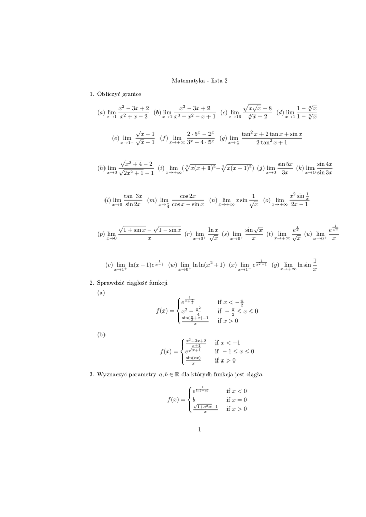
Matematyka - lista 2 1. Obliczy¢ granice 2. Sprawdzi¢ ci - E-SGH

Transkrypt

Matematyka - lista 2 1. Obliczy¢ granice 2. Sprawdzi¢ ci - E-SGH
Matematyka - lista 2
1. Obliczy¢ granice
x2 − 3x + 2
x3 − 3x + 2
(a) lim 2
(b) lim 3
(c) lim
x→1 x + x − 2
x→1 x − x2 − x + 1
x→16
p √
√
x x−8
1− 3x
√
√
(d)
lim
4
x→1 1 − 5 x
x−2
√
x−1
tan2 x + 2 tan x + sin x
2 · 5x − 2x
√
(e) lim+
(g)
lim
(f ) lim x
x→+∞ 3 − 4 · 5x
x→ π
x−1
x→1
2 tan2 x + 1
2
√
p
p
x2 + 4 − 2
sin 5x
sin 4x
(i) lim ( 3 x(x + 1)2 − 3 x(x − 1)2 ) (j) lim
(h) lim √
(k) lim
2
x→+∞
x→0
x→0
x→0
3x
sin 3x
2x + 1 − 1
x2 sin x1
tan 3x
1
cos 2x
(m) limπ
(n) lim x sin √ (o) lim
x→+∞
x→+∞ 2x − 1
x→0 sin 2x
x→ 4 cos x − sin x
x
(l) lim
√
(p) lim
x→0
1 + sin x −
x
√
1 − sin x
√
1
√1
ln x
sin x
e x
ex
√
√
(r) lim
(s) lim
(t) lim
(u) lim
x→+∞
x
x
x
x→0+
x→0+
x→0+ x
1
1
(v) lim ln(x − 1)e x−1 (w) lim ln ln(x2 + 1) (x) lim e x2 −1 (y) lim ln sin
x→1−
x→0+
x→1+
2. Sprawdzi¢ ci¡gªo±¢ funkcji
(a)
 1π
x+

e 2
2
2
f (x) = x − π4

 sin( π2 +x)−1
if
x < − π2
− π2 ≤ x ≤ 0
if
x>0
if
x
(b)
 2
x +3x+2

 √x+1
f (x) = e x+1

 sin(ex)
x
3. Wyznaczy¢ parametry
a, b ∈ R
if
if
if
x < −1
−1≤x≤0
x>0
dla których funkcja jest ci¡gªa
 1

e ln(−x)
f (x) = b

 √1+a2 x−1
x
1
if
if
if
x<0
x=0
x>0
x→+∞
1
x
4. Wyznaczy¢ parametry
a, b, c ∈ R
f (x) =
dla których funkcja jest ci¡gªa
 sin ax


 xx3 −1

if
if
x<0
0≤x<1
x=1
if
x>1
if
x2 +x−2

c


 x2 +(b−1)x−b
x−1
5. Wyznaczy¢ asymptoty i w przybli»eniu naszkicowa¢ wykres funkcji
|x|−2
(a) x+1 ,
x4
x2
(b) x2 −1 ,
(f ) (x+1)2 (x−1)
(g)
(c)
x+
√
1 + x2 ,
√
2
2x
√ x +2−1 .
x2 +1−1
2
(d)
x3 +x2 +x+1
,
x2 −1
(x+2)3
(e) (x+1)(x−1)2 ,