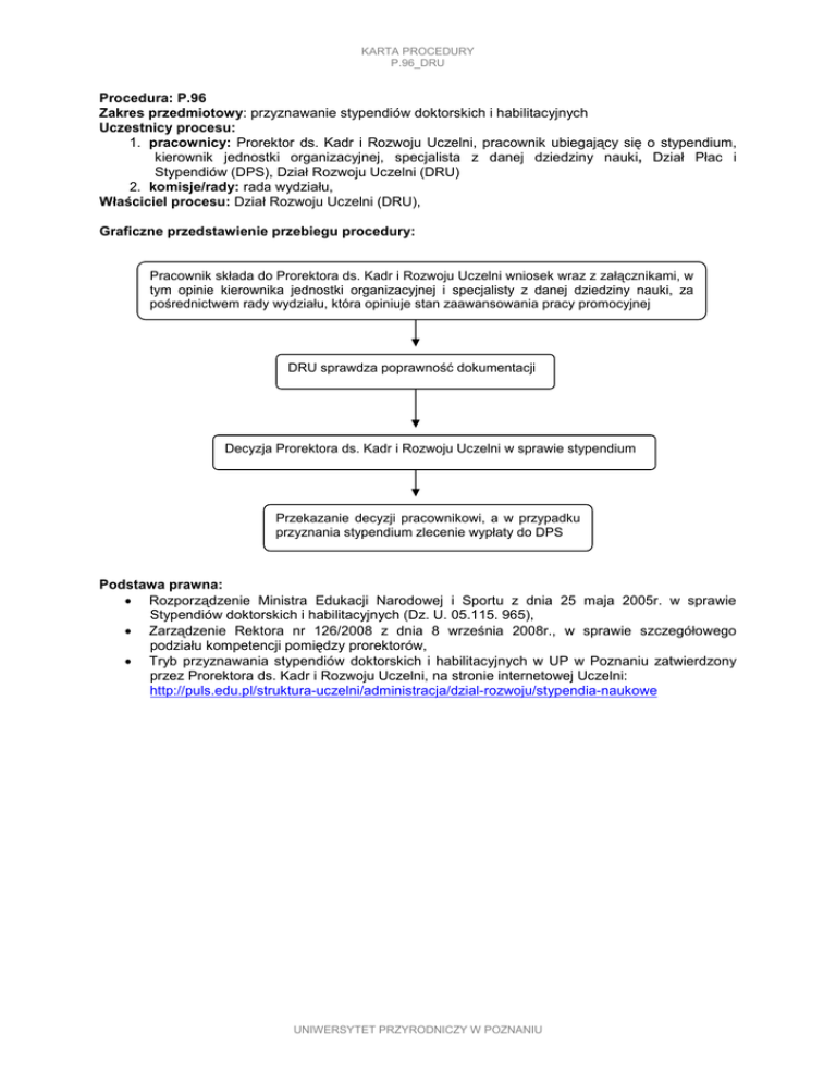
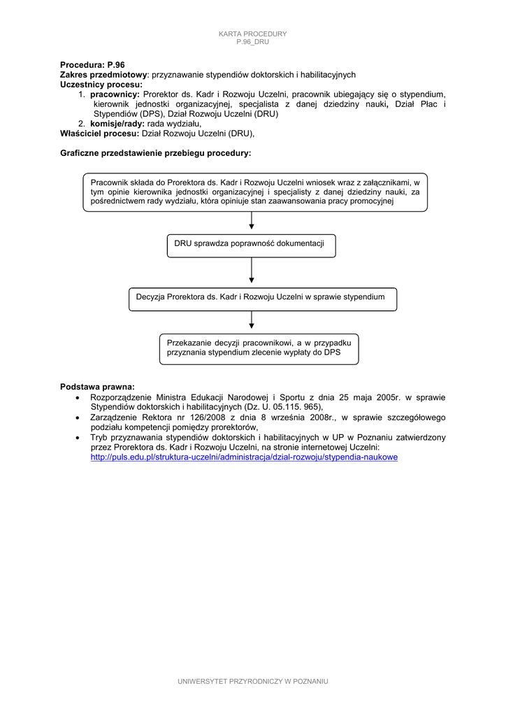
Graficzne przedstawienie przebiegu procedury:
Pracownik składa do Prorektora ds. Kadr i Rozwoju Uczelni wniosek wraz z załącznikami, w
tym opinie kierownika jednostki organizacyjnej i specjalisty z danej dziedziny nauki, za
pośrednictwem rady wydziału, która opiniuje stan zaawansowania pracy promocyjnej
DRU sprawdza poprawność dokumentacji
Decyzja Prorektora ds. Kadr i Rozwoju Uczelni w sprawie stypendium
Przekazanie decyzji pracownikowi, a w przypadku
przyznania stypendium zlecenie wypłaty do DPS
Podstawa prawna:
• Rozporządzenie Ministra Edukacji Narodowej i Sportu z dnia 25 maja 2005r. w sprawie
Stypendiów doktorskich i habilitacyjnych (Dz. U. 05.115. 965),
• Zarządzenie Rektora nr 126/2008 z dnia 8 września 2008r., w sprawie szczegółowego
podziału kompetencji pomiędzy prorektorów,
• Tryb przyznawania stypendiów doktorskich i habilitacyjnych w UP w Poznaniu zatwierdzony
przez Prorektora ds. Kadr i Rozwoju Uczelni, na stronie internetowej Uczelni:
http://puls.edu.pl/struktura-uczelni/administracja/dzial-rozwoju/stypendia-naukowe
UNIWERSYTET PRZYRODNICZY W POZNANIU