wyjazd doktoranta w celach naukowych, związany z realizacją pracy

Transkrypt

wyjazd doktoranta w celach naukowych, związany z realizacją pracy
KARTA PROCEDURY
P.100_DRU
Procedura: P.100
Zakres przedmiotowy: wyjazd doktoranta w celach naukowych, związany z realizacją pracy
doktorskiej
Uczestnicy procesu:
1. pracownicy: Prorektor ds. Kadr i Rozwoju Uczelni, doktorant, kierownik jednostki
organizacyjnej, kierownik studiów doktoranckich, opiekun naukowy, Dział Płac i Stypendiów
(DPS), Dział Rozwoju Uczelni (DRU)
2. komisje/rady: rada wydziału,
Właściciel procesu: Dział Rozwoju Uczelni (DRU),
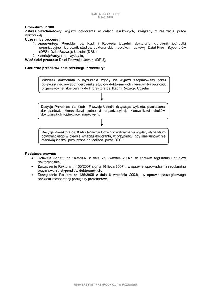
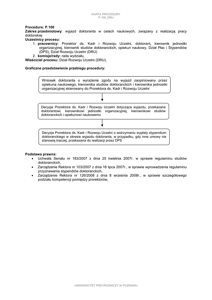
Graficzne przedstawienie przebiegu procedury:
Wniosek doktoranta o wyraŜenie zgody na wyjazd zaopiniowany przez
opiekuna naukowego, kierownika studiów doktoranckich i kierownika jednostki
organizacyjnej skierowany do Prorektora ds. Kadr i Rozwoju Uczelni
Decyzja Prorektora ds. Kadr i Rozwoju Uczelni dotycząca wyjazdu, przekazana
doktorantowi, kierownikowi jednostki organizacyjnej, kierownikowi studiów
doktoranckich i opiekunowi naukowemu
Decyzja Prorektora ds. Kadr i Rozwoju Uczelni o wstrzymaniu wypłaty stypendium
doktoranckiego w okresie wyjazdu doktoranta, w przypadku, gdy inne umowy nie
stanowią inaczej, przekazana do realizacji przez DPS
Podstawa prawna:
• Uchwała Senatu nr 183/2007 z dnia 25 kwietnia 2007r. w sprawie regulaminu studiów
doktoranckich,
• Zarządzenie Rektora nr 103/2007 z dnia 16 lipca 2007r., w sprawie wprowadzenia regulaminu
przyznawania stypendiów doktoranckich,
• Zarządzenie Rektora nr 126/2008 z dnia 8 września 2008r., w sprawie szczegółowego
podziału kompetencji pomiędzy prorektorów,
UNIWERSYTET PRZYRODNICZY W POZNANIU

Podobne dokumenty