Powołanie kierownika studium doktoranckiego_P.102_DRU

Transkrypt

Powołanie kierownika studium doktoranckiego_P.102_DRU
KARTA PROCEDURY
P.102_DRU
Procedura: P.102
Zakres przedmiotowy: powołanie kierownika studium doktoranckiego
Uczestnicy procesu:
1. pracownicy: Prorektor ds. Kadr i Rozwoju Uczelni, dziekan, Dział Osobowy i Spraw
Socjalnych (DOSS), Dział Rozwoju Uczelni (DRU)
2. komisje/rady: rada wydziału, samorząd doktorantów,
Właściciel procesu: Dział Rozwoju Uczelni (DRU),
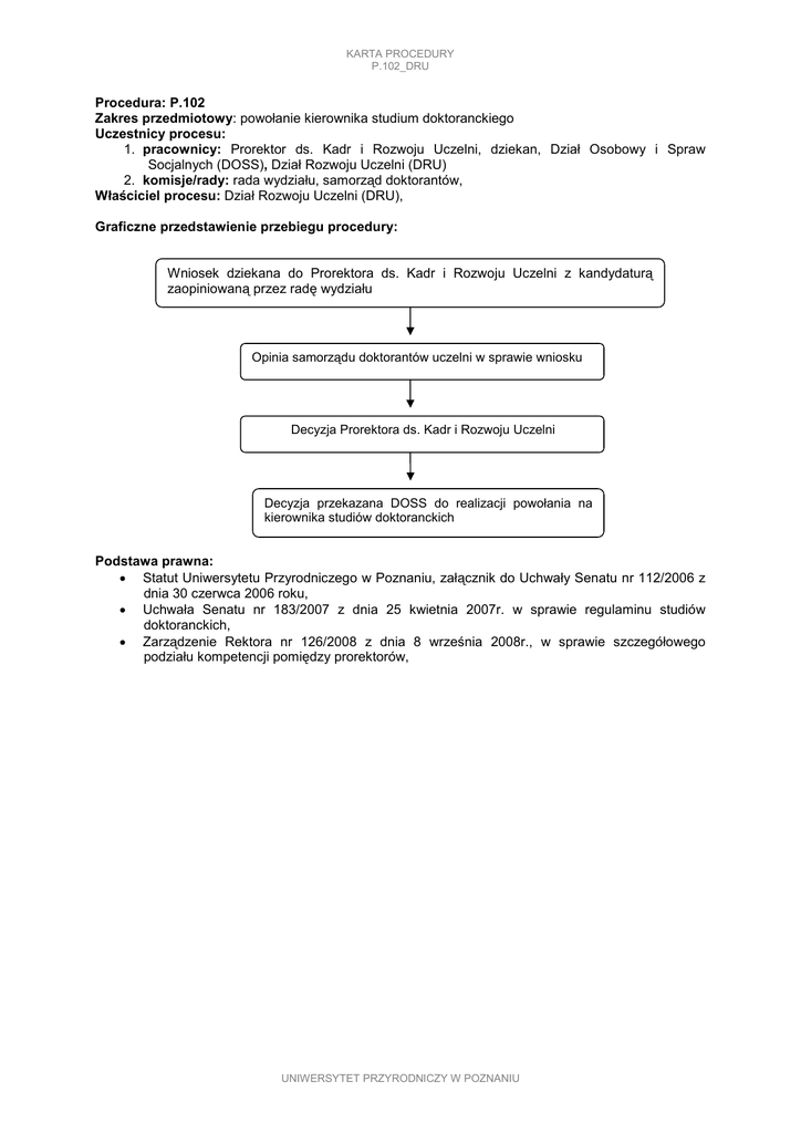
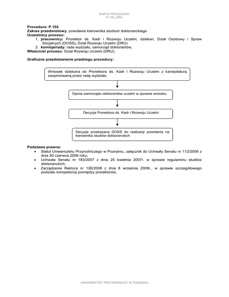
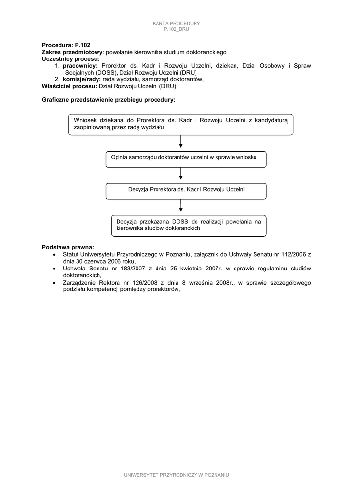
Graficzne przedstawienie przebiegu procedury:
Wniosek dziekana do Prorektora ds. Kadr i Rozwoju Uczelni z kandydaturą
zaopiniowaną przez radę wydziału
Opinia samorządu doktorantów uczelni w sprawie wniosku
Decyzja Prorektora ds. Kadr i Rozwoju Uczelni
Decyzja przekazana DOSS do realizacji powołania na
kierownika studiów doktoranckich
Podstawa prawna:
• Statut Uniwersytetu Przyrodniczego w Poznaniu, załącznik do Uchwały Senatu nr 112/2006 z
dnia 30 czerwca 2006 roku,
• Uchwała Senatu nr 183/2007 z dnia 25 kwietnia 2007r. w sprawie regulaminu studiów
doktoranckich,
• Zarządzenie Rektora nr 126/2008 z dnia 8 września 2008r., w sprawie szczegółowego
podziału kompetencji pomiędzy prorektorów,
UNIWERSYTET PRZYRODNICZY W POZNANIU

Podobne dokumenty