Zwrot stypendiów habilitacyjnych i doktorskich_P
Transkrypt
										Zwrot stypendiów habilitacyjnych i doktorskich_P
                                        
                                        
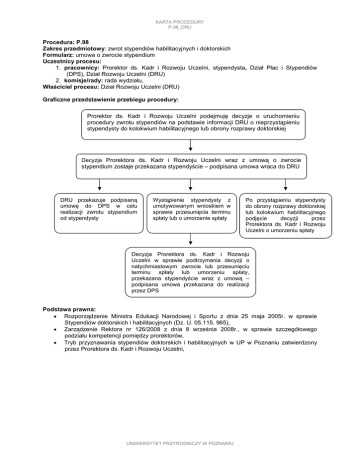
                                KARTA PROCEDURY P.98_DRU Procedura: P.98 Zakres przedmiotowy: zwrot stypendiów habilitacyjnych i doktorskich Formularz: umowa o zwrocie stypendium Uczestnicy procesu: 1. pracownicy: Prorektor ds. Kadr i Rozwoju Uczelni, stypendysta, Dział Płac i Stypendiów (DPS), Dział Rozwoju Uczelni (DRU) 2. komisje/rady: rada wydziału, Właściciel procesu: Dział Rozwoju Uczelni (DRU) Graficzne przedstawienie przebiegu procedury: Prorektor ds. Kadr i Rozwoju Uczelni podejmuję decyzje o uruchomieniu procedury zwrotu stypendiów na podstawie informacji DRU o nieprzystąpieniu stypendysty do kolokwium habilitacyjnego lub obrony rozprawy doktorskiej Decyzja Prorektora ds. Kadr i Rozwoju Uczelni wraz z umową o zwrocie stypendium zostaje przekazana stypendyście – podpisana umowa wraca do DRU DRU przekazuje podpisaną umowę do DPS w celu realizacji zwrotu stypendium od stypendysty Wystąpienie stypendysty z umotywowanym wnioskiem w sprawie przesunięcia terminu spłaty lub o umorzenie spłaty Po przystąpieniu stypendysty do obrony rozprawy doktorskiej lub kolokwium habilitacyjnego podjęcie decyzji przez Prorektora ds. Kadr i Rozwoju Uczelni o umorzeniu spłaty Decyzja Prorektora ds. Kadr i Rozwoju Uczelni w sprawie podtrzymania decyzji o natychmiastowym zwrocie lub przesunięciu terminu spłaty lub umorzeniu spłaty, przekazana stypendyście wraz z umową – podpisana umowa przekazana do realizacji przez DPS Podstawa prawna: • Rozporządzenie Ministra Edukacji Narodowej i Sportu z dnia 25 maja 2005r. w sprawie Stypendiów doktorskich i habilitacyjnych (Dz. U. 05.115. 965), • Zarządzenie Rektora nr 126/2008 z dnia 8 września 2008r., w sprawie szczegółowego podziału kompetencji pomiędzy prorektorów, • Tryb przyznawania stypendiów doktorskich i habilitacyjnych w UP w Poznaniu zatwierdzony przez Prorektora ds. Kadr i Rozwoju Uczelni, UNIWERSYTET PRZYRODNICZY W POZNANIU