Procedura: P.95 Zakres przedmiotowy: zawiadamianie instytucji

Transkrypt

Procedura: P.95 Zakres przedmiotowy: zawiadamianie instytucji
KARTA PROCEDURY
P.95_DRU
Procedura: P.95
Zakres przedmiotowy: zawiadamianie instytucji centralnych o nadaniu stopni naukowych
Formularz: zawiadomienie o nadaniu stopnia naukowego doktora/doktora habilitowanego zgodne z
rozporządzeniem (Dz. U. 04.15.128 z późn. zm.), karta informacyjna o pracy badawczej SYNABA:
program do pobrania z dowolnego adresu:
http://www.opi.org.pl/pl/bazy-danych/
http://nauka-polska.pl/shtml/raporty/raporty badania.shtml
http://puls.edu.pl/struktura-uczelni/administracja/synaba
Uczestnicy procesu:
1. pracownicy: Prorektor ds. Kadr i Rozwoju Uczelni, doktor/doktor habilitowany, dziekan,
kierownik jednostki organizacyjnej, Dział Rozwoju Uczelni (DRU)
2. komisje/rady: rada wydziału,
3. podmioty zewnętrzne: Ministerstwo Nauki i Szkolnictwa WyŜszego (MNiSW), Ośrodek
Przetwarzania Informacji w Warszawie (OPI),
Właściciel procesu: Dział Rozwoju Uczelni (DRU),
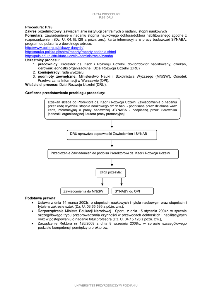
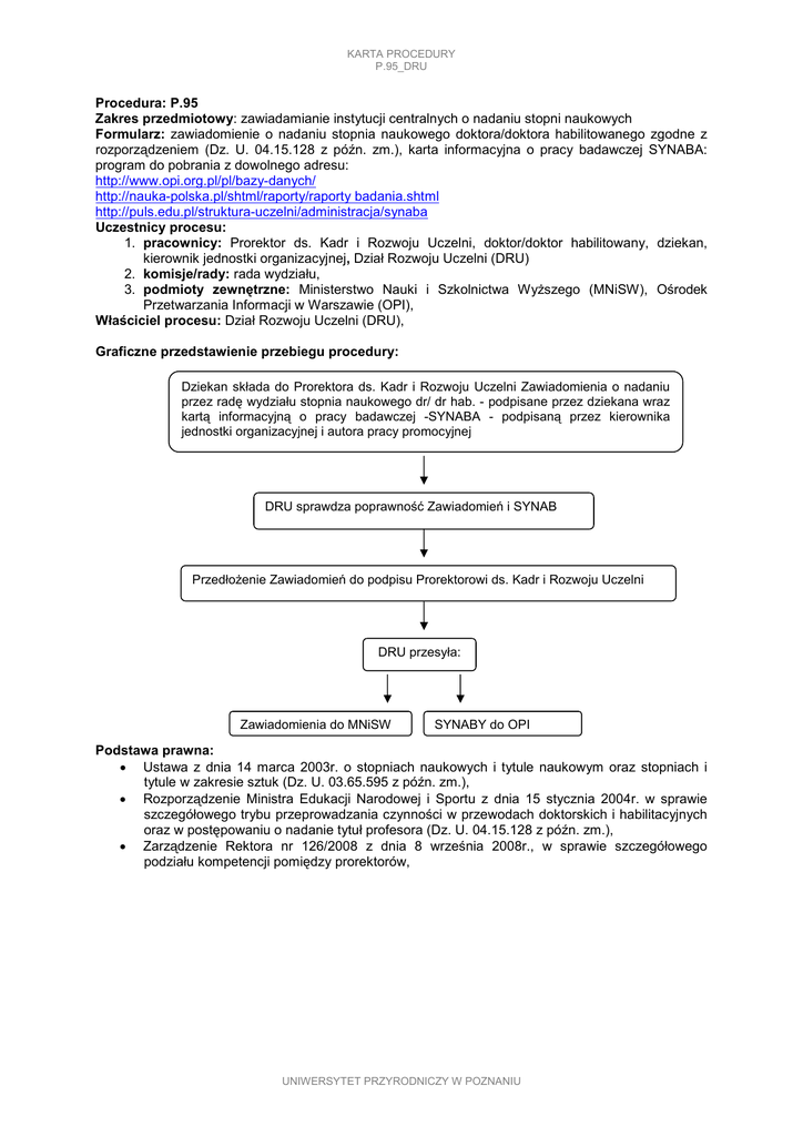
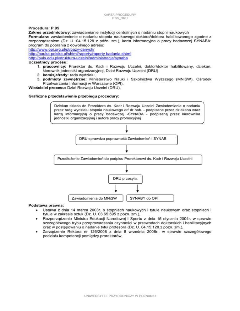
Graficzne przedstawienie przebiegu procedury:
Dziekan składa do Prorektora ds. Kadr i Rozwoju Uczelni Zawiadomienia o nadaniu
przez radę wydziału stopnia naukowego dr/ dr hab. - podpisane przez dziekana wraz
kartą informacyjną o pracy badawczej -SYNABA - podpisaną przez kierownika
jednostki organizacyjnej i autora pracy promocyjnej
DRU sprawdza poprawność Zawiadomień i SYNAB
PrzedłoŜenie Zawiadomień do podpisu Prorektorowi ds. Kadr i Rozwoju Uczelni
DRU przesyła:
Zawiadomienia do MNiSW
SYNABY do OPI
Podstawa prawna:
• Ustawa z dnia 14 marca 2003r. o stopniach naukowych i tytule naukowym oraz stopniach i
tytule w zakresie sztuk (Dz. U. 03.65.595 z późn. zm.),
• Rozporządzenie Ministra Edukacji Narodowej i Sportu z dnia 15 stycznia 2004r. w sprawie
szczegółowego trybu przeprowadzania czynności w przewodach doktorskich i habilitacyjnych
oraz w postępowaniu o nadanie tytuł profesora (Dz. U. 04.15.128 z późn. zm.),
• Zarządzenie Rektora nr 126/2008 z dnia 8 września 2008r., w sprawie szczegółowego
podziału kompetencji pomiędzy prorektorów,
UNIWERSYTET PRZYRODNICZY W POZNANIU