Odwołanie doktornata od decyzji kierownika studiów o skreśleniu ze

Transkrypt

Odwołanie doktornata od decyzji kierownika studiów o skreśleniu ze
KARTA PROCEDURY
P.101_DRU
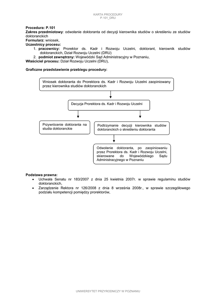
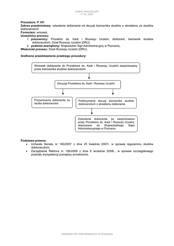
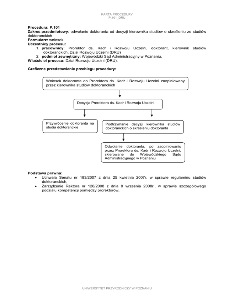
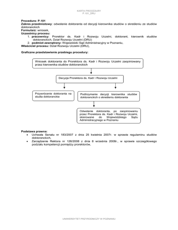
Procedura: P.101
Zakres przedmiotowy: odwołanie doktoranta od decyzji kierownika studiów o skreśleniu ze studiów
doktoranckich
Formularz: wniosek,
Uczestnicy procesu:
1. pracownicy: Prorektor ds. Kadr i Rozwoju Uczelni, doktorant, kierownik studiów
doktoranckich, Dział Rozwoju Uczelni (DRU)
2. podmiot zewnętrzny: Wojewódzki Sąd Administracyjny w Poznaniu,
Właściciel procesu: Dział Rozwoju Uczelni (DRU),
Graficzne przedstawienie przebiegu procedury:
Wniosek doktoranta do Prorektora ds. Kadr i Rozwoju Uczelni zaopiniowany
przez kierownika studiów doktoranckich
Decyzja Prorektora ds. Kadr i Rozwoju Uczelni
Przywrócenie doktoranta na
studia doktoranckie
Podtrzymanie decyzji kierownika studiów
doktoranckich o skreśleniu doktoranta
Odwołanie doktoranta, po zaopiniowaniu
przez Prorektora ds. Kadr i Rozwoju Uczelni,
skierowane
do
Wojewódzkiego
Sądu
Administracyjnego w Poznaniu
Podstawa prawna:
• Uchwała Senatu nr 183/2007 z dnia 25 kwietnia 2007r. w sprawie regulaminu studiów
doktoranckich,
• Zarządzenie Rektora nr 126/2008 z dnia 8 września 2008r., w sprawie szczegółowego
podziału kompetencji pomiędzy prorektorów,
UNIWERSYTET PRZYRODNICZY W POZNANIU

Podobne dokumenty