z dnia 27 sierpnia 2004 r. o świadczeniach opieki

Transkrypt

z dnia 27 sierpnia 2004 r. o świadczeniach opieki
P
P
$
$
M
#
M
#
P
P
P
P
P
P
#
#
#
#
#
#
M
M
M
M
M
M
M
M
M
M
M
M
P
O
M
&
M
"
P
O
M
&
"
M
!
T
R
T
P
P
P
P
P
l
\
!
T
R
T
l
\
P
R
T
T
$
$
#
#
#
#
#
T
M
M
M
M
M
M
M
M
M
M
R
\
T
R
\
#
R
O
M
O
#
O
"
#
Q
l
Q
l
!
O
O
O
O
O
O
O
O
O
O
O
O
O
l
T
T
l
l
T
T
l
l
T
T
l
C
P
P
C
C
P
P
C
C
P
P
C
1
*
-
2
-
3
:
;
B
=
(
2
(
1
*
-
,
2
-
2
-
3
:
>
>
1
4
N
6

A
@
2
-
K
(
1
>
5
)
;
(
>
F
C
L
J
E
-
<
5
>
)
;
:
2
5
Zawartość opakowania
?
6
)

5
)
8
,
-
<
5
>
4
(
=
;
5
,
.
-
<
5
)
;
*
:
-
8
I
P
P
P
P
P
$
$
$
$
$
M
#
M
#
M
#
M
#
M
#
R
T
T
R
R
T
T
R
R
T
O
O
O
O
O
#
#
#
#
#
Q
l
Q
Q
Q
Q
l
l
l
l
"
"
"
"
"
"
#
T
T
l
l
T
T
l
l
T
l
'
[
'
[
"
"
P
P
C
P
P
C
C
P
P
C
C
P
C
P
O
M
R
T
l
M
P
C
Z
P
Z
P
M
O
O
M
$
C
$
C
O
M
R
T
l
M
P
C
I
G
G
J
L
G
G
U
V
G
G
W
X
G
:
*
-
4

(
-
<
5
*
-
1
>
5
1
*
:
9
P
P
P
$
$
$
M
#
M
#
M
#
R
T
T
R
R
T
O
O
O
#
#
#
H
Q
l
Q
Q
l
l
"
"
"
P
P
P
P
P
P
P
P
P
M
O
O
M
M
O
O
M
M
O
O
M
M
O
O
M
M
O
$
$
$
$
$
$
$
$
$
C
C
C
C
C
C
C
C
C
G
G
H
I
J
L
U
V
W
G
H
G
G
G
Y
X
alendronicum
Y
H
G
H
H
H
I
H
H
J
L
H
1)
9
-
,
.
(
3
2
-
8
7
+
6
3
5
4
(
3
*
(
2
1
0
(
/
.
-
,
+
(
*
)
(
"
#
#
'
&
$
"
%
$
#
"
!
S
N
.
l
D
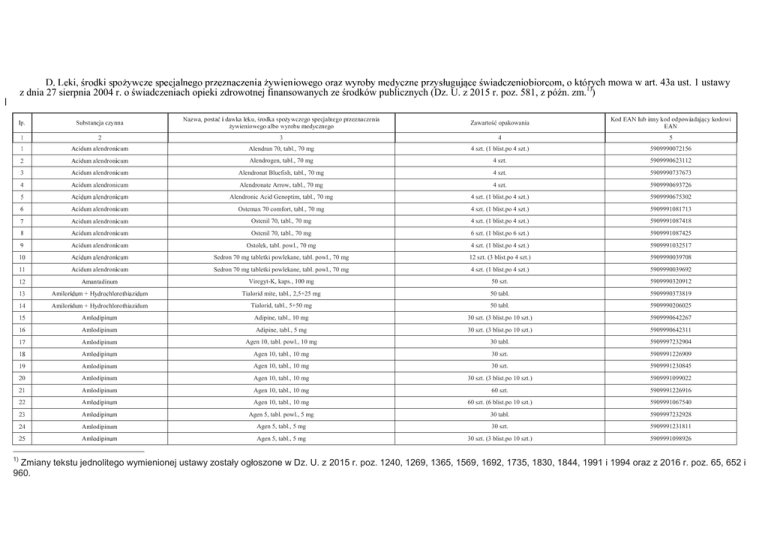
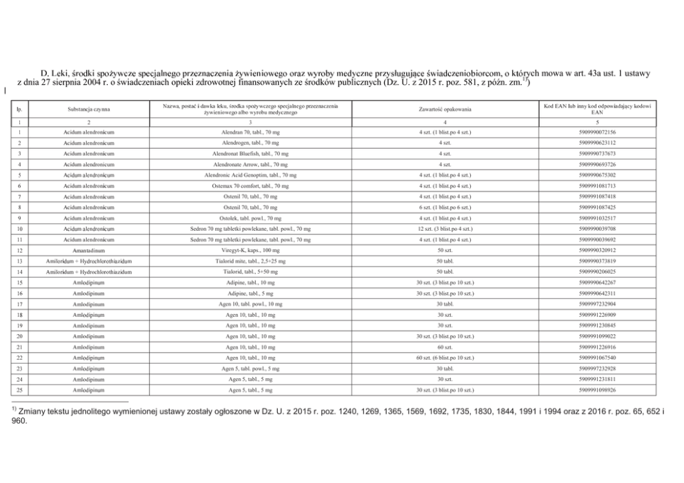
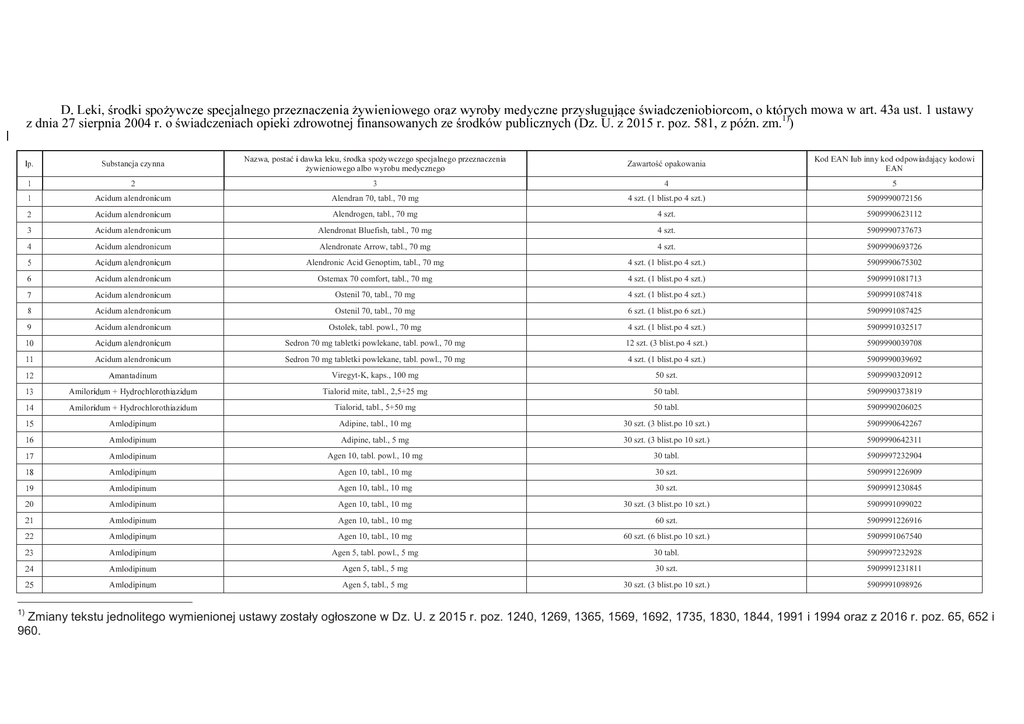
rych mowa w art. 43a ust. 1 ustawy
z dnia 27 sierpnia 2004 r. o świadczeniach opieki zdrowotnej finansowanych ze środków publicznych (Dz. U. z 2015 r. poz. 581, z późn. zm.1))
Alendran 70, tabl., 70 mg
4 szt. (1 blist.po 4 szt.)
5909990072156
Alendrogen, tabl., 70 mg
4 szt.
5909990623112
Alendronat Bluefish, tabl., 70 mg
4 szt.
5909990737673
Alendronate Arrow, tabl., 70 mg
4 szt.
5909990693726
Alendronic Acid Genoptim, tabl., 70 mg
4 szt. (1 blist.po 4 szt.)
5909990675302
Ostemax 70 comfort, tabl., 70 mg
4 szt. (1 blist.po 4 szt.)
5909991081713
Ostenil 70, tabl., 70 mg
4 szt. (1 blist.po 4 szt.)
5909991087418
Ostenil 70, tabl., 70 mg
6 szt. (1 blist.po 6 szt.)
5909991087425
Ostolek, tabl. powl., 70 mg
4 szt. (1 blist.po 4 szt.)
5909991032517
Sedron 70 mg tabletki powlekane, tabl. powl., 70 mg
12 szt. (3 blist.po 4 szt.)
5909990039708
Sedron 70 mg tabletki powlekane, tabl. powl., 70 mg
4 szt. (1 blist.po 4 szt.)
5909990039692
Viregyt-K, kaps., 100 mg
50 szt.
5909990320912
Tialorid mite, tabl., 2,5+25 mg
50 tabl.
5909990373819
Tialorid, tabl., 5+50 mg
50 tabl.
5909990206025
Adipine, tabl., 10 mg
30 szt. (3 blist.po 10 szt.)
5909990642267
Adipine, tabl., 5 mg
30 szt. (3 blist.po 10 szt.)
5909990642311
Agen 10, tabl. powl., 10 mg
30 tabl.
5909997232904
Agen 10, tabl., 10 mg
30 szt.
5909991226909
Agen 10, tabl., 10 mg
30 szt.
5909991230845
Agen 10, tabl., 10 mg
30 szt. (3 blist.po 10 szt.)
5909991099022
Agen 10, tabl., 10 mg
60 szt.
5909991226916
Agen 10, tabl., 10 mg
60 szt. (6 blist.po 10 szt.)
5909991067540
Agen 5, tabl. powl., 5 mg
30 tabl.
5909997232928
Agen 5, tabl., 5 mg
30 szt.
5909991231811
Agen 5, tabl., 5 mg
30 szt. (3 blist.po 10 szt.)
5909991098926
Zmiany tekstu jednolitego wymienionej ustawy zostały ogłoszone w Dz. U. z 2015 r. poz. 1240, 1269, 1365, 1569, 1692, 1735, 1830, 1844, 1991 i 1994 oraz z 2016 r. poz. 65, 652 i
960.
P
P
P
P
P
P
P
P
P
#
#
#
#
#
#
#
#
#
M
M
M
M
M
M
M
M
M
O
M
M
O
O
M
M
O
M
M
O
M
M
M
O
O
O
O
T
l
l
T
T
l
l
T
T
l
T
l
T
l
l
T
T
l
P
P
P
P
P
P
#
#
#
#
#
#
M
M
M
M
M
M
M
O
O
M
M
O
O
M
M
O
M
O
l
T
T
l
l
T
T
l
l
T
T
l
Agen 5, tabl., 5 mg
60 szt. (6 blist.po 10 szt.)
5909991067533
Aldan, tabl., 10 mg
30 szt. (3 blist.po 10 szt.)
5909991008734
Aldan, tabl., 5 mg
30 szt. (3 blist.po 10 szt.)
5909991008635
Alneta, tabl., 10 mg
30 szt.
5909991068073
Alneta, tabl., 10 mg
60 tabl.
5909991068097
Alneta, tabl., 10 mg
90 tabl.
5909991068141
Alneta, tabl., 5 mg
30 szt.
5909991067977
Alneta, tabl., 5 mg
60 tabl.
5909991067991
Alneta, tabl., 5 mg
90 tabl.
5909991068035
Amlaxopin, tabl., 10 mg
30 szt.
5909990752720
Amlaxopin, tabl., 5 mg
30 szt.
5909990752690
Amlodipine Aurobindo, tabl., 10 mg
30 szt.
5909990955008
Amlodipine Aurobindo, tabl., 5 mg
30 szt.
5909990954254
Amlodipine Bluefish, tabl., 10 mg
30 szt.
5909990800551
Amlodipine Bluefish, tabl., 5 mg
30 szt.
5909990800469
Amlodipinum 123ratio, Amlodipine Teva, tabl., 10 mg
30 szt. (3 blist.po 10 szt.)
5909990721603
Amlodipinum 123ratio, Amlodipine Teva, tabl., 5 mg
30 szt. (3 blist.po 10 szt.)
5909990721580
Amlodipinum 123ratio, tabl., 10 mg
30 szt.
5909991225650
Amlomyl, tabl., 10 mg
30 szt.
5909990842698
Amlomyl, tabl., 5 mg
30 szt.
5909990842476
Amlonor, tabl., 10 mg
30 szt. (3 blist.po 10 szt.)
5909990642625
Amlonor, tabl., 5 mg
30 szt. (3 blist.po 10 szt.)
5909990642618
Amlopin 10 mg, tabl., 10 mg
30 szt.
5909997213699
Amlopin 10 mg, tabl., 10 mg
30 szt.
5909997218090
Amlopin 10 mg, tabl., 10 mg
30 szt. (3 blist.po 10 szt.)
5909990048977
Amlopin 10 mg, tabl., 10 mg
30 tabl.
5909997231501
Amlopin 5 mg, tabl., 5 mg
30 szt.
5909991200732
Amlopin 5 mg, tabl., 5 mg
30 szt.
5909997213675
Amlopin 5 mg, tabl., 5 mg
30 szt.
5909997218113
Amlopin 5 mg, tabl., 5 mg
30 szt. (3 blist.po 10 szt.)
5909990048939
1
*
-
2
-
3
:
;
B
=
(
2
(
1
*
-
,
2
F
C
L
J
?
E
P
P
P
P
P
P
P
P
P
P
P
#
#
#
#
#
#
#
#
#
#
#
M
M
M
M
M
M
M
M
M
M
M
O
M
M
O
M
M
O
M
M
O
M
M
O
O
M
O
M
O
M
O
O
O
T
l
l
T
T
T
l
T
T
l
T
T
l
l
T
l
T
l
T
l
l
l
P
C
C
P
P
C
P
C
P
C
C
P
P
C
C
P
P
C
P
C
P
C
P
C
C
P
P
C
C
P
P
C
P
C
P
C
C
P
P
C
C
P
P
C
C
P
P
C
C
P
P
C

I

P
P
P
P
#
#
#
#
M
M
M
M
H
M
O
M
O
M
M
O
O
T
l
T
l
T
T
l
l
P
P
C
P
P
C
C
C
G
U
H
V
H
W
H
X
H
Y
I
I
G
H
I
I
I
J
I
L
I
I
U
V
I
I
W
X
I
Y
J
G
J
J
H
I
J
J
J
L
J
U
J
V
J
J
W
X
J
Y
L
G
L
L
H
I
L
L
J
L
L
-
2
-
3
:
>
>
1
4
N
6

A
@
2
-
K
(
1
>
5
)
;
(
>
)
-
<
5
>
)
;
:
2
5
6
-
8
:
*
-
4
(
-
<
5
*
-
1
>
5
1
*
:
9
5
)
8
,
-
<
5
>
4
(
=
;
5
,
.
-
<
5
)
;
*
:
9
-
,
.
(
3
2
-
8
7
+
6
3
5
4
(
3
*
(
2
1
0
(
/
.
-
,
+
(
*
)
(
N
"
#
#
'
&
$
"
%
$
#
"
!
S
]
l
Zawartość opakowania
P
P
#
#
M
M
O
M
M
O
T
l
T
l
P
#
"
"
^
P
#
M
!
!
"
P
#
M
!
"
!
P
#
M
!
!
"
P
#
M
!
"
!
P
#
M
!
!
"
P
#
M
!
"
!
P
#
M
!
!
"
P
#
M
!
"
!
P
#
M
!
!
"
P
#
M
!
"
!
P
#
M
!
!
"
P
#
M
!
"
!
"
_
"
_
"
_
"
_
"
_
"
_
"
_
"
_
"
_
"
_
"
_
"
_
M
R
R
R
R
R
R
R
R
R
R
R
R
Amlozek, tabl., 10 mg
30 szt.
5909990799817
Amlozek, tabl., 5 mg
30 szt.
5909990799718
Apo-Amlo 10, tabl., 10 mg
30 szt.
5909991236687
Apo-Amlo 10, tabl., 10 mg
30 szt. (3 blist.po 10 szt.)
5909990565993
Apo-Amlo 5, tabl., 5 mg
30 szt. (3 blist.po 10 szt.)
5909990565986
Cardilopin, tabl., 10 mg
30 szt. (3 blist.po 10 szt.)
5909990907519
Cardilopin, tabl., 2,5 mg
30 szt. (3 blist.po 10 szt.)
5909990907311
Cardilopin, tabl., 5 mg
30 szt. (3 blist.po 10 szt.)
5909990907410
Finamlox, tabl., 10 mg
30 szt.
5909990794461
Finamlox, tabl., 5 mg
30 tabl.
5909990794430
Normodipine, tabl., 10 mg
30 szt.
5909990993116
Normodipine, tabl., 5 mg
30 szt.
5909990993017
Tenox, tabl., 10 mg
30 szt. (3 blist.po 10 szt.)
5909990963119
Tenox, tabl., 5 mg
30 szt. (3 blist.po 10 szt.)
5909990963010
Tenox, tabl., 5 mg
90 szt. (9 blist.po 10 szt.)
5909990421824
Vilpin, tabl., 10 mg
30 szt. (3 blist.po 10 szt.)
5909991042912
Vilpin, tabl., 5 mg
30 szt. (3 blist.po 10 szt.)
5909990621217
Eliquis, tabl. powl., 2,5 mg
20 tabl.
5909990861040
Apo-Atorva, tabl. powl., 10 mg
30 szt.
5909990787586
Apo-Atorva, tabl. powl., 20 mg
30 szt.
5909990787609
Apo-Atorva, tabl. powl., 40 mg
30 szt.
5909990787647
Atoris, tabl. powl., 10 mg
30 szt.
5909990991815
Atoris, tabl. powl., 10 mg
90 szt. (9 blist.po 10 szt.)
5909990336647
Atoris, tabl. powl., 20 mg
30 szt.
5909990991914
Atoris, tabl. powl., 20 mg
60 tabl.
5909991013806
Atoris, tabl. powl., 20 mg
90 szt.
5909990419173
Atoris, tabl. powl., 30 mg
30 szt.
5909990885282
Atoris, tabl. powl., 30 mg
60 tabl.
5909990885299
Atoris, tabl. powl., 40 mg
30 szt.
5909990623464
Atoris, tabl. powl., 40 mg
60 tabl.
5909990623471
1
*
-
2
-
3
:
;
B
=
(
2
(
1
*
-
,
2
F
C
L
J
?
E
P
P
P
P
P
P
P
P
P
P
P
#
#
#
#
#
#
#
#
#
#
#
M
M
M
M
M
M
M
M
M
M
M
M
O
M
O
M
M
M
M
M
M
M
M
O
M
O
O
O
O
O
O
O
O
T
l
T
l
T
T
T
T
T
T
T
T
l
T
l
l
l
l
l
l
l
l
P
C
P
C
P
C
P
C
P
C
P
C
P
C
P
C
P
C
P
C
P
C
P
C
P
C
C
!
C
T
T
C
!
!
C
T
T
C
!
!
C
T
T
C
!
!
C
T
T
C
!
!
C
T
T
C
!
!
C
T
T
!
C

I

P
P
P
P
#
#
#
#
M
M
M
M
H
O
M
O
M
M
O
M
O
T
l
T
T
T
l
l
l
P
P
P
P
C
C
C
C
G
L
U
V
L
L
W
X
L
Y
U
G
U
U
H
I
U
U
J
L
U
U
U
V
U
U
W
X
U
Y
V
G
V
V
H
I
V
V
J
L
V
V
U
V
V
V
W
X
V
Y
W
G
W
W
H
I
W
W
J
L
W
-
2
-
3
:
>
>
1
4
N
6

A
@
2
-
K
(
1
>
5
)
;
(
>
)
5
)
8
,
-
<
5
>
)
;
:
2
5
6
-
8
:
*
-
4
(
-
<
5
*
-
1
>
5
1
*
:
9
<
5
>
4
(
=
;
5
,
.
-
<
5
)
;
*
:
9
-
,
.
(
3
2
-
8
7
+
6
3
5
4
(
3
*
(
2
1
0
(
/
.
-
,
+
(
*
)
(
N
"
#
#
'
&
$
"
%
$
#
"
!
S
]
l
Zawartość opakowania
P
#
M
P
#
M
!
P
#
M
!
P
#
M
!
P
#
M
!
P
#
M
!
P
#
M
!
P
#
M
!
P
#
M
!
P
#
M
!
P
#
M
!
P
#
M
!
P
#
M
!
P
#
M
!
P
#
M
!
P
#
M
!
P
#
M
!
P
#
M
!
P
#
M
!
P
#
M
!
P
#
M
!
P
#
M
!
P
#
M
!
P
#
M
!
P
#
M
!
P
#
M
!
P
#
M
!
P
#
M
!
P
#
M
!
L
Atoris, tabl. powl., 40 mg
90 tabl.
5909990623488
Atoris, tabl. powl., 60 mg
30 szt.
5909990885336
Atoris, tabl. powl., 80 mg
30 szt.
5909990885374
Atorvagen, tabl. powl., 20 mg
30 szt.
5909990938926
Atorvagen, tabl. powl., 40 mg
30 szt.
5909990938995
Atorvastatin Bluefish, tabl. powl., 10 mg
30 szt.
5909990887262
Atorvastatin Bluefish, tabl. powl., 20 mg
30 szt.
5909990887279
Atorvastatin Bluefish, tabl. powl., 40 mg
30 szt.
5909990887286
Atorvastatin Genoptim, tabl. powl., 10 mg
30 tabl.
5909990900053
Atorvastatin Genoptim, tabl. powl., 20 mg
30 tabl.
5909990899920
Atorvastatin Genoptim, tabl. powl., 40 mg
30 tabl.
5909990900275
Atorvastatin Genoptim, tabl. powl., 80 mg
30 tabl.
5909990900459
Atorvastatin Vitama, tabl. powl., 10 mg
30 szt.
5909991200527
Atorvastatin Vitama, tabl. powl., 20 mg
30 szt.
5909991200787
Atorvastatin Vitama, tabl. powl., 40 mg
30 szt.
5909991201050
Atorvastatinum 123ratio, tabl. powl., 10 mg
30 szt.
5909990848904
Atorvastatinum 123ratio, tabl. powl., 20 mg
30 szt.
5909990849086
Atorvastatinum 123ratio, tabl. powl., 40 mg
30 szt.
5909990849246
Atorvasterol, tabl. powl., 10 mg
30 szt.
5909990077847
Atorvasterol, tabl. powl., 20 mg
30 szt.
5909990077939
Atorvasterol, tabl. powl., 40 mg
30 szt.
5909990078028
Atorvasterol, tabl. powl., 80 mg
30 szt.
5909991041298
Atorvox, tabl. powl., 10 mg
30 szt. (3 blist.po 10 szt.)
5909990573400
Atorvox, tabl. powl., 20 mg
30 szt. (3 blist.po 10 szt.)
5909990573530
Atorvox, tabl. powl., 40 mg
30 szt. (3 blist.po 10 szt.)
5909990573547
Atractin, tabl. powl., 10 mg
30 szt. (3 blist.po 10 szt.)
5909990078141
Atractin, tabl. powl., 20 mg
30 szt. (3 blist.po 10 szt.)
5909990078264
Atractin, tabl. powl., 40 mg
30 szt. (3 blist.po 10 szt.)
5909990078356
Atrox 10, tabl. powl., 10 mg
30 szt. (3 blist.po 10 szt.)
5909991124618
Atrox 10, tabl. powl., 10 mg
60 tabl.
5907695215137
1
*
-
2
-
3
:
;
B
=
(
2
(
1
*
-
,
2
F
C
E
P
#
M
!
!
"
!
"
!
!
"
"
!
!
"
"
!
!
"
"
!
!
"
"
!
!
"
"
!
"
!
"
!
"
!
!
"
"
!
!
"
"
!
!
"
"
!
!
"
"
!
!
"
"
!
"
!
"
!
!
"
"
!
J
?

I

H
"
!
"
"
"
"
"
"
"
"
"
"
"
"
"
"
"
"
"
"
"
"
"
"
"
"
"
"
"
R
T
!
C
_
R
T
!
C
_
_
R
"
R
T
!
C
T
!
C
_
R
T
!
C
_
R
T
!
C
_
R
T
!
C
_
R
T
!
C
_
R
T
!
C
_
R
T
!
C
_
R
T
!
C
_
R
T
!
C
_
R
T
!
C
_
R
T
!
C
_
R
T
!
C
_
_
R
"
R
T
!
C
T
!
C
_
R
T
!
C
_
R
T
!
C
_
R
T
!
C
_
R
T
!
C
_
R
T
!
C
_
R
T
!
C
_
R
T
!
C
_
R
T
!
C
_
R
T
!
C
_
R
T
!
C
_
_
R
"
R
T
!
C
T
!
C
_
R
T
!
C
_
G
U
W
V
W
W
W
X
W
Y
X
G
X
H
X
I
X
J
X
L
X
U
X
V
X
W
X
X
X
Y
Y
G
Y
G
G
Y
H
G
Y
I
G
Y
J
G
Y
L
G
Y
U
G
Y
V
G
Y
W
G
Y
X
G
Y
G
G
G
G
G
H
G
G
I
G
G
G
G
J
L
G
G
-
2
-
3
:
>
>
1
4
N
6

A
@
2
-
K
(
1
>
5
)
;
(
>
)
5
)
8
,
-
<
5
>
)
;
:
2
5
6
-
8
:
*
-
4
(
-
<
5
*
-
1
>
5
1
*
:
9
-
<
5
>
4
(
=
;
5
,
.
-
<
5
)
;
*
:
9
-
,
.
(
3
2
-
8
7
+
6
3
5
4
(
3
*
(
2
1
0
(
/
.
-
,
+
(
*
)
(
N
"
#
#
'
&
$
"
%
$
#
"
!
S
]
l
Zawartość opakowania
P
M
#
P
#
M
!
P
#
M
!
P
#
M
!
P
#
M
!
P
#
M
!
P
#
M
!
P
#
M
!
P
#
M
!
P
#
M
!
P
#
M
!
P
#
M
!
P
#
M
!
P
#
M
!
P
#
M
!
P
#
M
!
P
#
M
!
P
#
M
!
P
#
M
!
P
#
M
!
P
#
M
!
P
#
M
!
P
#
M
!
P
#
M
!
P
#
M
!
P
#
M
!
P
#
M
!
P
#
M
!
P
#
M
!
L
Atrox 20, tabl. powl., 20 mg
30 szt. (3 blist.po 10 szt.)
5909991124717
Atrox 20, tabl. powl., 20 mg
60 tabl.
5907695215144
Atrox 40, tabl. powl., 40 mg
30 szt. (3 blist.po 10 szt.)
5909991124816
Atrox 40, tabl. powl., 40 mg
60 tabl.
5907695215151
Atrox, tabl. powl., 80 mg
30 szt.
5909991011383
Corator, tabl. powl., 10 mg
30 szt. (2 blist.po 15 szt.)
5909991150914
Corator, tabl. powl., 20 mg
30 szt. (3 blist.po 10 szt.)
5909991151010
Corator, tabl. powl., 40 mg
30 szt. (3 blist.po 10 szt.)
5909991151119
Lambrinex, tabl. powl., 10 mg
30 szt.
5909990905508
Lambrinex, tabl. powl., 20 mg
30 szt.
5909990905638
Lambrinex, tabl. powl., 40 mg
30 szt.
5909990905782
Larus, tabl. powl., 10 mg
30 szt. (3 blist.po 10 szt.)
5909990078530
Larus, tabl. powl., 20 mg
30 szt. (3 blist.po 10 szt.)
5909990078707
Larus, tabl. powl., 40 mg
30 szt. (3 blist.po 10 szt.)
5909990078790
Pharmastatin, tabl. powl., 10 mg
30 szt.
5909990745807
Pharmastatin, tabl. powl., 20 mg
30 szt.
5909990745579
Pharmastatin, tabl. powl., 40 mg
30 szt.
5909990745340
Storvas CRT, tabl. powl., 10 mg
30 szt.
5909991042097
Storvas CRT, tabl. powl., 20 mg
30 szt.
5909991042103
Storvas CRT, tabl. powl., 40 mg
30 szt.
5909991042134
Storvas CRT, tabl. powl., 80 mg
30 szt.
5909991042141
Torvacard 10, tabl. powl., 10 mg
30 szt. (3 blist.po 10 szt.)
5909990338290
Torvacard 20, tabl. powl., 20 mg
30 szt. (3 blist.po 10 szt.)
5909990338368
Torvacard 40, tabl. powl., 40 mg
30 szt. (3 blist.po 10 szt.)
5909990338436
Torvacard 40, tabl. powl., 40 mg
90 szt. (9 blist.po 10 szt.)
5909990338443
Torvacard, tabl. powl., 80 mg
30 tabl.
5909990957071
Torvalipin, tabl. powl., 10 mg
30 szt. (3 blist.po 10 szt.)
5909990053179
Torvalipin, tabl. powl., 20 mg
30 szt. (3 blist.po 10 szt.)
5909990053230
Torvalipin, tabl. powl., 40 mg
30 szt. (3 blist.po 10 szt.)
5909990053278
Tulip 40 mg, tabl. powl., 40 mg
30 szt.
5909990810161
1
*
-
2
-
3
:
;
B
=
(
2
(
1
*
-
,
2
F
C
E
P
#
M
!
!
"
!
!
"
"
!
!
"
"
!
!
"
"
!
!
"
"
!
!
"
"
!
!
"
"
!
!
"
"
!
!
"
"
!
!
"
"
!
!
"
"
!
!
"
"
!
!
"
"
!
!
"
"
!
!
"
"
!
J
?

I

H
"
!
"
"
"
"
"
"
"
"
"
"
"
"
"
"
"
"
"
"
"
"
"
"
"
"
"
"
"
"
"
"
R
T
!
C
_
R
T
!
C
_
R
T
!
C
_
R
T
!
C
_
R
T
!
C
_
R
T
!
C
_
R
T
!
C
_
R
T
!
C
_
R
T
!
C
_
R
T
!
C
_
R
T
!
C
_
R
T
!
C
_
R
T
!
C
_
R
T
!
C
_
R
T
!
C
_
R
T
!
C
_
R
T
!
C
_
R
T
!
C
_
R
T
!
C
_
R
T
!
C
_
R
T
!
C
_
R
T
!
C
_
R
T
!
C
_
R
T
!
C
_
R
T
!
C
_
R
T
!
C
_
R
T
!
C
_
R
T
!
C
_
R
T
!
C
_
R
T
!
C
_
G
G
G
U
V
G
G
G
G
W
X
G
G
Y
G
H
G
G
H
H
G
H
I
G
H
H
G
J
L
G
H
H
G
U
V
G
H
H
G
W
X
H
G
Y
G
I
G
G
I
I
G
H
I
G
I
I
G
J
L
G
I
I
G
U
V
G
I
I
G
W
X
I
G
Y
G
J
G
G
J
J
G
H
I
G
J
J
G
J
L
J
G
-
2
-
3
:
>
>
1
4
N
6

A
@
2
-
K
(
1
>
5
)
;
(
>
)
5
)
8
,
-
<
5
>
)
;
:
2
5
6
-
8
:
*
-
4
(
-
<
5
*
-
1
>
5
1
*
:
9
<
5
>
4
(
=
;
5
,
.
-
<
5
)
;
*
:
9
-
,
.
(
3
2
-
8
7
+
6
3
5
4
(
3
*
(
2
1
0
(
/
.
-
,
+
(
*
)
(
N
"
#
#
'
&
$
"
%
$
#
"
!
S
]
l
Zawartość opakowania
P
P
P
P
P
P
5909990998838
30 szt. (3 blist.po 10 szt.)
5909990998913
Tulip, tabl. powl., 20 mg
60 szt. (6 blist.po 10 szt.)
5909990998920
Optibetol 0,5%, krople do oczu, roztwór, 5 mg/ml
5 ml (but.)
5909990925513
Akineton, tabl., 2 mg
50 szt.
5909990503834
Akineton, tabl., 2 mg
50 szt.
5909991199913
Akineton, tabl., 2 mg
50 szt.
5909991216405
Akineton, tabl., 2 mg
50 szt.
5909991260620
Akineton, tabl., 2 mg
50 szt.
5909997076140
Akineton, tabl., 2 mg
50 szt. (5 blist.po 10 szt.)
5909990193219
Akineton, tabl., 2 mg
50 tabl.
5902023772306
Akineton, tabl., 2 mg
50 tabl.
5909990500604
Budelin Novolizer 200, proszek do inhalacji, 200 µg/dawkę inhalacyjną
1 poj.po 2,18 g proszku (200 daw.)
5909991033248
Budelin Novolizer 200, proszek do inhalacji, 200 µg/dawkę inhalacyjną
1 poj.po 2,18 g proszku (200 daw.) + inhal. Novolizer
5909991033224
Budesonide Easyhaler, proszek do inhalacji, 100 µg/dawkę
1 inh.po 200 daw. + opak. ochronne (zestaw startowy)
5909990337354
Budesonide Easyhaler, proszek do inhalacji, 200 µg/dawkę
1 inh.po 200 daw. + opak. ochronne (zestaw startowy)
5909990337323
Budesonide Easyhaler, proszek do inhalacji, 400 µg/dawkę
1 inh.po 100 daw. + opak. ochronne (zestaw startowy)
P
P
P
P
P
P
P
P
P
P
E
b
E
a
O
M
#
a
O
M
#
T
&
&
T
Q
O
`
Q
O
b
P
`
-AM, proszek do inhalacji w kaps. twardych, 200 µg/dawkę
inhalacyjną
-AM, proszek do inhalacji w kaps. twardych, 400 µg/dawkę
inhalacyjną
kaps.
kaps.
5909990337286
5909991204082
5909991203986
Budiair, aerozol inhalacyjny, roztwór, 200 µg/dawkę odmierzoną
1 poj.po 200 daw. odmierzonych + inh.
5909990335169
Budiair, aerozol inhalacyjny, roztwór, 200 µg/dawkę odmierzoną
1 poj.po 200 daw. odmierzonych + inh. z komorą inhalacyjną Jet
5909990335176
Miflonide, proszek do inhalacji w kaps. twardych, 200 µg
60 szt. (6 blist.po 10 szt.)
5909990926213
1
*
-
2
-
3
:
;
B
=
(
2
(
1
*
-
,
2
F
C
L
90 szt. (9 blist.po 10 szt.)
Tulip, tabl. powl., 20 mg
Y
P
P
Tulip, tabl. powl., 10 mg
U
5909990998821
5909990186518
P
P
60 szt. (6 blist.po 10 szt.)
5 ml
P
P
Tulip, tabl. powl., 10 mg
Betoptic S, krople do oczu, zawiesina, 2,5 mg/ml
P
P
P
P
P
P
5909990998814
Y
#
M
#
M
#
M
#
M
#
M
#
M
l
l
l
O
O
O
O
O
O
O
O
O
O
5909990810208
30 szt. (3 blist.po 10 szt.)
U
#
M
#
M
!
!
!
!
!
!
!
T
T
T
#
#
#
#
#
#
#
#
M
M
M
M
M
M
M
M
M
M
J
?
E
P
#
M
!
!
"
!
"
!
"
!
"
!
"
!
"
!
"
!
"
!
30 szt.
Tulip, tabl. powl., 10 mg
5909990998937
^
T
l
Q
M
R
O
Q
M
R
O
Q
M
R
O
Q
M
R
O
Q
M
R
O
Q
M
R
O
#
T
T
#
#
T
T
#
#
T
#
T
#
T
#
T
T
#
#
T
Tulip 80 mg, tabl. powl., 80 mg
5909990186525
^
l
T
T
l
Q
O
R
M
O
M
R
Q
"
Q
Q
Q
Q
Q
Q
Q
Q
Q
Q
Q
Q
Q
Q
Q
Q
Q
Q
5909990810185
10 ml
^
"
!
!
O
O
O
O
O
O
O
O
O
O

I

H
"
!
"
"
"
"
"
"
"
"
"
!
Q
`
Q
`
Q
`
M
`
M
`
M
`
M
`
M
`
M
`
M
`
M
`
`
`
`
`
`
`
`
`
`
`
5909990810178
90 tabl.
90 szt. (9 blist.po 10 szt.)
_
R
"
R
T
!
C
T
!
C
_
R
T
!
C
_
R
T
!
C
_
R
T
!
C
_
R
T
!
C
_
R
T
!
C
_
R
T
!
C
_
R
T
!
C
_
G
J
G
U
V
G
J
J
G
W
X
J
G
Y
G
L
L
G
G
H
L
G
I
L
G
J
L
G
L
G
L
L
G
U
V
G
L
L
G
W
X
L
G
60 tabl.
Tulip 40 mg, tabl. powl., 40 mg
Tulip, tabl. powl., 20 mg
Y
G
U
G
G
U
U
G
H
I
G
U
U
G
J
L
G
U
U
G
U
V
G
U
U
G
W
X
U
G
Tulip 40 mg, tabl. powl., 40 mg
Betoptic S, krople do oczu, zawiesina, 2,5 mg/ml
Y
V
G
G
V
G
H
V
G
I
G
V
V
G
J
L
V
G
-
2
-
3
:
>
>
1
4
N
6

A
@
2
-
-
<
5
>
)
;
:
2
5
6
-
8
:
*
-
4
(
-
<
5
*
-
1
>
5
1
*
:
9
K
(
1
>
5
)
;
(
>
)
5
)
8
,
-
<
5
>
4
(
=
;
5
,
.
-
<
5
)
;
*
:
9
-
,
.
(
3
2
-
8
7
+
6
3
5
4
(
3
*
(
2
1
0
(
/
.
-
,
+
(
*
)
(
N
"
#
#
'
&
$
"
%
$
#
"
!
S
]
l
Zawartość opakowania
P
^
P
P
#
#
#
T
M
R
T
M
R
T
M
R
P
l
M
!
Q
P
l
M
!
Q
^
Q
l
M
$
P
#
"
!
^
Q
l
M
$
P
#
"
!
R
Q
"
"
Q
R
P
l
M
!
Q
P
l
M
!
Q
l
Q
P
l
M
!
Q
^
Q
l
M
$
P
#
"
!
^
P
#
"
!
M
$
P
#
"
!
^
Q
l
M
$
P
#
"
!
R
Q
"
"
Q
R
R
Q
"
"
Q
R
P
l
M
!
Q
Q
l
M
$
P
#
"
!
R
"
Q
O
#
"
^
c
P
l
M
!
Q
Q
l
M
$
P
#
"
!
R
"
Q
O
#
"
^
c
P
l
M
!
Q
P
l
M
!
Q
P
l
M
!
Q
Q
l
M
$
P
#
"
!
P
l
M
!
Q
^
Q
l
M
$
P
#
"
!
R
"
Q
^
^
Q
l
M
$
P
#
"
!
R
"
Q
R
"
Q
^
Q
l
M
$
P
#
"
!
R
"
Q
O
#
"
c
O
#
"
c
O
#
"
c
O
#
"
c
P
l
M
!
Q
Q
l
M
$
P
#
"
!
R
"
Q
O
#
"
Miflonide, proszek do inhalacji w kaps. twardych, 400 µg
60 szt. (6 blist.po 10 szt.)
5909990926312
Nebbud, zawiesina do nebulizacji, 0,25 mg/2 ml
20 amp.a 2 ml
5909991107925
Nebbud, zawiesina do nebulizacji, 0,25 mg/ml
20 amp. po 2 ml
5909991005696
Nebbud, zawiesina do nebulizacji, 0,5 mg/ml
20 amp. po 2 ml
5909991005733
Pulmicort Turbuhaler, proszek do inhalacji, 100 µg/dawkę inhalacyjną
1 poj.po 200 daw.
5909990677313
Pulmicort Turbuhaler, proszek do inhalacji, 200 µg/dawkę inhalacyjną
1 poj.po 100 daw.
5909990677412
Pulmicort, zawiesina do nebulizacji, 0,125 mg/ml
20 poj.po 2 ml
5909990445615
Pulmicort, zawiesina do nebulizacji, 0,25 mg/ml
20 poj.po 2 ml
5909990445714
Pulmicort, zawiesina do nebulizacji, 0,5 mg/ml
20 poj.po 2 ml
5909990445813
Pulmicort, zawiesina do nebulizacji, 0,5 mg/ml
20 poj.po 2 ml
5909991233099
Pulmicort, zawiesina do nebulizacji, 0,5 mg/ml
20 poj.po 2 ml
5909991269784
Ribuspir, aerozol inhalacyjny, roztwór, 200 µg/dawkę odmierzoną
1 poj.po 200 daw. odmierzonych + inh.
5909990335183
Ribuspir, aerozol inhalacyjny, roztwór, 200 µg/dawkę odmierzoną
1 poj.po 200 daw. odmierzonych + inh. z komorą inhalacyjną Jet
5909990335190
Spamilan, tabl., 10 mg
60 szt.
5909997201450
Spamilan, tabl., 10 mg
60 szt.
5909997213538
Spamilan, tabl., 10 mg
60 szt. (6 blist.po 10 szt.)
5909990073603
Spamilan, tabl., 5 mg
60 szt. (6 blist.po 10 szt.)
5909990073597
Atacand, tabl., 16 mg
28 szt. (2 blist.po 14 szt.)
5909990430123
Atacand, tabl., 8 mg
14 szt. (1 blist.po 14 szt.)
5909990430017
Atacand, tabl., 8 mg
28 szt. (2 blist.po 14 szt.)
5909990430024
Candepres, tabl., 16 mg
28 tabl.
5909990739653
Candepres, tabl., 32 mg
28 tabl.
5909990739707
Candepres, tabl., 8 mg
28 tabl.
5909990739592
Carzap, tabl., 16 mg
28 tabl.
5909990937172
Carzap, tabl., 16 mg
56 szt.
5909990937196
Carzap, tabl., 32 mg
28 tabl.
5909990937264
Carzap, tabl., 8 mg
28 tabl.
5909990937080
Carzap, tabl., 8 mg
56 szt.
5909990937103
Kandesar, tabl., 16 mg
28 szt.
5909990962945
Kandesar, tabl., 8 mg
28 szt.
5909990962839
1
*
-
2
-
3
:
;
B
=
(
2
(
1
*
-
,
2
F
C
L
J
?
E
P
P
P
P
P
P
P
P
P
P
O
O
O
O
O
O
O
O
O
M
M
M
M
M
M
M
M
M
#
#
T
#
#
#
#
#
#
#
#
T
R
M
T
T
T
T
T
T
T
T
Q
Q
Q
Q
Q
Q
Q
Q
Q
O
O
O
O
O
O
O
O
O
`
`
`
`
`
`
`
`
`
`
`
`
`
c
O
#
"
c
O
#
"
c
O
#
"
c
O
"
#
#
O
O
#
c
"
c
"
c
U
G
X
X
G
V
W
G
X
X
G
X
Y
Y
H
Y
G
H
Y
H
H
Y
I
H
Y
J
H
Y
L
H

I

P
P
P
P
O
O
O
O
M
M
M
M
H
#
T
#
#
#
T
T
T
Q
Q
Q
Q
O
O
O
O
`
`
`
`
G
V
G
U
V
G
V
V
G
W
X
V
G
Y
G
W
G
G
W
W
G
H
I
G
W
W
G
J
L
G
W
W
G
U
V
G
W
W
G
W
X
W
G
Y
G
X
X
G
G
H
G
X
X
G
I
J
G
X
X
G
L
cilexetilum
-
2
-
3
:
>
>
1
4
N
6

A
@
2
-
K
(
1
-
<
5
>
)
;
:
2
5
6
-
8
:
*
-
4
(
-
<
5
*
-
1
>
5
1
*
:
9
>
5
)
;
(
>
)
5
)
8
,
-
<
5
>
4
(
=
;
5
,
.
-
<
5
)
;
*
:
9
-
,
.
(
3
2
-
8
7
+
6
3
5
4
(
3
*
(
2
1
0
(
/
.
-
,
+
(
*
)
(
N
"
#
#
'
&
$
"
%
$
#
"
!
S
]
l
Zawartość opakowania
G
I
H
Hydrochlorothiazidum
f
P
L
e
H
G
U
G
e
l
"
!
e
M
P
T
$
M
Z
]
e
M
P
T
$
M
R
tabl., 16+12,5 mg
f
P
L
e
H
G
W
e
l
T
l
"
!
e
M
P
T
$
M
Z
]
h
]
f
P
L
e
H
G
W
e
l
T
l
"
!
e
M
P
T
$
M
Z
]
h
]
f
P
L
H
H
I
e
l
T
l
"
!
e
M
P
T
$
M
Z
]
h
]
f
P
L
e
H
G
H
I
e
l
T
l
"
!
e
M
P
T
$
M
R
"
Hydrochlorothiazidum
Z
]
h
]
b
P
l
M
!
Q
Q
l
M
$
P
#
"
!
R
"
Q
O
#
"
Z
^
c
f
P
L
e
H
G
U
G
e
l
T
l
"
!
e
M
P
T
$
M
R
"
Z
]
h
]
b
P
l
M
!
Q
Q
l
M
$
P
#
"
!
R
"
Q
O
#
"
Z
^
c
f
P
L
e
H
G
W
e
l
"
!
e
d
"
&
R
"
Z
]
c
[
c
Hydrochlorothiazidum
Z
^
c
Hydrochlorothiazidum
R
"
Hydrochlorothiazidum
b
P
l
M
!
Q
Q
l
M
$
P
#
"
!
R
"
Q
O
#
"
P
l
M
!
Q
Q
l
M
$
P
#
"
!
R
"
Q
O
#
"
Z
^
c
I
H
H
e
l
"
!
e
d
"
&
R
"
]
c
[
c
Hydrochlorothiazidum
Z
^
c
J
H
H
P
l
M
!
Q
Q
l
M
$
P
#
"
!
R
"
Q
O
#
"
Z
^
c
H
H
H
f
P
L
e
H
G
U
G
e
l
"
!
e
d
"
&
R
"
Z
]
c
[
c
Hydrochlorothiazidum
R
"
Hydrochlorothiazidum
b
P
l
M
!
Q
Q
l
M
$
P
#
"
!
R
"
Q
O
#
"
L
H
H
P
l
M
!
Q
Q
l
M
$
P
#
"
!
R
"
Q
O
#
"
Z
^
c
G
H
H
f
P
L
e
H
G
U
G
e
l
"
!
e
d
"
&
R
"
Z
]
c
[
c
Hydrochlorothiazidum
Z
^
c
U
H
H
P
l
M
!
Q
Q
l
M
$
P
#
"
!
R
"
Q
O
#
"
^
c
H
H
Y
+
8+12,5 mg
f
P
L
e
H
G
W
e
l
"
!
e
P
M
!
T
#
Q
d
#
"
!
R
"
Q
O
#
"
Z
]
g
c
[
Z
c
Hydrochlorothiazidum
R
"
Hydrochlorothiazidum
b
P
l
M
!
Q
Q
l
M
$
P
#
"
!
R
"
Q
O
#
"
V
H
H
P
l
M
!
Q
Q
l
M
Z
f
P
L
e
H
G
U
G
e
l
"
!
e
P
M
!
T
#
Q
d
#
"
!
R
"
Q
O
#
"
Z
]
g
c
[
Z
c
P
#
"
!
R
"
$
P
#
"
!
R
"
Q
O
Q
O
^
#
"
c
#
"
X
G
H
c
W
G
H
f
P
L
e
H
G
W
e
l
"
!
e
d
Q
R
Q
O
#
"
Z
]
c
[
c
Hydrochlorothiazidum
cilexetilum +
Hydrochlorothiazidum
Z
^
c
W
H
H
P
l
M
!
Q
Q
l
M
$
P
#
"
!
R
"
Q
O
#
"
Z
^
c
V
G
H
f
P
L
H
H
I
e
l
"
!
e
d
Q
R
Q
O
#
"
Z
]
c
[
c
Hydrochlorothiazidum
R
"
Hydrochlorothiazidum
b
P
l
M
!
Q
Q
l
M
$
P
#
"
!
R
"
Q
O
#
"
X
H
H
P
l
M
!
Q
Q
l
M
$
P
#
"
!
R
"
Q
O
#
"
Z
^
c
U
G
H
f
P
L
e
H
G
H
I
e
l
"
!
e
d
Q
R
Q
O
#
"
Z
]
c
[
c
Hydrochlorothiazidum
"
Z
^
c
Y
P
l
M
!
Q
Q
l
M
$
P
#
"
!
R
"
Q
O
#
"
Z
^
c
L
G
H
f
P
L
e
H
G
U
G
e
l
"
!
e
d
Q
R
Q
O
#
"
Z
]
c
[
c
Hydrochlorothiazidum
b
P
l
M
!
Q
Q
l
M
$
P
#
"
!
R
"
Q
O
#
"
I
H
P
l
M
!
Q
Q
l
M
$
P
#
"
!
R
"
Q
O
#
"
Z
^
c
P
#
"
!
R
"
Q
O
#
"
J
G
H
c
cilexetilum
Ranacand, tabl., 8 mg
P
l
M
!
Q
Q
l
M
$
P
#
"
!
R
"
Q
O
#
"
I
G
H
^
c
P
l
M
!
Q
Q
l
M
$
P
#
"
!
R
"
Q
O
#
"
H
G
H
^
c
P
l
M
!
Q
Q
l
M
$
P
#
"
!
R
"
Q
O
#
"
G
G
H
^
c
P
l
M
!
Q
Q
l
M
$
P
#
"
!
R
"
Q
O
#
"
G
H
^
c
Y
P
l
M
!
Q
Q
l
M
$
P
#
"
!
R
"
Q
O
#
"
X
H
^
c
Y
P
l
M
!
Q
Q
l
M
$
P
#
"
!
R
"
Q
O
#
"
W
H
^
c
Y
P
l
M
!
Q
Q
l
M
$
P
#
"
!
R
"
Q
O
#
"
V
H
^
c
Y
P
l
M
!
Q
Q
l
M
$
P
#
"
!
R
"
Q
O
#
"
U
H
^
c
Y
L
J
I
H
G
?


F
C
E
-
<
5
>
)
;
:
2
5
6
-
8
:
*
-
4
(
-
<
5
*
-
1
>
5
1
*
:
9
"
#
#
'
&
$
"
%
$
#
"
!
S
l
]
(
1
>
5
)
;
(
>
)
5
)
8
,
-
<
5
>
4
(
=
;
5
,
.
-
<
5
)
;
*
:
9
-
,
.
(
3
2
-
8
7
+
6
3
5
4
(
3
*
(
2
1
0
(
/
.
-
,
+
(
*
)
(
N

Kangen, tabl., 16 mg
28 szt.
5909991020507
Kangen, tabl., 8 mg
28 szt.
5909991020309
Karbis, tabl., 16 mg
28 szt.
5909990772193
Karbis, tabl., 16 mg
56 tabl.
5909990772209
Karbis, tabl., 32 mg
28 tabl.
5909990772230
Karbis, tabl., 8 mg
28 szt.
5909990772162
Karbis, tabl., 8 mg
56 tabl.
5909990772179
Ranacand, tabl., 16 mg
28 szt.
5909990801350
28 szt.
5909990801367
28 tabl.
5909990800629
28 szt.
5909991063702
28 szt.
5909991064051
28 tabl.
5909990800360
28 tabl.
5909991190699
28 tabl.
5909991190552
28 tabl.
5909990957255
56 szt.
5909990957279
28 tabl.
5909990957170
56 szt.
5909990957194
56 tabl.
5909990865185
28 tabl.
5909990865222
28 tabl.
5909990865260
28 szt.
5909990865130
56 tabl.
5909990865147
28 szt.
5909990865178
84 szt.
5909991136840
1
*
-
2
-
3
:
;
B
=
(
2
(
1
*
-
,
2
-
2
-
3
:
>
>
1
6
4
N
A
@
2
-
K
Zawartość opakowania
P
P
P
l
P
l
P
l
P
l
P
l
P
l
T
l
M
O
P
l
T
l
M
O
P
l
T
l
M
O
P
l
T
l
M
O
Q
_
P
l
T
l
M
O
Q
P
l
T
l
M
O
P
l
T
l
O
M
P
l
T
l
M
O
P
l
T
l
O
M
P
l
T
l
M
O
Q
_
Q
_
Q
_
Q
_
Q
_
R
R
R
R
R
R
P
l
T
l
M
O
P
l
T
l
M
O
_
Q
P
l
T
l
M
O
P
l
T
l
M
O
Q
P
l
T
l
M
O
Q
_
Q
_
_
Q
R
R
R
R
R
_
_
c
P
l
T
l
M
O
Q
P
l
T
l
O
M
P
l
T
l
M
O
P
l
T
l
O
M
P
l
T
l
M
O
Q
_
Q
_
Q
_
Q
_
R
R
R
R
R
5909990570430
f
P
L
e
H
G
Z
W
e
]
l
"
!
e
M
P
T
$
M
R
"
b
Atram 25, tabl., 25 mg
30 szt. (3 blist.po 10 szt.)
5909990570409
Atram 6,25, tabl., 6,25 mg
30 szt. (2 blist.po 15 szt.)
5909990570454
Avedol, tabl. powl., 12,5 mg
30 szt. (3 blist.po 10 szt.)
5909990074099
Avedol, tabl. powl., 25 mg
30 szt. (3 blist.po 10 szt.)
5909990074129
Avedol, tabl. powl., 6,25 mg
30 szt. (3 blist.po 10 szt.)
5909990074051
Carvedigamma 12,5 mg, tabl. powl., 12,5 mg
30 szt. (3 blist.po 10 szt.)
5909990419654
Carvedigamma 25 mg, tabl. powl., 25 mg
30 szt. (3 blist.po 10 szt.)
5909990419609
Carvedigamma 6,25 mg, tabl. powl., 6,25 mg
30 szt. (3 blist.po 10 szt.)
5909990419685
Carvedilol-ratiopharm, tabl., 12,5 mg
30 szt. (3 blist.po 10 szt.)
5909990727148
Carvedilol-ratiopharm, tabl., 25 mg
30 szt. (3 blist.po 10 szt.)
5909990727193
Carvedilol-ratiopharm, tabl., 6,25 mg
30 szt. (3 blist.po 10 szt.)
5909990727100
Carvedilolum 123ratio, tabl., 12,5 mg
30 szt. (3 blist.po 10 szt.)
5909990338856
Carvedilolum 123ratio, tabl., 25 mg
30 tabl. (3 blist.po 10 szt.)
5909990338931
Carvedilolum 123ratio, tabl., 6,25 mg
30 szt. (3 blist.po 10 szt.)
5909990338788
Carvetrend, tabl., 12,5 mg
30 szt. (2 blist.po 15 szt.)
5909991017019
Carvetrend, tabl., 25 mg
30 szt. (1 blist.po 30 szt.)
5909991017118
Carvetrend, tabl., 3,125 mg
30 szt. (2 blist.po 15 szt.)
5909991016814
Carvetrend, tabl., 6,25 mg
30 szt. (2 blist.po 15 szt.)
5909991016913
Coryol 12,5 mg, tabl., 12,5 mg
30 szt.
5909990216505
5909990216567
Coryol 25 mg, tabl., 25 mg
30 szt.
Coryol 3,125 mg, tabl., 3,125 mg
30 szt.
5909990216604
Coryol, tabl., 6,25 mg
30 szt.
5909990983315
Dilatrend, tabl., 25 mg
30 szt. (3 blist.po 10 szt.)
5909990717613
Dilatrend, tabl., 6,25 mg
30 szt. (3 blist.po 10 szt.)
5909990716111
Hypoten, tabl. powl., 12,5 mg
100 szt. (10 blist.po 10 szt.)
5909990048496
Hypoten, tabl. powl., 12,5 mg
30 szt. (3 blist.po 10 szt.)
5909990048489
Hypoten, tabl. powl., 25 mg
100 szt. (10 blist.po 10 szt.)
5909990048540
Hypoten, tabl. powl., 25 mg
30 szt. (3 blist.po 10 szt.)
5909990048502
1
*
-
2
-
3
:
;
B
=
(
2
(
1
*
-
,
2
F
L
J
5909991136833
30 szt. (2 blist.po 15 szt.)
Z
84 szt.
Atram 12,5, tabl., 12,5 mg
P
l
M
C
E
P
l
l
l
T
l
T
l
T
l
T
l
T
l
T
l
M
O
Q
Q
_
_
Q
_
Q
_
R
R
R
R
R
"
c
"
c
"
c
"
c
"
c
"
c
"
c
"
c
"
c
"
c
"
"
c
"
c
"
c
"
c
"
c
"
?

I

P
l
T
l
T
l
T
l
M
O
M
O
M
O
M
O
M
O
M
O
_
_
c
c
"
c
c
"
c
"
c
"
J
H
G
H
J
H
I
J
H
J
J
H
L
H
J
J
H
U
V
H
J
J
H
W
X
J
H
Y
H
L
G
L
H
H
L
H
I
L
H
L
H
J
L
L
H
L
H
U
V
H
L
L
H
W
X
L
H
Y
H
U
G
U
H
!
Q
Q
l
M
$
^
H
P
M
O
M
O
_
Q
Q
Q
Q
Q
Q
R
R
_
R
_
_
Q
R
R
_
R
_
_
Q
R
R
c
"
"
"
"
c
"
c
c
"
c
"
c
c
"
I
I
H
J
I
H
L
I
H
U
I
H
V
I
H
I
H
W
X
I
H
Y
J
H
#
"
!
R
"
Q
O
#
"
c
G
H
I
H
Hydrochlorothiazidum
-
2
-
3
:
>
>
1
4
N
6

A
@
2
-
K
(
1
>
5
)
;
(
>
)
5
)
8
-
<
5
>
)
;
:
2
5
6
-
8
:
*
-
4
(
-
<
5
*
-
1
>
5
1
*
:
9
,
-
<
5
>
4
(
=
;
5
,
.
-
<
5
)
;
*
:
9
-
,
.
(
3
2
-
8
7
+
6
3
5
4
(
3
*
(
2
1
0
(
/
.
-
,
+
(
*
)
(
N
"
#
#
'
&
$
"
%
$
#
"
!
S
]
l
Zawartość opakowania
P
l
P
l
T
l
P
l
T
l
M
O
Q
_
R
P
l
T
l
M
O
Q
P
l
T
l
M
O
P
l
T
l
M
O
P
l
T
l
M
O
Q
P
l
T
l
M
O
_
_
Q
_
Q
_
Q
_
R
R
R
R
R
P
l
T
l
M
O
Q
P
l
T
l
M
O
Q
_
R
R
P
!
"
R
M
i
T
R
P
#
M
O
M
#
T
l
P
O
M
P
"
T
P
l
Q
R
f
T
O
M
P
l
Q
R
f
T
O
M
P
l
Q
R
f
T
O
M
P
l
Q
R
f
T
O
M
P
l
Q
R
f
T
O
M
P
l
Q
R
f
T
O
M
P
l
Q
R
f
T
O
M
P
l
Q
R
f
T
O
M
P
l
Q
R
f
T
O
M
P
l
Q
R
f
T
O
M
P
l
Q
R
f
T
O
M
P
l
Q
R
f
T
O
M
P
l
Q
R
f
T
O
M
P
l
Q
R
f
T
O
M
P
P
!
"
l
M
Q
!
Q
P
#
^
l
Q
R
f
T
O
M
"
Hypoten, tabl. powl., 6,25 mg
100 szt. (10 blist.po 10 szt.)
5909990048472
Hypoten, tabl. powl., 6,25 mg
30 szt. (3 blist.po 10 szt.)
5909990048465
Symtrend, tabl. powl., 12,5 mg
30 szt. (3 blist.po 10 szt.)
5909990074754
Symtrend, tabl. powl., 25 mg
30 szt. (3 blist.po 10 szt.)
5909990074662
Symtrend, tabl. powl., 6,25 mg
30 szt. (3 blist.po 10 szt.)
5909990074792
Vivacor, tabl., 12,5 mg
30 szt. (3 blist.po 10 szt.)
5909990687909
Vivacor, tabl., 12,5 mg
60 szt. (6 blist.po 10 szt.)
5909990687930
Vivacor, tabl., 25 mg
30 szt. (3 blist.po 10 szt.)
5909990687862
Vivacor, tabl., 25 mg
60 szt. (6 blist.po 10 szt.)
5909990687879
Vivacor, tabl., 6,25 mg
30 szt. (3 blist.po 10 szt.)
5909990687886
Vivacor, tabl., 6,25 mg
60 szt. (6 blist.po 10 szt.)
5909990687893
Lipanor, kaps., 100 mg
30 kaps. (3 blist.po 10 szt.)
5909990376612
Iporel, tabl., 75 µg
50 szt.
5909990282814
Clopamid VP, tabl., 20 mg
20 szt. (1 blist.po 20 szt.)
5909990141012
Agregex, tabl. powl., 75 mg
28 szt.
5909991251949
Agregex, tabl. powl., 75 mg
28 szt. (4 blist.po 7 szt.)
5909990754748
Areplex, tabl. powl., 75 mg
28 szt. (2 blist.po 14 szt.)
5909991167011
Carder, tabl. powl., 75 mg
28 szt. (2 blist.po 14 szt.)
5909990760244
Clopidix, tabl. powl., 75 mg
28 szt. (2 blist.po 14 szt.)
5909990625826
Clopidogrel Apotex, tabl. powl., 75 mg
28 szt.
5909990774401
Clopidogrel Genoptim, tabl. powl., 75 mg
28 tabl.
5909990762194
Clopidogrel KRKA, tabl. powl., 75 mg
28 szt.
5909991029388
Clopidogrel Teva, tabl. powl., 75 mg
28 szt.
5909990718245
Grepid, tabl. powl., 75 mg
28 szt.
5909990727667
Pegorel, tabl. powl., 75 mg
28 szt.
5909990793730
Plavocorin, tabl. powl., 75 mg
28 szt. (2 blist.po 14 szt.)
5909990762729
Trombex, tabl. powl., 75 mg
28 szt.
5909990821921
Vixam, tabl., 75 mg
30 szt.
5909990866533
Zyllt, tabl. powl., 75 mg
28 szt.
5909991109219
Pradaxa, kaps. twarde, 110 mg
10 szt.
5909990641253
1
*
-
2
-
3
:
;
B
=
(
2
(
1
*
-
,
2
F
C
L
J
?
E
P
l
T
l
T
l
M
O
M
O
Q
_
R
"
c
"
c
"
c
"
c
"
c
"
c
"
c
"
c
"
c
M
c
c
l
c
T
l
c
T
l
c
T
l
c
T
l
c
T
l
c
T
l
c
T
l
c
T
l
c
T
l
c
T
l
c
T
l
c
T
l
c
T
l
c
T
l
c
l
T
R
!
"
f
M
"
j

I

H
M
O
_
Q
_
Q
_
R
R
c
"
c
"
c
G
U
H
H
I
H
U
U
H
J
L
H
U
U
H
U
V
H
U
U
H
W
X
U
H
V
H
Y
G
H
V
V
H
H
I
H
V
V
H
J
L
H
V
V
H
U
V
H
V
V
H
W
X
V
H
W
H
Y
G
H
W
W
H
H
I
H
W
W
H
J
L
W
H
W
H
U
V
W
H
W
W
H
X
W
H
Y
H
X
G
X
H
-
2
-
3
:
>
>
1
4
N
6

A
@
2
-
K
(
1
>
5
)
;
(
>
)
5
)
8
,
-
<
5
>
)
;
:
2
5
6
-
8
:
*
-
4
(
-
<
5
*
-
1
>
5
1
*
:
9
<
5
>
4
(
=
;
5
,
.
-
<
5
)
;
*
:
9
-
,
.
(
3
2
-
8
7
+
6
3
5
4
(
3
*
(
2
1
0
(
/
.
-
,
+
(
*
)
(
N
"
#
#
'
&
$
"
%
$
#
"
!
S
]
l
Zawartość opakowania
P
!
"
l
M
P
l
M
&
Q
Q
#
T
P
l
M
&
Q
Q
#
T
P
l
M
&
Q
Q
#
T
P
l
M
&
Q
Q
#
T
P
l
M
&
Q
Q
#
T
P
l
M
&
Q
Q
#
T
P
l
M
&
Q
Q
#
T
P
l
M
&
Q
Q
#
T
P
l
M
&
Q
Q
#
T
P
l
M
&
Q
Q
#
T
P
P
P
P
P
P
P
P
P
l
l
l
l
l
l
l
l
l
&
M
M
&
&
M
M
M
&
M
M
M
&
&
M
&
&
&
Q
Q
Q
Q
Q
Q
Q
Q
Q
Q
Q
Q
Q
Q
Q
Q
Q
Q
#
#
#
#
#
#
#
#
#
T
T
T
T
T
T
T
T
T
P
P
l
l
&
M
M
&
Q
Q
Q
Q
#
#
T
T
P
!
"
l
M
P
P
l
M
&
Q
Q
#
T
j
j
j
j
j
j
j
j
j
j
j
j
j
j
j
j
j
j
j
j
j
j
Pradaxa, kaps. twarde, 110 mg
30 szt.
5909990641260
Pradaxa, kaps. twarde, 150 mg
30 kaps.
5909990887453
Pradaxa, kaps. twarde, 75 mg
10 szt.
5909990641215
Pradaxa, kaps. twarde, 75 mg
30 szt.
5909990641222
Prolia, roztwór do wstrzykiwań, 60 mg/1 ml
1 amp.-strz.po 1 ml
5909990761647
Apo-Doperil, tabl. powl., 10 mg
28 szt.
5909990770045
Apo-Doperil, tabl. powl., 5 mg
28 szt.
5909990770038
Cogiton 10, tabl. powl., 10 mg
28 szt.
5909991024413
Cogiton 10, tabl. powl., 10 mg
56 szt.
5909991024420
Cogiton 5, tabl. powl., 5 mg
28 szt.
5909991024314
Donecept, tabl. powl., 10 mg
28 szt.
5909991266509
Donecept, tabl. powl., 10 mg
28 szt. (4 blist.po 7 szt.)
5909990689873
Donecept, tabl. powl., 5 mg
28 szt. (4 blist.po 7 szt.)
5909990689781
Donectil ODT, tabl. ulegające rozpadowi w jamie ustnej, 10 mg
30 szt.
5909990851492
Donectil ODT, tabl. ulegające rozpadowi w jamie ustnej, 5 mg
30 szt.
5909990851478
Donectil, tabl. powl., 10 mg
28 szt. (2 blist.po 14 szt.)
5909990683666
Donectil, tabl. powl., 5 mg
28 szt. (2 blist.po 14 szt.)
5909990683581
Donepesan, tabl. powl., 10 mg
30 szt.
5909991095246
Donepesan, tabl. powl., 5 mg
30 szt.
5909991095109
Donepestan, tabl. powl., 10 mg
84 szt.
5909990825738
Donepestan, tabl. powl., 5 mg
84 szt.
5909990825622
Donepex, tabl. powl., 10 mg
28 szt.
5909991056018
Donepex, tabl. powl., 5 mg
28 szt.
5909991055912
Donepezil Bluefish, tabl. powl., 10 mg
28 szt.
5909990814138
Donepezil Bluefish, tabl. powl., 5 mg
28 szt.
5909990814077
Donepezil Hydrochloride Accord, tabl. powl., 10 mg
98 szt.
5909990825745
Donepezil Hydrochloride Accord, tabl. powl., 5 mg
98 szt.
5909990825639
Donepezil Polfarmex, tabl., 10 mg
28 szt.
5909990877669
Donepezil Polfarmex, tabl., 5 mg
28 szt.
5909990877553
Doneprion, tabl. powl., 10 mg
28 tabl.
5909990776900
1
*
-
2
-
3
:
;
B
=
(
2
(
1
*
-
,
2
F
C
L
J
?
E
P
!
"
l
M
^
Q
Q
Q
P
P
P
!
l
l
l
Q
"
M
&
&
M
M
&
P
P
Q
Q
Q
Q
Q
Q
#
"
T
#
#
#
#
R
!
T
T
T
Q
"
j
j
j
j
f
M
"
j
^
!
Q
P
#
"
R
!
"
f
M
"
j
^
!
Q
P
#
"
R
!
"
f
M
"
j
X
H
I
J
H
X
X
H
L
U
H
X
X
H
V
W
H
X
X
H
X
Y
Y
I
Y
G
I
Y
H
I
Y
I
I
Y
J
I
Y
L
I
Y
U
I
Y
V
I
Y
W
I
Y
X
I
Y
I
G
G
I
G
G
I
H
I
I
G
G
I
J
L
G
I
G
I
U
V
I
G
G
I
W
X
G
I
Y
I
H
G
H
I

I

H
P
#
"
R
!
"
f
M
"
j
G
H
X
H
etexilatum
-
2
-
3
:
>
>
1
4
N
6

A
@
2
-
K
(
1
>
5
)
-
<
5
>
)
;
:
2
5
6
-
8
:
*
-
4
(
-
<
5
*
-
1
>
5
1
*
:
9
;
(
>
)
5
)
8
,
-
<
5
>
4
(
=
;
5
,
.
-
<
5
)
;
*
:
9
-
,
.
(
3
2
-
8
7
+
6
3
5
4
(
3
*
(
2
1
0
(
/
.
-
,
+
(
*
)
(
N
"
#
#
'
&
$
"
%
$
#
"
!
S
]
l
Zawartość opakowania
P
#
M
T
&
"
P
#
M
T
&
"
^
P
#
M
T
&
"
^
P
#
M
T
&
"
^
P
#
M
T
&
"
^
P
#
M
T
&
"
^
P
#
M
T
&
"
^
P
#
M
T
&
"
^
P
#
M
T
&
"
^
P
#
M
T
&
"
^
P
#
M
T
&
"
^
P
#
M
T
&
"
^
P
#
M
T
&
"
^
P
#
M
T
&
"
^
P
#
M
T
&
^
"
Doneprion, tabl. powl., 5 mg
28 szt.
5909990776870
Donestad, tabl. powl., 10 mg
28 szt.
5909990800353
Donestad, tabl. powl., 5 mg
28 szt.
5909990800308
Donesyn, tabl. powl., 10 mg
28 szt. (2 blist.po 14 szt.)
5909990657360
Donesyn, tabl. powl., 5 mg
28 szt. (2 blist.po 14 szt.)
5909990657353
Pamigen, tabl. powl., 10 mg
28 szt. (2 blist.po 14 szt.)
5909990726936
Pamigen, tabl. powl., 5 mg
28 szt. (2 blist.po 14 szt.)
5909990726929
Ricordo, tabl. ulegające rozpadowi w jamie ustnej, 10 mg
28 szt.
5909990798940
Ricordo, tabl. ulegające rozpadowi w jamie ustnej, 5 mg
28 szt.
5909990798933
Symepezil, tabl. powl., 10 mg
28 szt. (2 blist.po 14 szt.)
5909990662203
Symepezil, tabl. powl., 5 mg
28 szt. (2 blist.po 14 szt.)
5909990662104
Yasnal Q-Tab, tabl. ulegające rozpadowi w jamie ustnej, 10 mg
28 szt.
5909990850204
Yasnal Q-Tab, tabl. ulegające rozpadowi w jamie ustnej, 5 mg
28 szt.
5909990850075
Yasnal, tabl. powl., 10 mg
28 szt.
5909990993314
Yasnal, tabl. powl., 5 mg
28 szt.
5909990993215
Apo-Doxan 1, tabl., 1 mg
30 szt.
5909990969517
Apo-Doxan 2, tabl., 2 mg
30 szt.
5909990969616
Apo-Doxan 4, tabl., 4 mg
30 szt.
5909990969715
Cardura XL, tabl. o zmodyfikowanym uwalnianiu, 4 mg
30 tabl.
5909990431410
Cardura XL, tabl. o zmodyfikowanym uwalnianiu, 8 mg
30 szt.
5909990431519
Doxagen, tabl. o przedłużonym uwalnianiu, 4 mg
30 szt. (3 blist.po 10 szt.)
5909990037957
Doxalong, tabl. o przedłużonym uwalnianiu, 4 mg
30 szt.
5909990790951
Doxalong, tabl. o przedłużonym uwalnianiu, 4 mg
90 szt.
5909990884582
Doxanorm, tabl., 1 mg
30 szt. (3 blist.po 10 szt.)
5909990854318
Doxanorm, tabl., 2 mg
30 szt. (3 blist.po 10 szt.)
5909990854417
Doxanorm, tabl., 4 mg
30 szt. (3 blist.po 10 szt.)
5909990854516
Doxar, tabl., 1 mg
30 szt. (3 blist.po 10 szt.)
5909990484911
Doxar, tabl., 2 mg
30 szt. (3 blist.po 10 szt.)
5909990485017
Doxar, tabl., 4 mg
120 tabl.
5908289660289
Doxar, tabl., 4 mg
30 szt. (3 blist.po 10 szt.)
5909990485116
1
*
-
2
-
3
:
;
B
=
(
2
(
1
*
-
,
2
F
C
L
J
?
E
P
P
P
P
P
P
P
l
l
l
l
l
l
l
M
&
M
&
M
&
M
&
M
M
&
M
&
&
Q
Q
Q
Q
Q
Q
Q
Q
Q
Q
Q
Q
Q
Q
#
#
^
#
#
#
#
#
T
j
T
j
T
j
T
j
T
j
T
j
T
j
T
j
j
T
T
j
j
T
T
j
j
T
T
j
j
T
T
j
j
T
T
j
j
T
T
j
j
T
T
j

I

P
P
P
P
P
P
P
P
l
l
l
l
l
l
l
l
M
M
&
M
M
M
M
M
M
&
&
&
&
&
&
&
H
Q
Q
Q
Q
Q
Q
Q
Q
Q
Q
Q
Q
Q
Q
Q
Q
#
#
#
#
#
#
#
#
T
T
j
T
T
T
T
T
T
j
j
j
j
j
j
j
G
H
H
I
I
H
I
J
H
I
L
I
H
H
I
U
V
I
H
H
I
W
X
H
I
Y
I
I
G
I
I
I
I
H
I
I
I
I
I
J
L
I
I
I
I
U
V
I
I
I
I
W
X
I
I
Y
I
J
G
I
J
J
I
H
I
I
J
J
I
J
L
I
J
J
I
U
V
I
J
J
I
W
X
J
I
Y
I
L
G
L
I
-
2
-
3
:
>
>
1
4
N
6

A
@
2
-
K
(
1
>
5
)
-
<
5
>
)
;
:
2
5
6
-
8
:
*
-
4
(
-
<
5
*
-
1
>
5
1
*
:
9
;
(
>
)
5
)
8
,
-
<
5
>
4
(
=
;
5
,
.
-
<
5
)
;
*
:
9
-
,
.
(
3
2
-
8
7
+
6
3
5
4
(
3
*
(
2
1
0
(
/
.
-
,
+
(
*
)
(
N
"
#
#
'
&
$
"
%
$
#
"
!
S
]
l
Zawartość opakowania
P
#
P
#
M
P
#
M
P
#
M
P
#
M
P
#
M
P
#
M
P
#
M
P
#
M
P
#
M
P
#
M
P
P
#
"
P
#
M
P
#
M
M
O
T
P
!
"
R
M
i
T
P
!
"
R
M
i
T
#
P
!
"
R
M
i
T
#
P
!
"
R
M
i
T
#
P
!
"
R
M
i
T
#
P
!
"
R
M
i
T
#
P
!
"
R
M
i
T
#
P
!
"
R
M
i
T
#
P
!
"
R
M
i
T
#
P
!
"
R
M
i
T
#
P
!
"
R
M
i
T
#
P
!
"
R
M
i
T
#
P
!
"
R
M
i
T
#
P
!
"
R
M
i
T
#
Doxonex, tabl., 2 mg
30 szt. (3 blist.po 10 szt.)
5909991149611
Doxonex, tabl., 4 mg
30 szt. (3 blist.po 10 szt.)
5909991149710
Dozox, tabl., 4 mg
30 tabl.
5901720140005
Dozox, tabl., 4 mg
90 tabl.
5901720140012
Kamiren XL, tabl. o zmodyfikowanym uwalnianiu, 4 mg
30 szt. (3 blist.po 10 szt.)
5909990022571
Kamiren XL, tabl. o zmodyfikowanym uwalnianiu, 4 mg
60 szt.
5909991013820
Kamiren, tabl., 2 mg
30 szt. (3 blist.po 10 szt.)
5909990491315
Kamiren, tabl., 4 mg
30 szt. (3 blist.po 10 szt.)
5909990491414
Zoxon 1, tabl., 1 mg
30 szt. (2 blist.po 15 szt.)
5909990903320
Zoxon 2, tabl., 2 mg
30 szt. (3 blist.po 10 szt.)
5909990903429
Zoxon 4, tabl., 4 mg
30 szt. (3 blist.po 10 szt.)
5909990903511
Zoxon 4, tabl., 4 mg
90 szt. (9 blist.po 10 szt.)
5909990080267
Teveten, tabl. powl., 600 mg
14 szt. (1 blist.po 14 szt.)
5909990868414
Ezetrol, tabl., 10 mg
28 szt.
5909990221066
Plendil, tabl. o przedłużonym uwalnianiu, 10 mg
28 szt.
5909990344918
Plendil, tabl. o przedłużonym uwalnianiu, 5 mg
28 szt.
5909990344819
Apo-Feno 200 M, kaps. twarde, 200 mg
30 szt.
5909990909414
Biofibrat, kaps. twarde, 200 mg
30 szt.
5909990754496
Biofibrat, kaps. twarde, 267 mg
30 szt.
5909990754526
Fenardin, kaps. twarde, 160 mg
30 szt. (3 blist.po 10)
5909990713974
Fenardin, kaps. twarde, 267 mg
30 szt. (3 blist.po 10 szt.)
5909990611065
Grofibrat 200, kaps., 200 mg
30 szt.
5909990492114
Grofibrat S, tabl. powl., 160 mg
30 tabl.
5909991212339
Grofibrat S, tabl. powl., 215 mg
30 tabl.
5909991201173
Grofibrat, kaps., 100 mg
50 szt.
5909990109814
Lipanthyl 200M, kaps., 200 mg
30 szt. (2 blist.po 15 szt.)
5909990687947
Lipanthyl 267M, kaps. twarde, 267 mg
30 szt.
5909997204659
Lipanthyl 267M, kaps., 267 mg
30 szt.
5909990492817
Lipanthyl Supra 160, tabl. powl., 160 mg
30 szt. (3 blist.po 10 szt.)
5909990903917
Lipanthyl Supra 215 mg, tabl. powl., 215 mg
30 szt. (3 blist.po 10 szt.)
5909990431342
1
*
-
2
-
3
:
;
B
=
(
2
(
1
*
-
,
2
F
C
L
J
?
E
P
#
M
M
T
&
T
&
T
&
T
&
T
&
T
&
T
&
T
&
T
&
T
&
T
&
!
R
"
M
M
P
M
O
T
l
l
#
k
Q
k
Q
k
Q
k
Q
k
Q
k
Q
k
Q
k
Q
k
Q
k
Q
k
Q
k
Q
k
Q

I

H
T
&
"
"
"
"
"
"
"
"
"
"
"
"
!
T
R
Q
&
Q
k
Q
k
Q
k
E
E
^
T
j
T
j
^
T
j
^
T
j
^
T
j
^
T
j
^
T
j
^
T
j
^
T
j
^
T
j
^
T
j
^
T
j
^
G
L
I
H
I
I
L
L
I
J
L
I
L
L
I
U
V
I
L
L
I
W
X
L
I
Y
I
U
G
U
I
H
U
I
I
U
I
U
I
J
L
I
U
U
I
U
V
I
U
U
I
W
X
U
I
Y
I
V
G
V
I
H
V
I
I
V
I
V
I
J
L
V
I
V
I
U
V
V
I
W
V
I
X
V
I
Y
I
W
G
W
I
-
2
-
3
:
>
>
1
4
N
6

A
@
2
-
K
(
1
>
5
)
;
(
>
-
<
5
>
)
;
:
2
5
6
-
8
:
*
-
4
(
-
<
5
*
-
1
>
5
1
*
:
9
)
5
)
8
,
-
<
5
>
4
(
=
;
5
,
.
-
<
5
)
;
*
:
9
-
,
.
(
3
2
-
8
7
+
6
3
5
4
(
3
*
(
2
1
0
(
/
.
-
,
+
(
*
)
(
N
"
#
#
'
&
$
"
%
$
#
"
!
S
]
l
Zawartość opakowania
P
P
P
l
P
l
P
O
M
P
O
M
P
O
M
P
O
M
P
O
M
P
O
M
P
"
P
O
M
P
"
P
O
M
P
"
P
O
M
P
"
P
O
M
P
"
P
O
M
P
"
P
O
M
"
P
P
O
M
P
"
P
O
M
P
T
R
T
R
T
R
Q
!
"
P
"
P
"
P
"
P
"
P
"
O
P
P
O
5909990917815
20 ml
5909990101917
Andepin, kaps. twarde, 20 mg
30 szt. (3 blist.po 10 szt.)
5909991065515
Bioxetin, tabl., 20 mg
30 szt.
5909990372317
Deprexetin, kaps., 20 mg
30 szt. (3 blist.po 10 szt.)
5909990747610
Fluoksetyna EGIS, kaps. twarde, 20 mg
28 szt.
5909990776955
Fluoxetin Polpharma, kaps. twarde, 20 mg
30 szt. (3 blist.po 10 szt.)
5909990770311
Fluxemed, kaps. twarde, 20 mg
30 szt. (3 blist.po 10 szt.)
5909990742509
Seronil, kaps. twarde, 20 mg
100 szt. (10 blist.po 10 szt.)
5909990374427
Seronil, kaps. twarde, 20 mg
30 szt. (3 blist.po 10 szt.)
5909990374410
Seronil, tabl. powl., 10 mg
100 szt. (10 blist.po 10 szt.)
5909990374328
Seronil, tabl. powl., 10 mg
30 szt. (3 blist.po 10 szt.)
5909990374311
Fevarin, tabl. powl., 100 mg
30 szt.
5909990347827
Fevarin, tabl. powl., 50 mg
60 szt.
5909990347728
Seebri Breezhaler, proszek do inhalacji w kaps. twardej, 44 µg
30x1 kapsułka (dawka pojedyncza) + 1 inhalator
5909991000882
Onbrez Breezhaler, proszek do inhalacji w kaps. twardej, 150 µg
30 szt. + inhalator
5909990738397
Onbrez Breezhaler, proszek do inhalacji w kaps. twardej, 300 µg
30 szt. + inhalator
5909990738472
Diuresin SR, tabl. powl. o przedłużonym uwalnianiu, 1,5 mg
30 szt. (3 blist.po 10 szt.)
5909990975815
Indapamide KRKA, tabl. o przedłużonym uwalnianiu, 1,5 mg
30 szt.
5909990957125
Indapamide SR Genoptim, tabl. o przedłużonym uwalnianiu, 1,5 mg
30 tabl.
5909990799398
szt.
5909991271671
5909990644933
Indapamide SR Mercapharm, tabl. powl. o przedłużonym uwalnianiu, 1,5 mg
Indapamide SR, tabl. o przedłużonym uwalnianiu, 1,5 mg
30 szt.
Indapamidum 123ratio, tabl. o przedłużonym uwalnianiu, 1,5 mg
30 szt. (3 blist.po 10 szt.)
5909990586806
Indapen SR, tabl. o przedłużonym uwalnianiu, 1,5 mg
30 tabl. (3 blist.po 10 szt.)
5909990665907
Indapen, tabl. powl., 2,5 mg
20 szt.
5909990863013
Indapres, tabl. powl., 2,5 mg
30 szt.
5909990223121
Indipam SR, tabl. o przedłużonym uwalnianiu, 1,5 mg
30 szt. (3 blist.po 10 szt.)
5909990702534
Indix SR, tabl. o przedł. uwalnianiu, 1,5 mg
30 szt.
5909991025014
Ipres long 1,5, tabl. o przedłużonym uwalnianiu, 1,5 mg
30 szt. (3 blist.po 10 szt.)
5909990012688
Ivipamid, tabl. o przedłużonym uwalnianiu, 1,5 mg
30 szt.
5909990834730
1
*
-
2
-
3
:
;
B
=
(
2
(
1
*
-
,
2
F
C
L
J
?
E
P
P
P
P
P
P
M
#
#
M
"
P
M
M
#
Q
!
"
$
$
"
"
"
"
"
"
"
"
"
"
1 poj.a 200 dawek
Berodual, roztwór do nebulizacji, 0,5+0,25 mg/ml
Y
P
#
M
#
M
P
"
^
T
T
T
R
R
"
"
"
"
"
O
#
O
#
O
#
O
#
O
#
O
#
O
#
O
#
O
#
#
O
O
#
Berodual N, aerozol inhalacyjny, roztwór, 50+21 µg/dawkę inhalacyjną
I
P
P
P
#
M
#
M
#
M
#
M
#
M
#
M
!
Q
!
Q
^
^
!
Q
T
T
^
T
_
_
'
O
O
O
#
O
#
m
m
m
m
m
m
m
m
m
m
m
m
m
M
P
T
R
M
M
T
#
M
!
Q
!
Q
!
Q
!
Q
!
Q
^
T
^
T
^
T
^
^
!
T
Q
T
^
T
l
l
l
l
l
l
l
l
l
l
l
m
#
m
#
M
P
T
R
M
M
T
R
!
R
!
#
M
!
Q
^
T
l
k
k
k
k
k
k
k
k
k
k
k
g
T
$
'
l
U

I

H
"
R
"
R
^
m
m
Z
P
k
l
T
R
Q
!
Z
P
l
T
R
Q
!
#
T
T
#
Q
k
Q
k
G
W
I
H
I
I
W
W
I
J
L
W
I
U
W
I
V
W
I
W
I
W
X
W
I
Y
I
X
G
X
I
H
X
I
I
X
I
X
I
J
L
X
I
X
I
X
I
V
W
I
X
X
X
I
Y
Y
J
Y
G
J
Y
H
J
Y
I
J
Y
J
J
Y
L
J
Y
U
J
Y
V
J
Y
W
J
Y
X
J
Y
J
G
G
G
J
-
2
-
3
:
>
>
1
4
N
6

A
@
2
-
-
<
5
>
)
;
:
2
5
6
-
8
:
*
-
4
(
-
<
5
*
-
1
>
5
1
*
:
9
K
(
1
>
5
)
;
(
>
)
5
)
8
,
-
<
5
>
4
(
=
;
5
,
.
-
<
5
)
;
*
:
9
-
,
.
(
3
2
-
8
7
+
6
3
5
4
(
3
*
(
2
1
0
(
/
.
-
,
+
(
*
)
(
N
"
#
#
'
&
$
"
%
$
#
"
!
S
]
l
Zawartość opakowania
P
O
P
O
M
P
"
P
O
M
P
"
"
P
O
M
P
"
P
#
M
M
O
T
l
P
C
P
R
M
P
Q
!
Q
O
P
Q
#
M
f
R
"
l
f
P
#
M
Q
#
M
f
R
"
l
f
P
M
#
P
#
"
!
"
R
P
#
"
!
"
R
P
#
"
!
"
R
P
#
"
!
"
R
P
#
"
!
"
R
P
#
M
M
O
M
P
#
M
M
O
M
P
#
M
M
O
M
P
#
M
M
O
M
P
#
M
M
O
M
P
#
M
M
O
M
P
#
M
M
O
M
P
#
M
M
O
M
P
#
M
M
O
M
P
#
M
M
O
M
P
#
M
M
O
M
P
#
"
!
R
"
P
#
"
!
R
"
P
#
"
!
R
"
T
Q
#
M
f
R
"
l
f
P
#
M
Q
Q
Q
Q
Q
$
$
$
$
$
$
$
$
$
$
$
T
T
a
a
P
#
M
M
O
T
l
P
C
P
Z
P
Z
"
M
P
"
O
#
M
l
#
m
l
#
m
l
#
m
l
#
m
R
m
R
m
R
m
R
m
R
a
"
a
"
a
"
a
"
a
"
a
"
a
"
a
"
a
"
a
"
a
a
"
Opamid, tabl. o przedłużonym uwalnianiu, 1,5 mg
30 szt. (3 blist.po 10 szt.)
5909990770182
Rawel SR, tabl. powl. o przedłużonym uwalnianiu, 1,5 mg
30 szt. (3 blist.po 10 szt.)
5909990424801
Rawel SR, tabl. powl. o przedłużonym uwalnianiu, 1,5 mg
60 szt. (6 blist.po 10 szt.)
5909990424849
Symapamid SR, tabl. o przedłużonym uwalnianiu, 1,5 mg
30 szt. (3 blist.po 10 szt.)
5909990734993
Tertensif SR, tabl. powl. o przedłużonym uwalnianiu, 1,5 mg
30 szt. (1 blist.po 30 szt.)
5909990738212
Tertens-AM, tabl. o zmodyfikowanym uwalnianiu, 1,5+10 mg
30 tabl.
5909991092566
Tertens-AM, tabl. o zmodyfikowanym uwalnianiu, 1,5+5 mg
30 tabl.
5909991092597
Levemir, roztwór do wstrzykiwań we wkładzie, 100 j/ml
5 wkł.po 3 ml (Penfil)
5909990005741
Abasaglar, roztwór do wstrzykiwań we wkładzie, 100 j.m./ml
10 wkł.po 3 ml
5909991201982
Lantus, roztwór do wstrzykiwań, 100 j/ml
5 wkladów po 3 ml (do wstrzykiwaczy OptiPen/ClickStar)
5909990895717
Lantus, roztwór do wstrzykiwań, 100 j/ml
5 wstrzykiwaczy SoloStar po 3 ml
5909990617555
Ifirmasta, tabl. powl., 150 mg
28 szt.
5909990706280
Ifirmasta, tabl. powl., 300 mg
28 szt.
5909990706297
Irprestan, tabl. powl., 150 mg
28 szt.
5909990747085
Irprestan, tabl. powl., 300 mg
28 szt.
5909990747122
Irprestan, tabl. powl., 75 mg
28 szt.
5909990747054
Lacipil, tabl. powl., 2 mg
28 szt. (4 blist.po 7 szt.)
5909990650521
Lacipil, tabl. powl., 4 mg
28 szt. (4 blist.po 7 szt.)
5909990650620
Lacipil, tabl. powl., 6 mg
28 szt. (4 blist.po 7 szt.)
5909990625697
Lacydyna, tabl. powl., 4 mg
28 tabl.
5909991105563
Lacydyna, tabl. powl., 6 mg
28 tabl.
5909991105549
Lapixen, tabl. powl., 2 mg
28 szt.
5909991134907
Lapixen, tabl. powl., 2 mg
56 szt.
5907695215205
Lapixen, tabl. powl., 4 mg
28 szt.
5909991134938
Lapixen, tabl. powl., 4 mg
56 szt.
5907695215212
Lapixen, tabl. powl., 6 mg
28 szt.
5909991134969
Lapixen, tabl. powl., 6 mg
56 szt.
5907695215229
Apo-Lozart, tabl. powl., 50 mg
28 szt. (2 blist.po 14 szt.)
5909990702886
Cozaar, tabl. powl., 100 mg
28 szt. (2 blist.po 14 szt.)
5909991073428
Cozaar, tabl. powl., 50 mg
28 szt. (2 blist.po 14 szt.)
5909990674411
1
*
-
2
-
3
:
;
B
=
(
2
(
1
*
-
,
2
F
C
L
J
?
E
P
O
M
M
P
"
"
"
O
#
m
O
#
m
O
#
O
M
P
"
m
"
O
#
m
"
O
m
#

I

H
P
"
"
O
O
m
#
m
#
m
G
G
J
H
I
J
G
G
J
J
L
J
G
G
J
U
V
J
G
G
J
W
X
G
J
Y
J
H
G
J
H
H
J
H
I
J
H
H
J
J
L
J
H
H
J
U
V
J
H
H
J
W
X
H
J
I
J
Y
G
J
I
I
J
H
I
J
I
I
J
J
L
J
I
I
J
U
V
J
I
I
J
W
X
I
J
Y
J
J
G
J
J
-
2
-
3
:
>
>
1
4
N
6

A
@
2
-
K
(
1
>
5
)
-
<
5
>
)
;
:
2
5
6
-
8
:
*
-
4
(
-
<
5
*
-
1
>
5
1
*
:
9
;
(
>
)
5
)
8
,
-
<
5
>
4
(
=
;
5
,
.
-
<
5
)
;
*
:
9
-
,
.
(
3
2
-
8
7
+
6
3
5
4
(
3
*
(
2
1
0
(
/
.
-
,
+
(
*
)
(
N
"
#
#
'
&
$
"
%
$
#
"
!
S
]
l
Zawartość opakowania
P
P
#
P
#
"
!
R
"
T
P
#
"
!
R
"
T
P
#
"
!
R
"
T
P
#
"
!
R
"
T
P
#
"
!
R
"
T
P
#
"
!
R
"
T
P
#
"
!
R
"
T
P
#
"
!
R
"
T
P
#
"
!
R
"
T
P
#
"
!
R
"
T
P
#
"
!
R
"
T
P
#
"
!
R
"
T
P
#
"
!
R
"
T
P
#
"
!
R
"
T
P
#
"
!
R
"
T
P
#
"
!
R
"
T
P
#
"
!
R
"
T
P
#
"
!
R
P
#
M
M
O
T
l
P
P
#
M
M
O
T
l
P
Z
C
Z
C
Z
"
T
P
P
"
!
#
P
#
M
M
O
T
l
P
C
Z
P
"
!
#
P
#
M
M
O
T
l
P
C
Z
P
"
!
#
P
#
M
M
O
T
l
P
C
P
#
M
M
O
T
l
P
C
P
#
M
M
O
T
l
P
C
P
#
M
P
O
M
&
"
M
!
T
R
T
\
M
O
l
T
l
$
T
\
P
C
R
O
'
[
P
Z
P
Z
P
Z
P
"
!
#
"
!
#
"
!
#
#
"
!
Z
P
Lakea, tabl. powl., 50 mg
30 szt. (3 blist.po 10 szt.)
5909991108212
Loreblok, tabl. powl., 50 mg
28 szt.
5909990770601
Lorista, tabl. powl., 100 mg
28 szt. (4 blist.po 7 szt.)
5909990638659
Lorista, tabl. powl., 50 mg
28 szt. (4 blist.po 7 szt.)
5909990818914
Lorista, tabl. powl., 50 mg
56 szt. (4 blist.po 14 szt.)
5909990649112
Lorista, tabl. powl., 50 mg
84 szt. (6 blist.po 14 szt.)
5909990649129
Losacor, tabl. powl., 50 mg
30 szt. (3 blist.po 10 szt.)
5909991055110
Losagen, tabl. powl., 50 mg
28 szt. (2 blist.po 14 szt.)
5909990639885
Losartan Bluefish, tabl. powl., 50 mg
28 szt.
5909990760770
Losartan KRKA, tabl. powl., 50 mg
28 szt.
5909990956647
Losartan KRKA, tabl. powl., 50 mg
30 szt.
5909990956654
Losartanum 123ratio, tabl. powl., 50 mg
30 szt.
5909990862238
Losartic, tabl. powl., 50 mg
28 szt. (2 blist.po 14 szt.)
5909990621439
Lozap 50, tabl. powl., 50 mg
30 szt.
5909990573905
Lozap 50, tabl. powl., 50 mg
30 szt.
5909991226671
Presartan, tabl. powl., 100 mg
30 szt. (3 blist.po 10 szt.)
5909990724352
Presartan, tabl. powl., 50 mg
30 szt. (3 blist.po 10 szt.)
5909990724345
Rasoltan 50 mg, tabl. powl., 50 mg
28 szt. (2 blist.po 14 szt.)
5909990085644
Sarve 50 mg, tabl. powl., 50 mg
28 szt. (2 blist.po 14 szt.)
5909990045594
Xartan, tabl. powl., 50 mg
30 szt.
5909990481118
Zeprez, tabl. powl., 50 mg
30 szt.
5909990887194
Alortia, tabl. powl., 100+10 mg
30 tabl.
5909991105853
Alortia, tabl. powl., 100+5 mg
30 tabl.
5909991105785
Alortia, tabl. powl., 50+10 mg
30 tabl.
5909991105723
Alortia, tabl. powl., 50+10 mg
60 tabl.
5909991105747
Alortia, tabl. powl., 50+10 mg
90 tabl.
5909991105761
Alortia, tabl. powl., 50+5 mg
30 tabl.
5909991105655
Alortia, tabl. powl., 50+5 mg
60 tabl.
5909991105679
Alortia, tabl. powl., 50+5 mg
90 tabl.
5909991105693
Hyzaar Forte, tabl. powl., 100+25 mg
28 szt. (2 blist.po 14 szt.)
5909990970513
1
*
-
2
-
3
:
;
B
=
(
2
(
1
*
-
,
2
F
C
L
J
?
E
P
#
#
"
R
!
"
!
R
"
T
a
a
a
a
a
a
a
a
a
a
a
a
a
a
a
a
a
a
#
"
!
a
R
"
T
a
R
"
T
a
R
"
T
a
R
"
T
a
R
"
T
a
R
"
T
a
R
"
T
a
R
T
"
#
"
!
a
R
"
T

I

H
"
!
R
"
"
a
T
a
T
a
G
J
J
H
I
J
J
J
J
J
L
J
J
U
J
J
V
J
J
J
J
W
X
J
J
Y
J
L
G
J
L
L
J
H
I
J
L
L
J
J
L
L
J
L
J
U
V
J
L
L
J
W
X
L
J
Y
J
U
G
J
U
U
J
H
I
J
U
U
J
J
L
J
U
U
J
U
V
J
U
U
J
W
X
U
J
Y
J
V
G
V
J
-
2
-
3
:
>
>
1
4
N
6

A
@
2
-
K
(
1
>
5
)
;
(
>
)
5
)
8
,
-
<
5
>
)
;
:
2
5
6
-
8
:
*
-
4
(
-
<
5
*
-
1
>
5
1
*
:
9
<
5
>
4
(
=
;
5
,
.
-
<
5
)
;
*
:
9
-
,
.
(
3
2
-
8
7
+
6
3
5
4
(
3
*
(
2
1
0
(
/
.
-
,
+
(
*
)
(
N
"
#
#
'
&
$
"
%
$
#
"
!
S
]
l
Zawartość opakowania
P
O
M
&
"
M
P
O
M
&
"
M
!
P
O
M
&
"
M
P
O
M
&
"
M
!
!
P
O
M
&
"
M
!
P
O
M
&
"
M
P
O
M
&
"
M
!
!
\
\
T
T
\
T
\
\
T
T
\
T
R
T
R
T
R
T
R
T
R
T
R
T
\
P
O
M
&
"
M
!
P
O
M
&
"
M
!
P
O
M
&
"
M
!
\
T
R
T
\
T
R
T
\
T
R
T
l
l
l
\
$
T
R
O
'
\
$
T
R
O
\
$
T
R
O
'
'
[
[
[
P
O
M
&
"
M
!
\
T
R
T
l
\
$
T
R
O
'
[
[
P
#
M
!
P
#
M
P
#
M
P
#
M
R
P
P
#
M
P
R
T
i
P
#
M
P
R
T
i
P
#
M
P
R
T
i
P
#
M
P
R
T
i
P
#
M
P
R
i
T
P
#
M
P
R
T
i
!
Q
P
#
M
P
R
T
i
Q
!
P
#
M
P
R
T
i
!
P
O
M
&
"
M
P
O
M
&
"
P
O
M
&
"
M
!
T
\
P
#
M
!
"
!
"
!
R
P
P
R
i
T
T
i
Q
!
!
Q
!
Q
!
Q
Q
!
!
Q
n
n
n
n
Q
M
!
!
T
R
T
P
#
M
!
"
!
"
"
"
T
i
Q
!
!
Q
n
n
n
n
n
n
U
R
T
l
$
T
R
O
\
\
T
R
T
l
l
$
T
R
O
\
$
T
R
O
'
'
'
[
_
_
_
T
n
T
Hyzaar, tabl. powl., 50+12,5 mg
28 szt. (2 blist.po 14 szt.)
5909990433612
Loreblok HCT, tabl. powl., 50+12,5 mg
28 szt.
5909990778843
Lorista H, tabl. powl., 50+12,5 mg
28 szt. (4 blist.po 7 szt.)
5909990337392
Lorista H, tabl. powl., 50+12,5 mg
56 szt. (4 blist.po 14 szt.)
5909990686339
Lorista H, tabl. powl., 50+12,5 mg
84 szt. (6 blist.po 14 szt.)
5909990686360
Lorista HD, tabl. powl., 100+25 mg
28 szt. (4 blist.po 7 szt.)
5909990645565
Lorista HL, tabl. powl., 100+12,5 mg
28 szt.
5909990816484
Losacor HCT, tabl. powl., 50+12,5 mg
28 szt. (4 blist.po 7 szt.)
5909990729685
Losartan HCT Bluefish, tabl. powl., 100+25 mg
28 tabl.
5909990810796
Losartan HCT Bluefish, tabl. powl., 50+12,5 mg
28 szt.
5909990810758
Losartan Hydrochlorothiazyd KRKA, tabl. powl., 50+12,5 mg
28 szt.
5909990822980
Lozap HCT, tabl. powl., 50+12,5 mg
30 szt. (3 blist.po 10 szt.)
5909990611980
Presartan H, tabl. powl., 100+25 mg
30 szt. (3 blist.po 10 szt.)
5909990721894
Presartan H, tabl. powl., 50+12,5 mg
30 szt. (3 blist.po 10 szt.)
5909990721641
Xartan HCT, tabl. powl., 100+25 mg
28 szt.
5909990925971
Xartan HCT, tabl. powl., 50+12,5 mg
28 szt.
5909990925964
Liprox, tabl., 20 mg
28 szt.
5909990842315
Lovasterol, tabl., 20 mg
28 szt. (2 blist.po 14 szt.)
5909990422159
Lovastin, tabl., 20 mg
28 szt.
5909990756629
Avamina, tabl. powl., 1000 mg
30 szt. (3 blist.po 10 szt.)
5909990765423
Avamina, tabl. powl., 1000 mg
60 szt. (6 blist.po 10 szt.)
5909990765430
Avamina, tabl. powl., 500 mg
30 szt. (3 blist.po 10 szt.)
5909990765379
Avamina, tabl. powl., 500 mg
60 szt. (6 blist.po 10 szt.)
5909990765386
Avamina, tabl. powl., 850 mg
30 szt. (3 blist.po 10 szt.)
5909990765393
Avamina, tabl. powl., 850 mg
60 szt. (6 blist.po 10 szt.)
5909990765409
Etform 500, tabl. powl., 500 mg
60 szt. (6 blist.po 10 szt.)
5909990698141
Etform 500, tabl. powl., 500 mg
90 szt. (9 blist.po 10 szt.)
5909990698172
Etform 850, tabl. powl., 850 mg
60 szt. (6 blist.po 10 szt.)
5909990698257
Etform 850, tabl. powl., 850 mg
90 szt. (9 blist.po 10 szt.)
5909990698271
Formetic, tabl. powl., 1000 mg
30 szt. (3 blist.po 10 szt.)
5909990078974
1
*
-
2
-
3
:
;
B
=
(
2
(
1
*
-
,
2
F
C
L
J
?
E
\
!
\
T
R
T
l
l
l
l
l
l
l
$
T
\
$
T
R
O
R
O
\
$
T
\
\
$
T
$
T
\
$
T
R
O
R
O
R
O
R
O
'
'
'
[
[
[
Z
Z
Z
Z
Z
Z
Z
Z
Z
T
a
a
a

I

P
O
M
&
"
M
\
!
T
\
\
$
T
R
O
'
'
'
'
[
[
[
Z
Z
Z
P
#
"
!
P
#
"
!
P
#
"
!
P
#
"
!
P
#
"
!
P
#
"
!
#
"
!
P
P
#
"
!
#
"
!
P
P
#
"
!
P
#
"
!
P
#
"
!
P
#
"
!
Y
G
J
X
X
J
H
I
J
X
X
J
J
L
X
J
X
J
X
J
V
W
J
X
X
J
X
Y
Y
L
Y
G
L
R
T
l
$
T
\
H
R
[
[
Z
P
#
"
!
R
"
T
a
R
"
T
a
R
"
T
a
R
"
T
a
R
"
T
a
R
"
T
a
R
"
T
a
R
"
T
a
R
"
T
a
R
"
T
a
R
"
T
a
R
"
T
a
R
"
T
R
"
T
a
W
J
W
X
W
J
X
J
O
'
[
Z
P
Z
P
#
"
!
Z
#
"
!
"
R
R
"
a
T
a
T
a
G
V
J
H
I
J
V
V
J
J
L
V
J
U
V
J
V
V
J
V
J
W
X
V
J
W
J
Y
G
J
W
W
J
H
I
J
W
W
J
J
L
W
J
W
J
U
V
W
J
Hydrochlorothiazidum
-
2
-
3
:
>
>
1
4
N
6

A
@
2
-
K
(
1
>
5
)
-
<
5
>
)
;
:
2
5
6
-
8
:
*
-
4
(
-
<
5
*
-
1
>
5
1
*
:
9
;
(
>
)
5
)
8
,
-
<
5
>
4
(
=
;
5
,
.
-
<
5
)
;
*
:
9
-
,
.
(
3
2
-
8
7
+
6
3
5
4
(
3
*
(
2
1
0
(
/
.
-
,
+
(
*
)
(
N
"
#
#
'
&
$
"
%
$
#
"
!
S
]
l
Zawartość opakowania
P
#
P
#
M
P
R
T
i
!
Q
P
#
M
P
R
T
i
Q
!
P
#
M
P
R
T
i
!
Q
P
#
M
P
R
T
i
Q
!
P
#
M
P
R
T
i
!
Q
P
#
M
P
R
T
i
Q
!
P
#
M
P
R
T
i
!
Q
P
#
M
P
R
T
i
Q
!
P
#
M
P
R
T
i
!
Q
P
#
M
P
R
T
i
Q
!
P
#
M
P
R
T
i
!
Q
P
#
M
P
R
T
i
Q
!
P
#
M
P
R
T
i
!
Q
P
#
M
P
R
T
i
Q
!
P
#
M
P
R
T
i
!
Q
P
#
M
P
R
T
i
!
Q
P
#
M
P
R
T
i
!
Q
P
#
M
P
R
T
i
!
Q
P
#
M
P
R
T
i
Q
!
P
#
M
P
R
T
i
!
Q
P
#
M
P
R
T
i
Q
!
P
#
M
P
R
T
i
!
Q
P
#
M
P
R
T
i
Q
!
P
#
M
P
R
T
i
!
Q
P
#
M
P
R
T
i
Q
!
P
#
M
P
R
T
i
!
Q
P
#
M
P
R
T
i
Q
!
P
#
M
P
R
T
i
!
Formetic, tabl. powl., 1000 mg
60 szt. (6 blist.po 10 szt.)
5909990078981
Formetic, tabl. powl., 1000 mg
90 szt. (9 blist.po 10 szt.)
5909990078998
Formetic, tabl. powl., 500 mg
30 szt. (3 blist.po 10 szt.)
5909990078943
Formetic, tabl. powl., 500 mg
60 szt. (6 blist.po 10 szt.)
5909990078950
Formetic, tabl. powl., 500 mg
90 szt. (9 blist.po 10 szt.)
5909990078967
Formetic, tabl. powl., 850 mg
30 szt. (3 blist.po 10 szt.)
5909990079001
Formetic, tabl. powl., 850 mg
60 szt. (6 blist.po 10 szt.)
5909990079025
Formetic, tabl. powl., 850 mg
90 szt. (9 blist.po 10 szt.)
5909990079032
Glucophage 1000 mg, tabl. powl., 1000 mg
30 szt. (2 blist.po 15 szt.)
5909990717248
Glucophage 500 mg, tabl. powl., 500 mg
30 szt.
5909990789276
Glucophage 850 mg, tabl. powl., 850 mg
30 szt.
5909990789290
Glucophage XR, tabl. o przedłużonym uwalnianiu, 1000 mg
60 szt.
5909990864461
Glucophage XR, tabl. o przedłużonym uwalnianiu, 500 mg
30 szt. (2 blist.po 15 szt.)
5909990624751
Glucophage XR, tabl. o przedłużonym uwalnianiu, 500 mg
60 szt. (4 blist.po 15 szt.)
5909990624768
Glucophage XR, tabl. o przedłużonym uwalnianiu, 750 mg
30 szt. (2 blist.po 15 szt.)
5909990213429
Glucophage XR, tabl. o przedłużonym uwalnianiu, 750 mg
60 szt. (4 blist.po 15 szt.)
5909990213436
Glucophage, tabl. powl., 850 mg
60 szt.
5909990789306
Metfogamma 1000, tabl. powl., 1000 mg
30 szt. (2 blist.po 15 szt.)
5909990654598
Metfogamma 850, tabl. powl., 850 mg
30 szt. (3 blist.po 10 szt.)
5909991032913
Metformax 1000, tabl. powl., 1000 mg
120 szt.
5909991252069
Metformax 1000, tabl. powl., 1000 mg
30 szt.
5909990053056
Metformax 1000, tabl. powl., 1000 mg
60 szt.
5909990933181
Metformax 1000, tabl. powl., 1000 mg
90 tabl.
5909990933198
Metformax 500, tabl., 500 mg
30 szt.
5909990126316
Metformax 500, tabl., 500 mg
60 szt.
5909990935253
Metformax 850, tabl., 850 mg
30 szt.
5909990450718
Metformax 850, tabl., 850 mg
60 szt.
5909990935260
Metformax SR 500, tabl. o przedłużonym uwalnianiu, 500 mg
30 szt.
5909990652112
Metformax SR 500, tabl. o przedłużonym uwalnianiu, 500 mg
60 szt.
5909990933167
Metformax SR 500, tabl. o przedłużonym uwalnianiu, 500 mg
90 szt.
5909990933174
1
*
-
2
-
3
:
;
B
=
(
2
(
1
*
-
,
2
F
C
L
J
?
E
P
#
M
M
P
R
T
i
n
n
n
n
n
n
n
n
n
n
n
n
n
n
n
n
n
n
n
n
n
n
n
n
n
n
n
n
Q

I

H
P
R
T
i
!
!
Q
n
Q
n
G
Y
H
L
Y
I
L
Y
J
L
Y
L
L
Y
U
L
Y
V
L
Y
W
L
Y
X
L
Y
L
G
G
L
G
G
L
H
I
L
G
G
L
J
L
L
G
G
L
U
V
L
G
G
L
W
X
G
L
H
L
Y
G
L
H
H
L
H
I
L
H
H
L
J
L
L
H
H
L
U
V
L
H
H
L
W
X
H
L
Y
L
I
G
I
L
-
2
-
3
:
>
>
1
4
N
6

A
@
2
-
K
(
1
>
5
)
-
<
5
>
)
;
:
2
5
6
-
8
:
*
-
4
(
-
<
5
*
-
1
>
5
1
*
:
9
;
(
>
)
5
)
8
,
-
<
5
>
4
(
=
;
5
,
.
-
<
5
)
;
*
:
9
-
,
.
(
3
2
-
8
7
+
6
3
5
4
(
3
*
(
2
1
0
(
/
.
-
,
+
(
*
)
(
N
"
#
#
'
&
$
"
%
$
#
"
!
S
]
l
Zawartość opakowania
P
#
P
#
M
P
R
P
#
M
P
R
T
i
!
Q
P
#
M
P
R
T
i
!
Q
P
#
M
P
R
T
i
!
Q
P
#
M
P
R
T
i
!
Q
P
#
M
P
R
T
i
!
Q
P
#
M
P
R
T
i
!
Q
P
#
M
P
R
T
i
!
Q
P
#
M
P
R
T
i
!
Q
P
#
M
P
R
T
i
!
Q
P
#
M
P
R
T
i
!
Q
P
#
M
P
R
T
i
!
Q
P
#
M
P
R
T
i
!
Q
P
#
M
P
R
T
i
!
Q
P
#
M
P
R
T
i
!
Q
P
#
M
P
R
T
i
!
Q
P
#
M
R
Q
#
M
"
P
#
M
R
Q
#
"
M
P
#
M
R
Q
#
M
"
P
#
M
R
Q
#
"
M
P
#
M
R
Q
#
M
"
P
#
M
R
Q
#
"
M
P
#
M
R
Q
#
M
"
P
#
M
R
Q
#
"
M
P
#
M
R
Q
#
M
"
P
#
M
R
Q
#
"
M
P
#
M
R
Q
#
M
"
P
#
M
R
Q
#
"
Metformin Bluefish, tabl. powl., 1000 mg
30 szt.
5909990705894
Metformin Bluefish, tabl. powl., 500 mg
30 szt.
5909990705474
Metformin Bluefish, tabl. powl., 850 mg
30 szt.
5909990705726
Metformin Galena, tabl., 500 mg
30 szt. (3 blist.po 10 szt.)
5909990462018
Metformin Galena, tabl., 850 mg
30 szt. (2 blist.po 15 szt.)
5909990928019
5909990495115
Metifor, tabl., 500 mg
30 szt. (3 blist.po 10 szt.)
Siofor 1000, tabl. powl., 1000 mg
120 szt. (8 blist.po 15 szt.)
5909990221028
Siofor 1000, tabl. powl., 1000 mg
30 szt. (2 blist.po 15 szt.)
5909990220984
Siofor 1000, tabl. powl., 1000 mg
60 szt. (4 blist.po 15 szt.)
5909990220991
Siofor 1000, tabl. powl., 1000 mg
90 szt. (6 blist.po 15 szt.)
5909990221004
Siofor 500, tabl. powl., 500 mg
120 szt. (12 blist.po 10 szt.)
5909990457236
Siofor 500, tabl. powl., 500 mg
30 szt. (2 blist.po 15 szt.)
5909990457212
Siofor 500, tabl. powl., 500 mg
60 szt. (6 blist.po 10 szt.)
5909990457229
Siofor 500, tabl. powl., 500 mg
90 tabl.
4013054024331
Siofor 850, tabl. powl., 850 mg
120 szt. (8 blist.po 15 szt.)
5909990457335
Siofor 850, tabl. powl., 850 mg
30 szt. (2 blist.po 15 szt.)
5909990457311
Siofor 850, tabl. powl., 850 mg
60 tabl.
5909990457328
Siofor 850, tabl. powl., 850 mg
90 szt.
4013054024348
Deprexolet, tabl. powl., 10 mg
30 szt.
5909991120948
Deprexolet, tabl. powl., 10 mg
90 tabl.
5909991120962
Deprexolet, tabl. powl., 30 mg
30 szt.
5909991121051
Lerivon, tabl. powl., 10 mg
30 szt. (1 blist.po 30 szt.)
5909990157716
Lerivon, tabl. powl., 30 mg
30 szt. (1 blist.po 30 szt.)
5909990157822
Miansec 30, tabl. powl., 30 mg
20 szt. (1 blist.po 20 szt.)
5909991124311
Miansec, tabl. powl., 10 mg
30 szt. (1 blist.po 30 szt.)
5909990796618
Miansec, tabl. powl., 10 mg
90 szt. (3 blist.po 30 szt.)
5909990796625
Miansegen, tabl. powl., 10 mg
30 szt.
5909990883813
Miansegen, tabl. powl., 10 mg
90 szt.
5909990883820
Miansegen, tabl. powl., 30 mg
20 szt.
5909990883929
Miansegen, tabl. powl., 30 mg
30 szt.
5909990764242
1
*
-
2
-
3
:
;
B
=
(
2
(
1
*
-
,
2
F
C
L
J
?
E
P
#
M
M
P
R
T
i
T
i
!
Q
n
n
n
n
n
n
n
n
n
n
n
n
n
n
n
n
n
n
n
n
n
n
n
n
n
n
n
M

I

H
P
R
T
i
!
!
n
Q
n
Q
n
G
I
L
H
I
L
I
I
L
J
L
I
L
U
I
L
V
I
L
I
L
W
X
I
L
Y
L
J
G
L
J
J
L
H
I
L
J
J
L
J
L
L
J
J
L
U
V
L
J
J
L
W
X
J
L
Y
L
L
G
L
L
L
L
H
I
L
L
L
L
J
L
L
L
L
L
U
V
L
L
L
L
W
X
L
L
Y
L
U
G
U
L
-
2
-
3
:
>
>
1
4
N
6

A
@
2
-
K
(
1
>
5
)
;
(
>
)
5
)
8
,
-
<
5
>
)
;
:
2
5
6
-
8
:
*
-
4
(
-
<
5
*
-
1
>
5
1
*
:
9
<
5
>
4
(
=
;
5
,
.
-
<
5
)
;
*
:
9
-
,
.
(
3
2
-
8
7
+
6
3
5
4
(
3
*
(
2
1
0
(
/
.
-
,
+
(
*
)
(
N
"
#
#
'
&
$
"
%
$
#
"
!
S
]
l
Zawartość opakowania
P
O
M
P
O
M
P
Q
P
O
M
P
Q
T
P
#
P
#
P
#
P
#
P
#
P
#
P
#
P
#
P
#
P
#
P
#
^
Q
T
P
#
Q
P
#
P
#
T
Q
P
#
Q
P
#
Q
P
#
Q
P
#
Q
P
#
Q
P
#
T
^
Q
T
^
T
^
T
^
T
^
T
^
^
Q
T
^
T
^
R
R
R
R
R
R
R
R
R
R
P
#
^
Q
T
P
#
Q
P
#
Q
P
#
Q
P
#
Q
T
^
T
^
T
^
T
^
R
R
R
R
R
P
O
M
P
Q
Q
T
Q
T
Q
T
Q
T
Q
T
Q
T
Q
T
T
Q
Q
T
^
T
Q
R
R
^
R
^
R
^
R
^
R
^
R
^
R
^
R
^
R
^
T
l
$
Miansegen, tabl. powl., 60 mg
30 szt.
5909991064525
Aurorix, tabl. powl., 150 mg
30 szt.
5909990094813
Aurorix, tabl. powl., 300 mg
30 szt.
5909990419814
Mobemid, tabl. powl., 150 mg
30 szt. (2 blist.po 15 szt.)
5909990966813
Moklar, tabl. powl., 150 mg
30 szt. (3 blist.po 10 szt.)
5909990953714
Anapran EC, tabl. dojel., 250 mg
60 szt.
5909991054991
Anapran EC, tabl. dojel., 500 mg
60 szt.
5909991055066
Anapran, tabl. powl., 275 mg
20 szt. (2 blist.po 10 szt.)
5909990615438
Anapran, tabl. powl., 275 mg
60 tabl.
5909990948536
Anapran, tabl. powl., 550 mg
20 szt. (2 blist.po 10 szt.)
5909990624515
Anapran, tabl. powl., 550 mg
60 tabl.
5909990948543
Apo-Napro, tabl., 250 mg
30 szt.
5909990661404
Apo-Napro, tabl., 250 mg
90 szt.
5909990661435
Apo-Napro, tabl., 500 mg
30 szt.
5909990661442
Apo-Napro, tabl., 500 mg
30 tabl.
5909997213224
Nalgesin Forte, tabl. powl., 550 mg
10 szt.
5909991023782
Nalgesin Forte, tabl. powl., 550 mg
20 szt.
5909991023799
Nalgesin Forte, tabl. powl., 550 mg
30 szt.
5909991023805
Nalgesin Forte, tabl. powl., 550 mg
60 szt.
5909991023836
Naproxen 250 Hasco, tabl., 250 mg
30 szt.
5909991040529
Naproxen 250 Hasco, tabl., 250 mg
50 szt.
5909991040536
Naproxen 500 Hasco, tabl., 500 mg
15 szt.
5909990644179
Naproxen 500 Hasco, tabl., 500 mg
30 tabl.
5909990644186
Naproxen Hasco, czopki, 250 mg
10 szt.
5909990914319
Naproxen Hasco, czopki, 500 mg
10 szt.
5909990914418
Naproxen Polfarmex, tabl., 250 mg
30 szt. (3 blist.po 10 szt.)
5909990860692
Naproxen Polfarmex, tabl., 250 mg
50 szt. (5 blist.po 10 szt.)
5909990466726
Naproxen Polfarmex, tabl., 500 mg
20 szt. (2 blist.po 10 szt.)
5909990466818
Naproxen Polfarmex, tabl., 500 mg
30 szt. (3 blist.po 10 szt.)
5909990860685
Pabi-Naproxen, tabl., 250 mg
50 szt. (5 blist.po 10 szt.)
5909990133215
1
*
-
2
-
3
:
;
B
=
(
2
(
1
*
-
,
2
F
C
L
J
?
E
P
#
M
P
Q
T
T
l
$
l
$
T
n
T
F
"
"
F
F
"
"
F
F
"
"
F
F
"
"
F
"
F
"
F
F
"
"
F
"
F
"
F
F
"
"
F
F
"
"
F
"
F
"
F
"
F
F
"
"
F
F
"
"
F

I

H
R
Q
#
"
l
$
T
n
n
T
n
M
n
G
H
U
L
I
U
L
J
U
L
L
L
U
U
L
U
V
L
U
U
L
W
X
U
L
Y
L
V
G
L
V
V
L
H
I
L
V
V
L
J
L
V
L
V
L
U
V
L
V
V
L
W
X
V
L
W
L
Y
G
L
W
W
L
H
I
L
W
W
L
J
L
W
L
W
L
U
V
L
W
W
L
W
X
W
L
Y
L
X
G
X
L
-
2
-
3
:
>
>
1
4
N
6

A
@
2
-
K
(
1
>
5
)
;
(
>
)
5
)
8
,
-
<
5
>
)
;
:
2
5
6
-
8
:
*
-
4
(
-
<
5
*
-
1
>
5
1
*
:
9
<
5
>
4
(
=
;
5
,
.
-
<
5
)
;
*
:
9
-
,
.
(
3
2
-
8
7
+
6
3
5
4
(
3
*
(
2
1
0
(
/
.
-
,
+
(
*
)
(
N
"
#
#
'
&
$
"
%
$
#
"
!
S
]
l
Zawartość opakowania
P
P
P
P
P
P
P
P
P
P
P
P
P
P
P
l
M
O
Q
Z
M
R
M
P
#
M
M
O
T
l
P
C
P
l
M
R
Z
P
#
M
M
O
T
l
P
C
P
#
M
M
O
T
l
P
C
Z
P
Z
P
M
R
l
l
M
R
P
#
M
M
O
T
l
P
C
P
#
M
M
O
T
l
P
C
P
#
M
M
O
T
l
P
C
Z
P
P
Z
P
l
M
R
l
M
R
l
M
R
Z
Z
P
l
M
R
P
#
M
M
O
T
l
P
C
Z
P
M
R
l
P
#
M
M
O
T
l
P
C
Z
P
l
M
R
P
#
M
M
O
T
l
P
C
P
#
M
M
O
T
l
P
C
P
#
M
M
O
T
l
P
P
#
M
M
O
T
l
P
C
P
#
M
M
O
T
l
P
C
P
Z
P
Z
Z
C
P
P
Z
P
l
M
R
l
M
R
l
M
R
l
M
R
l
M
R
Pabi-Naproxen, tabl., 500 mg
20 szt. (2 blist.po 10 szt.)
5909990133314
Arketis tabletki 20 mg, tabl., 20 mg
30 szt. (3 blist.po 10 szt.)
5909990047109
Parogen, tabl. powl., 20 mg
30 szt. (1 poj.po 30 szt.)
5909990425877
Parogen, tabl. powl., 20 mg
30 tabl.
5902023772368
Parogen, tabl. powl., 20 mg
30 tabl.
5909997225579
Parogen, tabl. powl., 20 mg
60 szt. (1 poj.po 60 szt.)
5909990425884
Parogen, tabl. powl., 20 mg
60 tabl.
5902023772375
Paroxetine Aurobindo, tabl. powl., 20 mg
30 szt.
5909990655724
Paroxinor, tabl. powl., 20 mg
30 szt.
5909990798346
Paxtin 20, tabl. powl., 20 mg
30 szt.
5909991210861
Paxtin 20, tabl. powl., 20 mg
30 szt. (3 blist.po 10 szt.)
5909990010189
Paxtin 40, tabl. powl., 40 mg
30 szt. (3 blist.po 10 szt.)
5909990010202
Rexetin, tabl. powl., 20 mg
30 szt.
5909991006310
Xetanor 20 mg, tabl. powl., 20 mg
30 szt. (3 blist.po 10 szt.)
5909990570515
Pilocarpinum WZF 2%, krople do oczu, roztwór, 20 mg/ml
10 ml (2x5 ml)
5909990237524
Pronoran, tabl. powl. o przedłużonym uwalnianiu, 50 mg
30 szt. (1 blist.po 30 szt.)
5909990846320
Egiramlon, kaps. twarde, 10+10 mg
30 kapsułek
5909990936885
Egiramlon, kaps. twarde, 10+5 mg
30 kapsułek
5909990936854
Egiramlon, kaps. twarde, 5+10 mg
30 kapsułek
5909990936809
Egiramlon, kaps. twarde, 5+5 mg
30 kapsułek
5909990936779
Ramizek Combi, kaps. twarde, 10+10 mg
60 szt.
5909991142728
Ramizek Combi, kaps. twarde, 10+5 mg
60 szt.
5909991142643
Ramizek Combi, kaps. twarde, 5+10 mg
60 szt.
5909991142674
Ramizek Combi, kaps. twarde, 5+5 mg
60 szt.
5909991142513
Ramizek Combi, kaps., 10+10 mg
30 kaps.
5909991142759
Ramizek Combi, kaps., 10+5 mg
30 kaps.
5909991142636
Ramizek Combi, kaps., 5+10 mg
30 kaps.
5909991142681
Ramizek Combi, kaps., 5+5 mg
30 kaps.
5909991142520
Sumilar, kaps. twarde, 10+10 mg
30 kaps.
5909990988334
Sumilar, kaps. twarde, 10+5 mg
30 kaps.
5909990988297
1
*
-
2
-
3
:
;
B
=
(
2
(
1
*
-
,
2
F
C
L
J
?
E
P
#
#
M
#
M
#
M
#
M
#
M
#
M
#
M
#
M
#
M
#
M
#
M
#
M
M
#
#
M
R
"
$
T
l
M
o
o
p
M
P
"
p
M
P
"
p
M
P
"
p
M
P
"
p
M
P
"
p
M
P
"
p
M
P
"
p
M
P
"
p
M
P
"
p
M
P
"
p
M
P
"
p
M
P
"
p
M
P
"
p
M
P
"

I

H
Q
T
!
Q
!
Q
!
Q
!
Q
!
Q
!
Q
!
Q
!
Q
!
Q
!
Q
!
Q
!
Q
!
Q
T
R
"
o
^
T
R
"
o
^
T
R
"
o
^
T
R
"
o
^
T
R
"
o
^
T
R
"
o
^
T
R
"
o
^
T
R
"
o
^
T
R
"
o
^
T
R
"
o
^
T
R
"
o
^
T
R
"
o
^
T
R
"
o
^
R
"
F
^
G
H
L
X
X
L
I
J
L
X
X
L
L
U
L
X
X
L
V
W
L
X
X
L
X
Y
Y
U
Y
G
U
Y
H
U
Y
I
U
Y
J
U
Y
L
U
Y
U
U
Y
V
U
Y
W
U
Y
X
U
Y
U
G
G
G
U
H
G
U
I
G
U
G
U
J
L
U
G
G
U
U
V
G
U
W
G
U
X
G
U
Y
U
H
G
H
U
Amlodipinum
-
2
-
3
:
>
>
1
4
N
6

A
@
2
-
K
(
1
>
5
)
;
(
-
<
5
>
)
;
:
2
5
6
-
8
:
*
-
4
(
-
<
5
*
-
1
>
5
1
*
:
9
>
)
5
)
8
,
-
<
5
>
4
(
=
;
5
,
.
-
<
5
)
;
*
:
9
-
,
.
(
3
2
-
8
7
+
6
3
5
4
(
3
*
(
2
1
0
(
/
.
-
,
+
(
*
)
(
N
"
#
#
'
&
$
"
%
$
#
"
!
S
]
l
Zawartość opakowania
P
$
M
R
P
P
#
"
P
#
"
P
#
"
P
#
M
P
f
M
!
P
#
M
P
f
M
!
P
#
M
P
f
M
!
P
#
M
P
f
M
!
P
#
M
P
f
M
!
P
#
M
P
f
M
!
P
#
M
P
f
M
!
P
#
M
P
f
M
!
P
#
M
P
f
M
!
P
#
M
P
f
M
!
P
#
M
P
f
M
!
P
#
M
P
f
M
!
P
#
M
P
f
M
!
P
#
M
P
f
M
!
P
#
M
P
f
M
!
P
#
M
P
f
M
!
P
#
M
P
f
M
!
P
#
M
P
f
M
!
P
#
M
P
f
M
!
P
#
M
P
f
M
!
P
#
M
P
f
M
!
P
#
M
P
f
M
!
P
$
M
R
!
"
#
"
"
"
"
"
T
R
^
T
R
^
T
R
^
T
R
"
"
"
"
"
"
"
"
"
"
"
"
"
"
"
"
"
"
"
"
"
"
"
"
"
"
P
#
M
M
O
T
l
!
"
#
#
P
!
^
"
#
T
R
O
Q
_
p
M
_
p
M
_
p
M
_
p
M
_
p
M
_
p
M
_
p
M
_
p
M
_
p
M
_
p
M
_
p
M
_
p
M
_
p
M
_
p
M
_
p
M
_
p
M
_
p
M
_
p
M
_
p
M
_
p
M
_
p
M
_
p
M
_
p
M
_
p
M
_
p
M
_
p
M
Sumilar, kaps. twarde, 5+10 mg
30 kaps.
5909990988273
Sumilar, kaps. twarde, 5+5 mg
30 kaps.
5909990988259
Risendros 35, tabl. powl., 35 mg
12 szt. (3 blist.po 4 szt.)
5909990082629
Risendros 35, tabl. powl., 35 mg
4 szt. (1 blist.po 4 szt.)
5909990082599
Xarelto, tabl. powl., 15 mg
14 szt.
5909990910601
Xarelto, tabl. powl., 15 mg
42 szt.
5909990910663
Xarelto, tabl. powl., 20 mg
14 szt.
5909990910700
Xarelto, tabl., 10 mg
10 szt.
5909990658145
Evertas, system transdermalny, plaster, 4,6 mg/24h
30 szt.
5909991078386
Evertas, system transdermalny, plaster, 9,5 mg/24h
30 szt.
5909991078454
Exelon, system transdermalny, 13,3 mg/24h
30 sasz.
5909991032609
Exelon, system transdermalny, 4,6 mg/24h
30 sasz.
5909990066704
Exelon, system transdermalny, 9,5 mg/24h
30 sasz.
5909990066766
Nimvastid, kaps. twarde, 1,5 mg
28 szt.
5909990700646
Nimvastid, kaps. twarde, 3 mg
28 szt.
5909990700684
Nimvastid, kaps. twarde, 3 mg
56 szt.
5909990700707
Nimvastid, kaps. twarde, 4,5 mg
28 szt.
5909990700738
Nimvastid, kaps. twarde, 4,5 mg
56 szt.
5909990700752
Nimvastid, kaps. twarde, 6 mg
28 szt.
5909990700790
Nimvastid, kaps. twarde, 6 mg
56 szt.
5909990700844
Nimvastid, tabl. ulegające rozpadowi w jamie ustnej, 1,5 mg
28 szt.
5909990700660
Nimvastid, tabl. ulegające rozpadowi w jamie ustnej, 3 mg
28 szt.
5909990700691
Nimvastid, tabl. ulegające rozpadowi w jamie ustnej, 3 mg
56 szt.
5909990700721
Nimvastid, tabl. ulegające rozpadowi w jamie ustnej, 4,5 mg
28 szt.
5909990700745
Nimvastid, tabl. ulegające rozpadowi w jamie ustnej, 4,5 mg
56 szt.
5909990700769
Nimvastid, tabl. ulegające rozpadowi w jamie ustnej, 6 mg
28 szt.
5909990700806
Nimvastid, tabl. ulegające rozpadowi w jamie ustnej, 6 mg
56 szt.
5909990700851
Ristidic, kaps. twarde, 1,5 mg
28 szt.
5909990782048
Ristidic, kaps. twarde, 1,5 mg
56 szt.
5909990782055
Ristidic, kaps. twarde, 3 mg
28 szt.
5909990782079
1
*
-
2
-
3
:
;
B
=
(
2
(
1
*
-
,
2
F
C
L
J
?
E
P
#
M
M
O
T
l
P
P
P
!
"
#
T
R
O
Q
M
p
M

I

H
Z
C
C
P
l
M
R
Z
P
l
M
R
M
P
M
P
p
"
p
"
p
G
H
U
H
I
U
H
H
U
J
L
U
H
H
U
U
V
U
H
H
U
W
X
H
U
Y
U
I
G
U
I
I
U
H
I
U
I
I
U
J
L
U
I
I
U
U
V
U
I
I
U
W
X
I
U
Y
U
J
G
U
J
J
U
H
I
U
J
J
U
J
L
U
J
J
U
U
V
U
J
J
U
W
X
J
U
Y
U
L
G
L
U
-
2
-
3
:
>
>
1
4
N
6

A
@
2
-
K
(
1
>
5
)
;
-
<
5
>
)
;
:
2
5
6
-
8
:
*
-
4
(
-
<
5
*
-
1
>
5
1
*
:
9
(
>
)
5
)
8
,
-
<
5
>
4
(
=
;
5
,
.
-
<
5
)
;
*
:
9
-
,
.
(
3
2
-
8
7
+
6
3
5
4
(
3
*
(
2
1
0
(
/
.
-
,
+
(
*
)
(
N
"
#
#
'
&
$
"
%
$
#
"
!
S
]
l
Zawartość opakowania
P
P
#
M
P
f
M
!
P
#
M
P
f
M
!
"
P
#
M
P
f
M
!
"
P
#
M
P
f
M
!
"
P
#
M
P
f
M
!
"
P
#
M
P
f
M
!
"
P
#
M
P
f
M
!
"
P
#
M
P
f
M
!
"
P
#
M
P
f
M
!
"
P
#
M
P
f
M
!
"
P
#
M
P
f
M
!
"
P
#
M
P
f
M
!
"
P
#
M
P
f
M
!
"
P
#
M
P
f
M
!
"
P
#
M
P
f
M
!
"
P
#
M
P
f
M
!
"
P
#
M
P
f
M
!
"
P
#
M
P
f
M
!
"
P
#
M
P
f
M
!
"
P
#
M
P
f
M
!
"
P
#
M
P
f
M
!
"
P
#
M
P
f
M
!
"
P
#
M
P
f
M
!
"
P
#
M
P
f
M
!
"
P
#
M
P
f
M
!
"
P
#
M
P
f
M
!
"
P
#
M
P
f
M
!
"
P
#
M
P
f
M
!
"
Ristidic, kaps. twarde, 3 mg
56 szt.
5909990782086
Ristidic, kaps. twarde, 4,5 mg
28 szt.
5909990782147
Ristidic, kaps. twarde, 4,5 mg
56 szt.
5909990782154
Ristidic, kaps. twarde, 6 mg
28 szt.
5909990782178
Ristidic, kaps. twarde, 6 mg
56 szt.
5909990782185
Rivaldo, kaps. twarde, 3 mg
56 szt.
5909990816255
Rivaldo, kaps. twarde, 4,5 mg
28 szt.
5909990816262
Rivaldo, kaps. twarde, 4,5 mg
56 szt.
5909990816279
Rivaldo, kaps. twarde, 6 mg
28 szt.
5909990816286
Rivaldo, kaps. twarde, 6 mg
56 szt.
5909990816293
Rivastigmin NeuroPharma, kaps. twarde, 1,5 mg
28 szt.
5909990982981
Rivastigmin NeuroPharma, kaps. twarde, 3 mg
28 szt.
5909990983162
Rivastigmin NeuroPharma, kaps. twarde, 3 mg
56 szt.
5909990983179
Rivastigmin NeuroPharma, kaps. twarde, 4,5 mg
28 szt.
5909990983308
Rivastigmin NeuroPharma, kaps. twarde, 4,5 mg
56 szt.
5909990983322
Rivastigmin NeuroPharma, kaps. twarde, 6 mg
28 szt.
5909990983506
Rivastigmin NeuroPharma, kaps. twarde, 6 mg
56 szt.
5909990983544
Rivastigmin Orion, kaps. twarde, 1,5 mg
28 szt.
5909990778898
Rivastigmin Orion, kaps. twarde, 3 mg
28 szt.
5909990778935
Rivastigmin Orion, kaps. twarde, 3 mg
56 szt.
5909990778942
Rivastigmin Orion, kaps. twarde, 4,5 mg
28 szt.
5909990778966
Rivastigmin Orion, kaps. twarde, 4,5 mg
56 szt.
5909990778973
Rivastigmin Orion, kaps. twarde, 6 mg
28 szt.
5909990778997
Rivastigmin Orion, kaps. twarde, 6 mg
56 szt.
5909990779000
Rivastigmine Actavis, kaps. twarde, 1,5 mg
28 szt.
5909990886258
Rivastigmine Actavis, kaps. twarde, 3 mg
28 szt.
5909990886296
Rivastigmine Actavis, kaps. twarde, 3 mg
56 szt.
5909990886302
Rivastigmine Actavis, kaps. twarde, 4,5 mg
28 szt.
5909990886364
Rivastigmine Actavis, kaps. twarde, 4,5 mg
56 szt.
5909990886371
Rivastigmine Actavis, kaps. twarde, 6 mg
28 szt.
5909990886401
1
*
-
2
-
3
:
;
B
=
(
2
(
1
*
-
,
2
F
C
L
J
?
E
P
M
#
#
M
P
f
M
!
"
"
M
_
p
M
_
p
M
_
p
M
_
p
M
_
p
M
_
p
M
_
p
M
_
p
M
_
p
M
_
p
M
_
p
M
_
p
M
_
p
M
_
p
M
_
p
M
_
p
M
_
p
M
_
p
M
_
p
M
_
p
M
_
p
M
_
p
M
_
p
M
_
p
M
_
p
M
_
p
M
_
p
M

I

H
P
f
M
!
"
_
_
_
p
M
p
M
p
G
L
U
H
I
U
L
L
U
J
L
L
U
U
L
U
V
L
U
L
U
W
X
L
U
Y
U
U
G
U
U
U
U
H
I
U
U
U
U
J
L
U
U
U
U
U
V
U
U
U
U
W
X
U
U
Y
U
V
G
U
V
V
U
H
I
U
V
V
U
J
L
U
V
V
U
U
V
U
V
V
U
W
X
V
U
Y
U
W
G
W
U
-
2
-
3
:
>
>
1
4
N
6

A
@
2
-
K
(
1
>
5
)
;
(
>
)
5
)
-
<
5
>
)
;
:
2
5
6
-
8
:
*
-
4
(
-
<
5
*
-
1
>
5
1
*
:
9
8
,
-
<
5
>
4
(
=
;
5
,
.
-
<
5
)
;
*
:
9
-
,
.
(
3
2
-
8
7
+
6
3
5
4
(
3
*
(
2
1
0
(
/
.
-
,
+
(
*
)
(
N
"
#
#
'
&
$
"
%
$
#
"
!
S
]
l
Zawartość opakowania
P
P
#
M
P
f
M
!
P
#
M
P
f
M
!
"
P
#
M
P
f
M
!
"
P
#
M
P
f
M
!
"
P
#
M
P
f
M
!
"
P
#
M
P
f
M
!
"
P
#
M
P
f
M
!
"
P
#
M
P
f
M
!
"
P
#
M
P
f
M
!
"
P
#
M
P
f
M
!
"
P
#
M
P
f
M
!
"
P
#
M
P
f
M
!
"
P
#
M
P
f
M
!
"
P
l
T
R
M
#
M
P
l
T
R
M
#
M
T
P
l
T
R
M
#
M
T
P
l
T
R
M
#
M
T
P
l
T
R
M
#
M
T
P
l
T
R
M
#
M
T
P
l
T
R
M
#
M
T
P
l
T
R
M
#
M
T
P
l
T
R
M
#
M
T
P
l
T
R
M
#
M
T
P
l
T
R
M
#
M
T
P
l
T
R
M
#
M
T
P
l
T
R
M
#
M
T
P
l
T
R
M
#
M
P
#
M
P
f
M
!
"
T
p
p
p
p
p
p
p
p
p
p
p
p
p
T
Rivastigmine Actavis, kaps. twarde, 6 mg
56 szt.
5909990886425
Rivastigmine Mylan, kaps. twarde, 1,5 mg
28 szt.
5909990803156
Rivastigmine Mylan, kaps. twarde, 3 mg
28 szt.
5909990803545
Rivastigmine Mylan, kaps. twarde, 3 mg
56 szt.
5909990803569
Rivastigmine Mylan, kaps. twarde, 4,5 mg
28 szt.
5909990803781
Rivastigmine Mylan, kaps. twarde, 4,5 mg
56 szt.
5909990803804
Rivastigmine Mylan, kaps. twarde, 6 mg
28 szt.
5909990804085
Rivastigmine Mylan, kaps. twarde, 6 mg
56 szt.
5909990804108
Rivastigmine Teva, system transdermalny, plaster, 4,6 mg/24h
30 szt.
5909991078232
Rivastigmine Teva, system transdermalny, plaster, 9,5 mg/24h
30 szt.
5909991078263
Rywastygmina Apotex, system transdermalny, plaster, 4,6 mg/24 h
30 szt.
5909991067595
Rywastygmina Apotex, system transdermalny, plaster, 9,5 mg/24h
30 szt.
5909991067632
Symelon, kaps. twarde, 1,5 mg
28 szt.
5909990808199
Symelon, kaps. twarde, 3 mg
28 szt.
5909990808397
Symelon, kaps. twarde, 4,5 mg
28 szt.
5909990808427
Symelon, kaps. twarde, 6 mg
28 szt.
5909990808441
Aparxon PR, tabl. o przedłużonym uwalnianiu, 2 mg
28 szt.
5909990877683
Aparxon PR, tabl. o przedłużonym uwalnianiu, 4 mg
28 szt.
5909990878000
Aparxon PR, tabl. o przedłużonym uwalnianiu, 8 mg
28 szt.
5909990878086
ApoRopin, tabl. o przedłużonym uwalnianiu, 2 mg
28 szt.
5909990992607
ApoRopin, tabl. o przedłużonym uwalnianiu, 4 mg
28 szt.
5909990992683
ApoRopin, tabl. o przedłużonym uwalnianiu, 8 mg
28 szt.
5909990992775
Aropilo SR, tabl. o przedł. uwalnianiu, 2 mg
28 szt.
5909990998586
Aropilo SR, tabl. o przedł. uwalnianiu, 4 mg
28 szt.
5909990998982
Aropilo SR, tabl. o przedł. uwalnianiu, 8 mg
28 szt.
5909990999156
Aropilo, tabl. powl., 0,25 mg
210 szt.
5909990731954
Aropilo, tabl. powl., 0,5 mg
21 szt.
5909990731985
Aropilo, tabl. powl., 1 mg
21 szt.
5909990732074
Aropilo, tabl. powl., 2 mg
21 szt.
5909990732227
Aropilo, tabl. powl., 5 mg
21 szt.
5909990732333
1
*
-
2
-
3
:
;
B
=
(
2
(
1
*
-
,
2
F
C
L
J
?
E
P
#
M
#
M
P
f
M
!
"
"
M
_
p
M
_
p
M
_
p
M
_
p
M
_
p
M
_
p
M
_
p
M
_
p
M
_
p
M
_
p
M
_
p
M
_
p
M
_
p
p
M

I

H
P
f
M
!
"
_
_
_
p
M
p
M
p
G
W
U
H
I
U
W
W
U
J
L
U
W
W
U
U
V
U
W
W
U
W
X
W
U
Y
U
X
X
U
G
H
U
X
X
U
I
J
U
X
X
U
L
U
U
X
X
U
V
W
U
X
X
U
X
Y
Y
V
Y
G
V
Y
H
V
Y
I
V
Y
J
V
Y
L
V
Y
U
V
Y
V
V
Y
W
V
Y
X
V
Y
V
G
G
G
V
-
2
-
3
:
>
>
1
4
N
6

A
@
2
-
K
(
1
>
-
<
5
>
)
;
:
2
5
6
-
8
:
*
-
4
(
-
<
5
*
-
1
>
5
1
*
:
9
5
)
;
(
>
)
5
)
8
,
-
<
5
>
4
(
=
;
5
,
.
-
<
5
)
;
*
:
9
-
,
.
(
3
2
-
8
7
+
6
3
5
4
(
3
*
(
2
1
0
(
/
.
-
,
+
(
*
)
(
N
"
#
#
'
&
$
"
%
$
#
"
!
S
]
l
Zawartość opakowania
P
l
P
l
T
M
#
R
P
l
T
R
M
#
M
T
P
l
T
R
M
#
M
T
P
l
T
R
M
#
M
T
P
l
T
R
M
#
M
T
P
l
T
R
M
#
M
T
P
l
T
R
M
#
M
T
P
l
T
R
M
#
M
T
P
l
T
R
M
#
M
T
P
l
T
R
M
#
M
T
P
l
T
R
M
#
M
T
P
l
T
R
M
#
M
T
P
l
T
R
M
#
M
T
P
l
T
R
M
#
M
T
P
l
T
R
M
#
M
T
P
l
T
R
M
#
M
T
P
l
T
R
M
#
M
T
P
l
T
R
M
#
M
T
P
l
T
R
M
#
M
T
P
l
T
R
M
#
M
T
P
l
T
R
M
#
M
T
P
l
T
R
M
#
M
T
P
l
T
R
M
#
M
T
P
l
T
R
M
#
M
T
P
l
T
R
M
#
M
T
P
l
T
R
M
#
M
T
P
l
T
R
M
#
M
T
P
l
T
R
M
#
M
Ceurolex SR, tabl. o przedłużonym uwalnianiu, 2 mg
28 szt.
5909991049294
Ceurolex SR, tabl. o przedłużonym uwalnianiu, 4 mg
28 szt.
5909991049355
Ceurolex SR, tabl. o przedłużonym uwalnianiu, 8 mg
28 szt.
5909991049393
Nironovo SR, tabl. o przedł. uwalnianiu, 2 mg
28 szt.
5909990990085
Nironovo SR, tabl. o przedł. uwalnianiu, 4 mg
28 szt.
5909990990092
Nironovo SR, tabl. o przedł. uwalnianiu, 8 mg
28 szt.
5909990990108
Polpix SR, tabl. o przedł. uwalnianiu, 2 mg
28 szt.
5909990988198
Polpix SR, tabl. o przedł. uwalnianiu, 4 mg
28 szt.
5909990988204
Polpix SR, tabl. o przedł. uwalnianiu, 8 mg
28 szt.
5909990988242
Raponer, tabl. o przedł. uwalnianiu, 4 mg
28 szt.
5909990984299
Raponer, tabl. o przedł. uwalnianiu, 8 mg
28 szt.
5909990984398
Raponer, tabl. o przedłużonym uwalnianiu, 2 mg
28 szt. (4 blist.po 7 szt.)
5909990984268
Repirol SR, tabl. doustne o przedłużonym uwalnianiu, 2 mg
28 szt.
5909990983582
Repirol SR, tabl. doustne o przedłużonym uwalnianiu, 4 mg
28 szt.
5909990983803
Repirol SR, tabl. doustne o przedłużonym uwalnianiu, 8 mg
28 szt.
5909990983971
Requip, tabl. powl., 0,5 mg
21 szt. (1 blist.po 21 szt.)
5909990013685
Requip, tabl. powl., 1 mg
21 szt. (1 blist.po 21 szt.)
5909990013890
Requip, tabl. powl., 2 mg
21 szt. (1 blist.po 21 szt.)
5909990013586
Requip, tabl. powl., 5 mg
21 szt. (1 blist.po 21 szt.)
5909990013968
Requip-Modutab, tabl. o przedłużonym uwalnianiu, 2 mg
28 szt. (2 blist.po 14 szt.)
5909990644728
Requip-Modutab, tabl. o przedłużonym uwalnianiu, 4 mg
28 szt. (2 blist.po 14 szt.)
5909990644612
Requip-Modutab, tabl. o przedłużonym uwalnianiu, 8 mg
28 szt. (2 blist.po 14 szt.)
5909990644636
Rolpryna SR, tabl. o przedł. uwalnianiu, 2 mg
84 szt.
5909991033781
Rolpryna SR, tabl. o przedł. uwalnianiu, 4 mg
84 szt.
5909991033798
Rolpryna SR, tabl. o przedł. uwalnianiu, 8 mg
84 szt.
5909991033804
Rolpryna SR, tabl. o przedłużonym uwalnianiu, 2 mg
28 szt.
5909990855766
Rolpryna SR, tabl. o przedłużonym uwalnianiu, 4 mg
28 szt.
5909990855773
Rolpryna SR, tabl. o przedłużonym uwalnianiu, 8 mg
28 szt.
5909990855780
Ropodrin, tabl. o przedłużonym uwalnianiu, 2 mg
28 tabl.
5909990963874
Ropodrin, tabl. o przedłużonym uwalnianiu, 4 mg
28 tabl.
5909990964239
1
*
-
2
-
3
:
;
B
=
(
2
(
1
*
-
,
2
F
C
L
J
?
E
P
l
T
T
R
M
#
M
M
T
p
p
p
p
p
p
p
p
p
p
p
p
p
p
p
p
p
p
p
p
p
p
p
p
p
p
p
T

I

H
R
M
#
M
p
T
p
T
p
G
G
V
H
I
V
G
G
V
J
L
V
G
G
V
U
V
V
G
G
V
W
X
G
V
Y
V
H
G
H
V
H
H
V
I
H
V
H
V
J
L
V
H
H
V
U
V
V
H
H
V
W
X
H
V
I
V
Y
G
V
I
I
V
H
I
V
I
I
V
J
L
I
V
I
V
U
V
V
I
I
V
W
X
I
V
Y
V
J
G
J
V
-
2
-
3
:
>
>
1
4
N
6

A
@
2
-
K
(
1
>
5
)
;
-
<
5
>
)
;
:
2
5
6
-
8
:
*
-
4
(
-
<
5
*
-
1
>
5
1
*
:
9
(
>
)
5
)
8
,
-
<
5
>
4
(
=
;
5
,
.
-
<
5
)
;
*
:
9
-
,
.
(
3
2
-
8
7
+
6
3
5
4
(
3
*
(
2
1
0
(
/
.
-
,
+
(
*
)
(
N
"
#
#
'
&
$
"
%
$
#
"
!
S
]
l
Zawartość opakowania
P
M
#
P
#
M
!
"
!
"
P
#
M
!
"
!
"
P
#
M
!
"
!
"
P
#
M
!
"
!
P
#
M
!
"
!
P
#
M
!
"
!
P
#
M
!
"
!
_
"
_
"
_
"
_
_
"
_
P
#
M
!
"
!
"
P
#
M
!
"
!
P
#
M
!
"
!
_
"
_
"
_
P
#
M
!
"
!
"
_
P
#
M
!
"
!
"
P
#
M
!
"
!
P
#
M
!
"
!
P
#
M
!
"
!
"
_
"
_
"
_
_
P
#
M
!
"
!
"
P
#
M
!
"
!
_
"
_
P
#
M
!
"
!
"
P
#
M
!
"
!
"
P
#
M
!
"
!
P
#
M
!
"
!
_
"
_
_
"
_
P
#
M
!
"
!
"
_
P
#
M
!
"
!
"
_
P
#
M
!
"
!
"
P
#
M
!
"
!
"
P
#
M
!
"
!
_
"
_
P
P
#
#
l
"
R
M
M
l
"
R
!
!
Q
R
R
Q
Ropodrin, tabl. o przedłużonym uwalnianiu, 8 mg
28 tabl.
5909990964321
Ridlip, tabl. powl., 10 mg
28 szt.
5909991000141
Ridlip, tabl. powl., 20 mg
28 szt.
5909991000158
Ridlip, tabl. powl., 40 mg
28 szt.
5909991000165
Ridlip, tabl. powl., 5 mg
28 szt.
5909991000103
Romazic, tabl. powl., 20 mg
30 szt.
5909990919659
Rosutrox, tabl. powl., 10 mg
28 tabl.
5909991085674
Rosutrox, tabl. powl., 10 mg
56 szt.
5909991085698
Rosutrox, tabl. powl., 20 mg
28 tabl.
5909991085759
Rosutrox, tabl. powl., 20 mg
56 szt.
5909991085773
Rosutrox, tabl. powl., 40 mg
28 tabl.
5909991085841
Rosutrox, tabl. powl., 40 mg
56 szt.
5909991085865
Rosutrox, tabl. powl., 5 mg
28 szt.
5909991085599
Rosutrox, tabl. powl., 5 mg
56 szt.
5909991085636
Roswera, tabl. powl., 15 mg
56 szt.
5909990895403
Roswera, tabl. powl., 30 mg
56 szt.
5909990895687
Roswera, tabl., 10 mg
28 szt.
5909990895250
Roswera, tabl., 15 mg
28 szt.
5909990895380
Roswera, tabl., 20 mg
28 szt.
5909990895533
Roswera, tabl., 30 mg
28 szt.
5909990895663
Roswera, tabl., 40 mg
28 szt.
5909990895786
Roswera, tabl., 5 mg
28 szt.
5909990895106
Suvardio, tabl. powl., 10 mg
28 szt.
5909990791743
Suvardio, tabl. powl., 20 mg
28 szt.
5909990791873
Zahron, tabl. powl., 20 mg
28 szt.
5909990802685
Zahron, tabl. powl., 40 mg
28 tabl.
5909990802753
Zaranta, tabl. powl., 10 mg
28 szt. (4 blist.po 7 szt.)
5909990777785
Zaranta, tabl. powl., 20 mg
28 szt. (4 blist.po 7 szt.)
5909990777839
ApoSerta, tabl. powl., 100 mg
30 tabl.
5909991106904
ApoSerta, tabl. powl., 50 mg
30 tabl.
5909991106898
1
*
-
2
-
3
:
;
B
=
(
2
(
1
*
-
,
2
F
C
L
J
?
E
P
l
T
!
"
!
"
_
_
T
p
T
p
T
p
T
p
T
p
T
p
T
p
T
p
T
p
T
p
T
p
T
p
T
p
T
p
T
p
T
p
T
p
T
p
T
p
T
p
T
p
T
p
T
p
T
p
T
p
T
S
S

I

H
R
M
#
M
_
p
T
p
T
p
G
J
V
H
I
V
J
J
V
J
L
J
V
U
J
V
V
J
V
J
V
W
X
J
V
Y
V
L
G
V
L
L
V
H
I
V
L
L
V
J
L
V
L
L
V
U
V
V
L
L
V
W
X
L
V
Y
V
U
G
U
V
H
U
V
I
U
V
U
V
J
L
V
U
U
V
U
V
U
V
W
U
V
X
U
V
Y
V
V
G
V
V
-
2
-
3
:
>
>
1
4
N
6

A
@
2
-
K
(
1
>
5
)
;
(
>
)
5
)
-
<
5
>
)
;
:
2
5
6
-
8
:
*
-
4
(
-
<
5
*
-
1
>
5
1
*
:
9
8
,
-
<
5
>
4
(
=
;
5
,
.
-
<
5
)
;
*
:
9
-
,
.
(
3
2
-
8
7
+
6
3
5
4
(
3
*
(
2
1
0
(
/
.
-
,
+
(
*
)
(
N
"
#
#
'
&
$
"
%
$
#
"
!
S
]
l
Zawartość opakowania
P
P
#
#
M
"
R
l
M
l
"
R
!
!
R
Q
R
P
#
M
!
!
"
P
#
M
!
"
!
P
#
M
!
!
"
P
#
M
!
"
!
P
#
M
!
!
"
P
#
M
!
"
!
P
#
M
!
!
"
P
#
M
!
"
!
P
#
M
!
!
"
P
#
M
!
"
!
"
_
"
_
"
_
"
_
"
_
"
_
"
_
"
_
"
_
"
_
Q
Asentra, tabl. powl., 100 mg
28 szt.
5909990963317
Asentra, tabl. powl., 50 mg
28 szt.
5909990963218
Asertin 100, tabl. powl., 100 mg
30 szt. (3 blist.po 10 szt.)
5909990422685
Asertin 50, tabl. powl., 50 mg
30 szt. (3 blist.po 10 szt.)
5909990422692
Miravil, tabl. powl., 100 mg
30 szt.
5909990804368
Miravil, tabl. powl., 50 mg
30 szt.
5909990804344
Sertagen, tabl. powl., 100 mg
28 szt.
5909990046621
Sertagen, tabl. powl., 50 mg
28 szt.
5909990046690
Sertralina KRKA, tabl. powl., 100 mg
30 szt.
5909990919987
Sertralina KRKA, tabl. powl., 50 mg
30 szt.
5909990919888
Sertraline Aurobindo 50 mg tabletki powlekane, tabl. powl., 50 mg
30 szt. (3 blist.po 10 szt.)
5909990636136
Sertranorm, tabl. powl., 100 mg
30 szt.
5909990663163
Sertranorm, tabl. powl., 50 mg
30 szt.
5909990663040
Setaloft 100 mg, tabl. powl., 100 mg
30 szt. (3 blist.po 10 szt.)
5909990571963
Setaloft 50 mg, tabl. powl., 50 mg
30 szt. (3 blist.po 10 szt.)
5909990571925
Stimuloton, tabl. powl., 50 mg
30 szt. (3 blist.po 10 szt.)
5909990994816
Zoloft, tabl. powl., 100 mg
28 szt. (2 blist.po 14 szt.)
5909990753215
Zoloft, tabl. powl., 50 mg
28 szt. (2 blist.po 14 szt.)
5909990753116
Zotral, tabl. powl., 100 mg
28 szt. (4 blist.po 7 szt.)
5909990569472
Zotral, tabl. powl., 50 mg
28 szt. (2 blist.po 14 szt.)
5909990013982
Apo-Simva 10, tabl. powl., 10 mg
30 szt. (3 blist.po 10 szt.)
5909990618279
Apo-Simva 20, tabl. powl., 20 mg
30 szt. (3 blist.po 10 szt.)
5909990618286
Apo-Simva 40, tabl. powl., 40 mg
30 szt. (3 blist.po 10 szt.)
5909990618293
Simcovas, tabl. powl., 20 mg
28 szt. (2 blist.po 14 szt.)
5909990649532
Simcovas, tabl. powl., 20 mg
30 szt.
5909991048488
Simcovas, tabl. powl., 40 mg
28 szt. (2 blist.po 14 szt.)
5909990649655
Simcovas, tabl. powl., 40 mg
30 szt.
5909991048495
Simgal, tabl. powl., 10 mg
28 szt. (2 blist.po 14 szt.)
5909990860210
Simgal, tabl. powl., 20 mg
28 szt. (2 blist.po 14 szt.)
5909990860319
Simgal, tabl. powl., 40 mg
28 szt. (2 blist.po 14 szt.)
5909990860418
1
*
-
2
-
3
:
;
B
=
(
2
(
1
*
-
,
2
F
C
L
J
?
E
P
P
P
P
P
P
P
P
P
P
#
#
#
#
#
#
#
#
#
#
M
"
R
l
M
"
R
l
M
"
R
l
M
"
R
l
M
"
R
l
M
"
R
l
M
"
R
l
M
"
R
l
M
"
R
l
M
l
R
"
!
!
!
!
!
!
!
!
!
!
R
Q
R
R
R
R
R
R
R
R
R
Q
Q
Q
Q
Q
Q
Q
Q
Q
S
S
S
S
S
S
S
S
S
S
S
S
M
S
P
P
S
M
M
S
P
P
S
M
M
S
P
P
S
M
M
S
P
P
S
M
M
S
P
P
M
S

I

P
P
P
P
P
P
P
P
#
#
#
#
#
#
#
#
H
M
"
R
l
M
"
R
l
M
"
R
l
M
l
R
M
l
"
R
M
l
"
M
"
l
M
l
"
R
R
R
"
!
!
!
!
!
!
!
!
R
Q
R
Q
R
Q
R
Q
R
Q
R
Q
R
R
Q
Q
S
S
S
S
S
S
S
S
G
V
V
H
I
V
V
V
V
J
L
V
V
U
V
V
V
V
V
V
V
W
X
V
V
Y
V
W
G
V
W
W
V
H
I
V
W
W
V
J
L
V
W
W
V
U
V
V
W
W
V
W
X
W
V
Y
V
X
X
V
G
H
V
X
X
V
I
J
V
X
X
V
L
U
V
X
X
V
V
W
V
X
X
V
X
Y
Y
W
Y
G
W
-
2
-
3
:
>
>
1
4
N
6

A
@
2
-
K
(
1
>
-
<
5
>
)
;
:
2
5
6
-
8
:
*
-
4
(
-
<
5
*
-
1
>
5
1
*
:
9
5
)
;
(
>
)
5
)
8
,
-
<
5
>
4
(
=
;
5
,
.
-
<
5
)
;
*
:
9
-
,
.
(
3
2
-
8
7
+
6
3
5
4
(
3
*
(
2
1
0
(
/
.
-
,
+
(
*
)
(
N
"
#
#
'
&
$
"
%
$
#
"
!
S
]
l
Zawartość opakowania
P
#
P
#
M
!
P
#
!
M
P
#
M
!
P
#
!
M
P
#
M
!
P
#
!
M
P
#
M
!
P
#
!
M
P
#
M
!
P
#
!
M
P
#
M
!
P
#
M
!
P
#
M
!
P
#
!
M
P
#
M
!
"
!
"
P
#
M
!
"
!
"
_
P
#
M
!
"
!
"
_
P
#
M
!
"
!
"
_
P
#
M
!
"
!
"
_
P
#
M
!
"
!
"
_
P
#
M
!
"
!
"
_
P
#
M
!
"
!
"
_
P
#
M
!
"
!
"
_
P
#
M
!
"
!
"
_
P
#
M
!
"
!
"
_
P
#
M
!
"
!
"
_
P
#
M
!
"
!
"
_
P
#
M
!
"
!
_
"
Simorion, tabl. powl., 10 mg
28 szt.
5909990793853
Simorion, tabl. powl., 20 mg
28 szt.
5909990794140
Simorion, tabl. powl., 20 mg
98 szt.
5909990794157
Simorion, tabl. powl., 40 mg
28 szt.
5909990794089
Simratio 10, tabl. powl., 10 mg
28 szt. (2 blist.po 14 szt.)
5909991019723
Simratio 20, tabl. powl., 20 mg
28 szt. (2 blist.po 14 szt.)
5909991019822
Simratio 40, tabl. powl., 40 mg
28 szt. (2 blist.po 14 szt.)
5909991019945
Simvacard 10, tabl. powl., 10 mg
28 szt. (2 blist.po 14 szt.)
5909990940110
Simvacard 20, tabl. powl., 20 mg
28 szt. (2 blist.po 14 szt.)
5909990940219
Simvacard 40, tabl. powl., 40 mg
28 szt. (2 blist.po 14 szt.)
5909990940318
Simvachol, tabl. powl., 10 mg
28 szt. (2 blist.po 14 szt.)
5909990941025
Simvachol, tabl. powl., 20 mg
28 szt. (2 blist.po 14 szt.)
5909990941124
Simvachol, tabl. powl., 40 mg
28 szt. (2 blist.po 14 szt.)
5909990941223
Simvacor, tabl. powl., 10 mg
30 szt. (3 blist.po 10 szt.)
5909990336623
Simvacor, tabl. powl., 20 mg
30 szt. (3 blist.po 10 szt.)
5909990336630
Simvagamma 10, tabl. powl., 10 mg
30 szt. (3 blist.po 10 szt.)
5909991146016
Simvagamma 20, tabl. powl., 20 mg
30 szt. (3 blist.po 10 szt.)
5909991146115
Simvagamma 40, tabl. powl., 40 mg
30 szt. (3 blist.po 10 szt.)
5909991146214
Simvagen 20, tabl. powl., 20 mg
28 szt. (2 blist.po 14 szt.)
5909990743650
Simvagen 40, tabl. powl., 40 mg
28 szt. (2 blist.po 14 szt.)
5909990743667
SimvaHEXAL 10, tabl. powl., 10 mg
30 szt. (3 blist.po 10 szt.)
5909990623273
SimvaHEXAL 20, tabl. powl., 20 mg
30 szt. (3 blist.po 10 szt.)
5909990623297
SimvaHEXAL 40, tabl. powl., 40 mg
30 szt. (3 blist.po 10 szt.)
5909990623334
Simvastatin Bluefish, tabl. powl., 10 mg
28 szt.
5909990723591
Simvastatin Bluefish, tabl. powl., 20 mg
28 szt.
5909990723812
Simvastatin Bluefish, tabl. powl., 20 mg
30 szt.
5909990723829
Simvastatin Bluefish, tabl. powl., 40 mg
28 szt.
5909990724031
Simvastatin Genoptim, tabl. powl., 20 mg
28 szt.
5907553016012
Simvastatin Genoptim, tabl. powl., 40 mg
28 szt.
5907553016029
Simvastatin Krka, tabl. powl., 10 mg
28 szt.
5909990436316
1
*
-
2
-
3
:
;
B
=
(
2
(
1
*
-
,
2
F
C
L
J
?
E
P
#
!
M
M
!
!
"
"
!
!
"
"
!
!
"
"
!
!
"
"
!
!
"
"
!
!
"
"
!
"
!
"
!
"
!
"
_
_
P
S
M
M
S
P
P
S
M
M
S
P
P
S
M
M
S
P
P
S
M
M
S
P
P
S
M
M
S
P
P
S
M
M
S
P
P
S
M
M
S
P
P
M
S

I

H
"
!
"
"
"
"
"
"
"
"
"
"
"
"
"
"
"
_
P
M
S
P
M
S
_
P
M
S
_
P
M
S
_
P
M
S
_
P
M
S
_
P
M
S
_
P
M
S
_
P
M
S
_
P
M
S
_
P
M
S
_
P
M
S
_
P
M
S
_
P
M
S
_
P
M
S
_
G
Y
H
W
Y
I
W
Y
J
W
Y
L
W
Y
U
W
Y
V
W
Y
W
W
Y
X
W
Y
W
G
G
W
G
G
W
H
I
W
G
G
W
J
L
G
W
G
W
U
V
W
G
G
W
W
X
G
W
Y
W
H
G
W
H
H
W
H
I
W
H
H
W
J
L
W
H
H
W
U
V
W
H
H
W
W
X
H
W
Y
W
I
G
I
W
-
2
-
3
:
>
>
1
4
N
6

A
@
2
-
K
(
1
>
5
)
;
(
>
)
5
)
8
,
-
<
5
>
)
;
:
2
5
6
-
8
:
*
-
4
(
-
<
5
*
-
1
>
5
1
*
:
9
<
5
>
4
(
=
;
5
,
.
-
<
5
)
;
*
:
9
-
,
.
(
3
2
-
8
7
+
6
3
5
4
(
3
*
(
2
1
0
(
/
.
-
,
+
(
*
)
(
N
"
#
#
'
&
$
"
%
$
#
"
!
S
]
l
Zawartość opakowania
P
#
P
#
M
!
P
#
M
!
P
#
M
!
P
#
M
!
P
#
M
!
P
#
M
!
P
#
M
!
P
#
M
!
P
#
M
!
P
#
M
!
P
#
M
!
P
#
M
!
P
#
M
!
P
#
M
!
P
#
M
!
P
#
M
!
P
#
M
!
P
#
M
!
P
#
M
!
P
#
M
!
P
#
M
!
P
#
M
!
P
#
M
!
P
P
P
#
P
P
M
!
l
l
l
l
Simvastatin Krka, tabl. powl., 20 mg
28 szt.
5909990436415
Simvastatinum 123ratio, tabl. powl., 20 mg
28 szt.
5909990635597
Simvastatinum 123ratio, tabl. powl., 40 mg
28 szt.
5909990635658
Simvastatinum Accord, tabl. powl., 10 mg
100 szt.
5909990706464
Simvastatinum Accord, tabl. powl., 10 mg
28 szt.
5909990706396
Simvastatinum Accord, tabl. powl., 20 mg
100 szt.
5909990706594
Simvastatinum Accord, tabl. powl., 20 mg
28 szt.
5909990706532
Simvastatinum Accord, tabl. powl., 20 mg
30 szt.
5909990706549
Simvastatinum Accord, tabl. powl., 40 mg
100 szt.
5909990706693
Simvastatinum Accord, tabl. powl., 40 mg
28 szt.
5909990706631
Simvastatinum Accord, tabl. powl., 40 mg
30 szt.
5909990706648
Simvasterol, tabl. powl., 10 mg
28 szt. (2 blist.po 14 szt.)
5909990927616
Simvasterol, tabl. powl., 20 mg
28 szt. (2 blist.po 14 szt.)
5909990927715
Simvasterol, tabl. powl., 40 mg
28 szt. (4 blist.po 7 szt.)
5909990927838
Vasilip, tabl. powl., 10 mg
28 szt.
5909990914012
Vasilip, tabl. powl., 20 mg
28 szt.
5909990914111
Vasilip, tabl. powl., 40 mg
28 szt.
5909990982714
Vastan, tabl. powl., 10 mg
28 szt. (2 blist.po 14 szt.)
5909991073114
Vastan, tabl. powl., 20 mg
28 szt. (2 blist.po 14 szt.)
5909991073213
Ximve, tabl. powl., 10 mg
30 szt. (3 blist.po 10 szt.)
5909990935116
Ximve, tabl. powl., 20 mg
28 szt. (2 blist.po 14 szt.)
5909990055722
Ximve, tabl. powl., 20 mg
30 szt. (3 blist.po 10 szt.)
5909990935215
Ximve, tabl. powl., 40 mg
30 szt. (3 blist.po 10 szt.)
5909990935314
Zocor 10, tabl. powl., 10 mg
28 szt. (2 blist.po 14 szt.)
5909990365913
Zocor 20, tabl. powl., 20 mg
28 szt. (2 blist.po 14 szt.)
5909990366026
Zocor 40, tabl. powl., 40 mg
28 szt. (2 blist.po 14 szt.)
5909990769124
Biosotal 40, tabl., 40 mg
60 szt. (6 blist.po 10 szt.)
5909990365715
Biosotal 80, tabl., 80 mg
30 szt. (3 blist.po 10 szt.)
5909990365616
SotaHEXAL 160, tabl., 160 mg
20 szt. (2 blist.po 10 szt.)
5909990309115
SotaHEXAL 40, tabl., 40 mg
20 szt. (2 blist.po 10 szt.)
5909991014711
1
*
-
2
-
3
:
;
B
=
(
2
(
1
*
-
,
2
F
C
L
J
?
E
P
#
M
!
M
!
"
!
"
!
"
!
"
!
"
!
"
!
"
!
"
!
"
!
"
!
"
!
"
!
"
!
"
!
"
!
"
!
"
!
"
!
"
!
"
!
"
!
"
!
"
!
"
!
"
!
T
l
"
T
l
"
l
"
T
T
l
"
!
!
T
T
S
S

I

H
"
!
"
"
"
"
"
"
"
"
"
"
"
"
"
"
"
"
"
"
"
"
"
"
"
"
"
!
"
!
T
T
P
M
S
S
S
_
P
M
S
_
P
M
S
_
P
M
S
_
P
M
S
_
P
M
S
_
P
M
S
_
P
M
S
_
P
M
S
_
P
M
S
_
P
M
S
_
P
M
S
_
P
M
S
_
P
M
S
_
P
M
S
_
P
M
S
_
P
M
S
_
P
M
S
_
P
M
S
_
P
M
S
_
P
M
S
_
P
M
S
_
P
M
S
_
P
M
S
_
P
M
S
_
P
M
S
_
G
I
W
H
I
W
I
I
W
J
L
W
I
I
W
U
V
W
I
I
W
W
X
I
W
Y
W
J
G
W
J
J
W
H
I
W
J
J
W
J
L
W
J
J
W
U
V
W
J
J
W
W
X
J
W
Y
W
L
G
W
L
L
W
H
I
W
L
L
W
J
L
W
L
L
W
U
V
L
W
W
L
W
X
L
W
Y
W
U
G
U
W
-
2
-
3
:
>
>
1
4
N
6

A
@
2
-
K
(
1
>
5
)
;
(
>
)
5
)
8
,
-
<
5
>
)
;
:
2
5
6
-
8
:
*
-
4
(
-
<
5
*
-
1
>
5
1
*
:
9
-
<
5
>
4
(
=
;
5
,
.
-
<
5
)
;
*
:
9
-
,
.
(
3
2
-
8
7
+
6
3
5
4
(
3
*
(
2
1
0
(
/
.
-
,
+
(
*
)
(
N
"
#
#
'
&
$
"
%
$
#
"
!
S
]
l
Zawartość opakowania
P
P
P
P
P
P
P
P
P
P
P
P
P
#
#
#
#
#
#
#
#
#
#
!
"
"
!
!
"
"
!
!
"
"
!
!
"
"
"
!
"
!
!
"
R
R
"
"
R
R
"
"
R
R
"
"
R
R
R
"
R
"
"
M
M
M
M
M
M
M
M
M
M
P
P
P
P
P
P
P
P
P
P
P
P
#
#
!
"
"
!
"
R
R
"
M
M
P
P
SotaHEXAL 80, tabl., 80 mg
20 szt. (2 blist.po 10 szt.)
5909990309016
Finospir, tabl., 100 mg
30 szt.
5909990965977
Finospir, tabl., 25 mg
100 szt.
5909990965861
Finospir, tabl., 25 mg
30 szt.
5909990965854
Finospir, tabl., 50 mg
100 szt.
5909990965885
Finospir, tabl., 50 mg
30 szt.
5909990965878
Spironol 100, tabl. powl., 100 mg
20 szt.
5909990673124
Spironol, tabl. powl., 50 mg
30 szt.
5909991244651
Spironol, tabl. powl., 50 mg
60 szt.
5909991244668
Spironol, tabl., 25 mg
100 szt.
5909990110223
Spironol, tabl., 25 mg
20 szt.
5909990110216
Verospiron, kaps. twarde, 100 mg
30 szt.
5909990488513
Verospiron, kaps. twarde, 50 mg
30 szt.
5909990488414
Verospiron, tabl., 25 mg
20 szt.
5909990117215
Taflotan, krople do oczu, roztwór, 15 µg/ml
30 szt. (3 sasz.po 10 poj.)
5909990675944
Actelsar, tabl., 40 mg
28 szt.
5909990891832
Actelsar, tabl., 80 mg
28 szt.
5909990891863
Micardis, tabl., 40 mg
28 szt.
5909990440726
Micardis, tabl., 80 mg
14 szt.
5909990440818
Micardis, tabl., 80 mg
28 szt.
5909990440825
Polsart, tabl., 40 mg
28 szt.
5909990936670
Polsart, tabl., 80 mg
28 szt.
5909990936700
Pritor, tabl., 40 mg
28 szt.
5909990463428
Pritor, tabl., 80 mg
28 szt.
5909990463527
Telmabax, tabl., 40 mg
28 szt.
5909991060220
Telmabax, tabl., 80 mg
28 szt.
5909991060268
Telmisartan Apotex, tabl., 40 mg
28 szt.
5909990992058
Telmisartan Apotex, tabl., 80 mg
28 szt.
5909990992065
Telmisartan EGIS, tabl. powl., 40 mg
28 szt.
5909991036768
Telmisartan EGIS, tabl. powl., 80 mg
28 szt.
5909991036867
1
*
-
2
-
3
:
;
B
=
(
2
(
1
*
-
,
2
F
C
L
J
?
E
P
P
P
P
P
P
#
P
#
#
#
#
#
T
T
T
T
T
T
!
#
#
#
"
!
!
"
"
!
!
$
!
!
!
!
!
$
$
$
$
$
"
l
l
"
"
l
l
"
"
l
l
"
T
R
"
R
R
"
"
R
T
#
T
T
T
T
T
M
M
M
l
#
#
#
#
#
T
T
T
T
T
T
i
P
P
P
M
S
R
R
M
S
M
S
R
R
M
S
M
S
R
R
M
S
d
"
l
d
Q
Q
d
l
l
d
Q
Q
d
l
l
d
Q
Q
d
l
l
d
Q
Q
d
l
l
d
Q
Q
d
l
l
Q
d
l
Q
d
l
Q
d
Q
d
l
l
Q
d

I

P
P
P
P
P
P
P
#
#
#
#
#
#
#
P
T
T
T
T
T
T
T
!
!
!
!
$
!
!
!
$
$
$
$
$
$
l
H
T
l
"
l
"
"
l
l
"
l
"
"
"
l
l
l
"
!
T
T
T
T
#
T
T
T
#
#
#
#
#
#
T
T
T
T
T
T
T
T
M
R
R
M
S
M
S
R
M
S
R
M
M
R
R
M
S
S
S
R
S
S
G
U
W
H
I
W
U
U
W
J
L
U
W
U
U
W
V
U
W
U
W
W
X
U
W
Y
W
V
G
W
V
V
W
H
I
W
V
V
W
J
L
W
V
V
W
U
V
W
V
V
W
W
X
V
W
Y
W
W
G
W
W
W
W
H
I
W
W
W
W
J
L
W
W
W
W
U
V
W
W
W
W
W
X
W
W
Y
W
X
G
X
W
-
2
-
3
:
>
>
1
4
N
6

A
@
2
-
K
(
1
>
5
)
;
(
>
)
5
)
8
,
-
<
5
>
)
;
:
2
5
6
-
8
:
*
-
4
(
-
<
5
*
-
1
>
5
1
*
:
9
-
<
5
>
4
(
=
;
5
,
.
-
<
5
)
;
*
:
9
-
,
.
(
3
2
-
8
7
+
6
3
5
4
(
3
*
(
2
1
0
(
/
.
-
,
+
(
*
)
(
N
"
#
#
'
&
$
"
%
$
#
"
!
S
]
l
Zawartość opakowania
P
#
"
!
R
"
M
P
P
#
"
!
R
"
M
P
P
#
"
!
R
"
M
P
P
#
"
!
R
"
M
P
P
#
"
!
R
"
M
P
P
#
"
!
R
"
M
P
P
#
"
!
R
"
M
P
P
#
"
!
R
"
M
P
P
#
"
!
R
"
M
P
P
P
P
P
P
P
#
#
#
#
#
#
"
!
"
"
!
"
"
"
!
!
!
!
"
R
R
R
"
R
R
R
"
"
"
"
M
M
M
M
M
M
P
P
P
P
P
P
P
O
M
&
"
\
M
P
O
M
&
"
M
P
O
M
&
"
M
P
O
M
&
"
M
P
O
M
&
"
M
!
T
R
T
l
\
!
T
R
T
l
\
!
T
R
T
l
\
!
T
R
T
l
\
!
T
R
T
l
$
$
$
$
$
T
R
\
T
R
\
T
R
\
T
R
\
T
R
O
O
O
O
O
'
[
'
[
'
[
'
[
'
[
\
Z
Z
P
#
"
!
R
"
Z
P
#
"
!
R
"
Z
P
#
"
!
R
"
Z
P
#
"
!
R
"
Z
P
#
"
!
R
"
M
l
Q
d
P
P
l
Q
d
M
M
l
Q
d
P
P
l
Q
d
M
M
P
l
Q
d
Telmisartan EGIS, tabl. powl., 80 mg
28 szt.
5909991229801
Telmisartan Mylan, tabl., 80 mg
28 tabl.
5909991018436
Telmisartan Sandoz, tabl., 40 mg
28 tabl.
5909990840472
Telmisartan Sandoz, tabl., 80 mg
28 tabl.
5909990840557
Telmisartanum 123ratio, tabl., 40 mg
28 szt.
5909990821839
Telmisartanum 123ratio, tabl., 80 mg
28 szt.
5909990821792
Telmix, tabl., 40 mg
28 szt.
5909990974863
Telmix, tabl., 40 mg
56 tabl.
5909990974887
Telmix, tabl., 80 mg
28 szt.
5909990974979
Telmix, tabl., 80 mg
56 tabl.
5909990974993
Telmizek, tabl., 40 mg
28 szt.
5909990902002
Telmizek, tabl., 80 mg
28 szt.
5909990902095
Tezeo, tabl., 40 mg
28 tabl.
5909990818082
Tezeo, tabl., 40 mg
56 szt.
5909991086626
Tezeo, tabl., 80 mg
28 tabl.
5909990818150
Tezeo, tabl., 80 mg
56 szt.
5909991086633
Tolura 40 mg tabletki, tabl. powl., 40 mg
28 tabl.
5909997077604
Tolura 80 mg tabletki, tabl. powl., 80 mg
28 tabl.
5909997077673
Tolura, tabl., 40 mg
56 tabl.
5909997077628
Tolura, tabl., 40 mg
84 szt.
5909997077635
Tolura, tabl., 80 mg
56 tabl.
5909997077697
Tolura, tabl., 80 mg
84 szt.
5909997077703
Zanacodar, tabl., 40 mg
28 szt.
5909990941841
Zanacodar, tabl., 80 mg
28 szt.
5909990941926
Actelsar HCT, tabl., 80+12,5 mg
28 szt.
5909991056247
Actelsar HCT, tabl., 80+25 mg
28 szt.
5909991056773
Gisartan, tabl., 40+12,5 mg
28 szt.
5909991079802
Gisartan, tabl., 80+12,5 mg
28 szt.
5909991080051
Gisartan, tabl., 80+25 mg
28 szt.
5909991080174
MicardisPlus, tabl., 80+12,5 mg
28 szt.
5909991020026
1
*
-
2
-
3
:
;
B
=
(
2
(
1
*
-
,
2
F
C
L
J
?
E
P
#
"
!
R
"
M
P
Q
d
l
l
Q
d
Q
d
l
l
Q
d
Q
d
l
l
Q
d
Q
d
l
l
Q
d
Q
d
l
l
Q
d
Q
d
l
l
Q
d
l
Q
d
l
Q
d
Q
d
l
l
Q
d
P
#
"
!
R
"
M
P
l
Q
d
G
X
U
V
X
G
G
X
W
X
G
X
Y
X
H
G
H
X

I

P
P
P
P
P
P
P
P
#
#
#
#
#
#
#
#
"
"
"
"
"
"
"
"
!
!
!
!
!
!
!
!
H
"
R
R
"
"
R
R
"
"
R
R
"
"
R
R
"
M
M
M
M
M
M
M
M
P
P
P
P
P
P
P
P
l
Q
Q
d
l
l
Q
d
Q
d
l
l
Q
d
Q
d
l
l
Q
d
Q
d
l
d
G
H
W
X
X
W
I
J
W
X
X
W
L
U
W
X
X
W
V
W
W
X
X
W
X
Y
Y
X
Y
G
X
Y
H
X
Y
I
X
Y
J
X
Y
L
X
Y
U
X
Y
V
X
Y
W
X
Y
X
X
Y
X
G
G
G
X
H
G
X
I
G
G
J
L
G
X
X
X
Hydrochlorothiazidum
-
2
-
3
:
>
>
1
4
N
6

A
@
2
-
K
(
1
>
5
)
;
(
>
)
5
)
8
,
-
<
5
>
)
;
:
2
5
6
-
8
:
*
-
4
(
-
<
5
*
-
1
>
5
1
*
:
9
<
5
>
4
(
=
;
5
,
.
-
<
5
)
;
*
:
9
-
,
.
(
3
2
-
8
7
+
6
3
5
4
(
3
*
(
2
1
0
(
/
.
-
,
+
(
*
)
(
N
"
#
#
'
&
$
"
%
$
#
"
!
S
]
l
Zawartość opakowania
P
P
M
&
"
O
P
O
M
&
"
P
M
&
"
O
P
O
M
&
"
P
M
&
"
O
P
O
M
&
"
P
M
&
"
O
P
O
M
&
"
P
M
&
"
O
P
O
M
&
"
P
M
&
"
O
P
O
M
&
"
P
M
&
"
O
P
O
M
&
"
P
M
&
"
O
P
O
M
&
"
P
M
&
"
O
P
O
M
&
"
P
M
&
"
O
P
O
M
&
"
P
M
&
"
O
P
O
M
&
"
P
M
&
"
O
P
O
M
&
"
P
O
M
&
"
Hydrochlorothiazidum
MicardisPlus, tabl., 80+25 mg
14 szt.
5909990653010
MicardisPlus, tabl., 80+25 mg
28 szt.
5909990653027
Polsart Plus, tabl., 40+12,5 mg
28 tabl.
5909991079451
Polsart Plus, tabl., 80+12,5 mg
28 tabl.
5909991079598
Polsart Plus, tabl., 80+25 mg
28 tabl.
5909991079703
PritorPlus, tabl., 40+12,5 mg
28 szt.
5909991068325
PritorPlus, tabl., 80+12,5 mg
28 szt.
5909991068424
PritorPlus, tabl., 80+25 mg
28 szt.
5909990644834
Telmisartan/Hydrochlorothiazide Billev, tabl., 40+12,5 mg
30 szt.
5909991085209
Telmisartan/Hydrochlorothiazide Billev, tabl., 40+12,5 mg
60 szt.
5909991085247
Telmisartan/Hydrochlorothiazide Billev, tabl., 80+12,5 mg
30 szt.
5909991085339
Telmisartan/Hydrochlorothiazide Billev, tabl., 80+12,5 mg
60 szt.
5909991085353
Telmisartan/Hydrochlorothiazide Billev, tabl., 80+25 mg
30 szt.
5909991085469
Telmisartan/Hydrochlorothiazide Billev, tabl., 80+25 mg
60 szt.
5909991085483
Telmisartan/hydrochlorothiazide EGIS, tabl., 40+12,5 mg
28 tabl.
5909991073732
Telmisartan/hydrochlorothiazide EGIS, tabl., 80+12,5 mg
28 szt.
5909991073848
Telmisartan/hydrochlorothiazide EGIS, tabl., 80+25 mg
28 szt.
5909991073909
Telmizek HCT, tabl., 40+12,5 mg
28 szt.
5909991082338
Telmizek HCT, tabl., 80+12,5 mg
28 szt.
5909991082529
Telmizek HCT, tabl., 80+25 mg
28 szt.
5909991082598
Tezeo HCT, tabl., 40+12,5 mg
28 szt.
5909991095994
Tezeo HCT, tabl., 40+12,5 mg
56 szt.
5909991096007
Tezeo HCT, tabl., 80+12,5 mg
28 szt.
5909991096038
Tezeo HCT, tabl., 80+12,5 mg
56 szt.
5909991096045
Tezeo HCT, tabl., 80+25 mg
28 szt.
5909991096069
Tezeo HCT, tabl., 80+25 mg
56 szt.
5909991096076
Tolucombi, tabl., 40+12,5 mg
28 szt.
5909991045180
Tolucombi, tabl., 40+12,5 mg
56 szt.
5909991045203
Tolucombi, tabl., 40+12,5 mg
84 szt.
5909991045265
Tolucombi, tabl., 80+12,5 mg
28 szt.
5909991045692
1
*
-
2
-
3
:
;
B
=
(
2
(
1
*
-
,
2
F
C
L
J
?
E
P
O
M
&
"
O
M
&
"
\
M
M
M
M
M
M
M
M
M
M
M
M
M
M
M
M
M
M
M
M
M
M
M
M
M
M
!
T
R
T
l
\
!
T
R
T
l
\
!
T
R
T
l
\
!
T
R
T
l
\
!
T
R
T
l
\
!
T
R
T
l
\
!
T
R
T
l
\
!
T
R
T
l
\
!
T
R
T
l
\
!
T
R
T
l
\
!
T
R
T
l
\
!
T
R
T
l
\
!
T
R
T
l
\
!
T
R
T
l
\
!
T
R
T
l
\
!
T
R
T
l
\
!
T
R
T
l
\
!
T
R
T
l
\
!
T
R
T
l
\
!
T
R
T
l
\
!
T
R
T
l
\
!
T
R
T
l
\
!
T
R
T
l
\
!
T
R
T
l
\
!
T
R
T
l
\
!
T
R
T
l
\
$
$
$
$
$
$
$
$
$
$
$
$
$
$
$
$
$
$
$
$
$
$
$
$
$
$
T
R
O
\
T
R
O
'
\
T
R
O
'
\
T
R
O
'
\
T
R
O
'
\
T
R
O
'
\
T
R
O
'
\
T
R
O
'
\
T
R
O
'
\
T
R
O
'
\
T
R
O
'
\
T
R
O
'
\
T
R
O
'
\
T
R
O
'
\
T
R
O
'
\
T
R
O
'
\
T
R
O
'
\
T
R
O
'
\
T
R
O
'
\
T
R
O
'
\
T
R
O
'
\
T
R
O
'
\
T
R
O
'
\
T
R
O
'
\
T
R
O
'
\
T
R
O
'
[
[
[
[
[
[
[
[
[
[
[
[
[
[
[
[
[
[
[
[
[
[
[
[
[
[
'

I

P
O
M
&
"
\
M
M
!
T
R
T
l
\
!
T
R
T
l
$
$
T
R
\
T
R
\
H
O
'
Z
P
#
"
!
R
"
M
P
l
Q
d
Z
P
#
"
!
R
"
M
P
l
Q
d
Z
P
#
"
!
R
"
M
P
l
Q
d
Z
P
#
"
!
R
"
M
P
l
Q
d
Z
P
#
"
!
R
"
M
P
l
Q
d
Z
P
#
"
!
R
"
M
P
l
Q
d
Z
P
#
"
!
R
"
M
P
l
Q
d
Z
P
#
"
!
R
"
M
P
l
Q
d
Z
P
#
"
!
R
"
M
P
l
Q
d
Z
P
#
"
!
R
"
M
P
l
Q
d
Z
P
#
"
!
R
"
M
P
l
Q
d
Z
P
#
"
!
R
"
M
P
l
Q
d
Z
P
#
"
!
R
"
M
P
l
Q
d
Z
P
#
"
!
R
"
M
P
l
Q
d
Z
P
#
"
!
R
"
M
P
l
Q
d
Z
P
#
"
!
R
"
M
P
l
Q
d
Z
P
#
"
!
R
"
M
P
l
Q
d
Z
P
#
"
!
R
"
M
P
l
Q
d
Z
P
#
"
!
R
"
M
P
l
Q
d
Z
P
#
"
!
R
"
M
P
l
Q
d
Z
P
#
"
!
R
"
M
P
l
Q
d
Z
P
#
"
!
R
"
M
P
l
Q
d
Z
P
#
"
!
R
"
M
P
l
Q
d
Z
P
#
"
!
R
"
M
P
l
Q
d
Z
P
#
"
!
R
"
M
P
l
Q
d
Z
P
#
"
!
R
"
M
P
l
Q
d
Z
P
#
"
!
R
"
M
P
l
Q
d
Z
P
#
"
!
R
"
M
P
l
Q
d
H
X
J
L
X
H
H
X
U
V
X
H
H
X
W
X
H
X
Y
X
I
G
X
I
I
X
H
I
X
I
I
X
J
L
X
I
I
X
U
V
X
I
I
X
W
X
I
X
Y
X
J
G
X
J
J
X
H
I
X
J
J
X
J
L
X
J
J
X
U
V
X
J
J
X
W
X
J
X
Y
X
L
G
L
X
O
'
[
[
P
#
"
!
R
"
M
P
l
Q
d
I
H
X
Z
P
#
"
!
R
"
M
P
l
Q
d
H
H
X
Z
G
Hydrochlorothiazidum
-
2
-
3
:
>
>
1
4
N
6

A
@
2
-
K
(
1
>
5
)
;
(
-
<
5
>
)
;
:
2
5
6
-
8
:
*
-
4
(
-
<
5
*
-
1
>
5
1
*
:
9
>
)
5
)
8
,
-
<
5
>
4
(
=
;
5
,
.
-
<
5
)
;
*
:
9
-
,
.
(
3
2
-
8
7
+
6
3
5
4
(
3
*
(
2
1
0
(
/
.
-
,
+
(
*
)
(
N
"
#
#
'
&
$
"
%
$
#
"
!
S
]
l
Zawartość opakowania
L
5909991045746
Tolucombi, tabl., 80+25 mg
28 szt.
5909991045807
Tolucombi, tabl., 80+25 mg
56 szt.
5909991045852
Tolucombi, tabl., 80+25 mg
84 szt.
5909991045876
Zanacodar Combi, tabl., 40+12,5 mg
28 szt.
5909991226381
Zanacodar Combi, tabl., 80+12,5 mg
28 szt.
5909991226398
Zanacodar Combi, tabl., 80+25 mg
28 szt.
5909991226404
Hytrin, tabl., 10 mg
28 szt. (2 blist.po 14 szt.)
5909990768011
Hytrin, tabl., 2 mg
28 szt. (2 blist.po 14 szt.)
5909990767816
Hytrin, tabl., 5 mg
28 szt. (2 blist.po 14 szt.)
5909990767915
Kornam, tabl., 2 mg
30 szt. (3 blist.po 10 szt.)
5909990484119
Kornam, tabl., 5 mg
30 szt. (3 blist.po 10 szt.)
5909990484317
Aclotin, tabl. powl., 0,25 g
20 szt. (1 blist.po 20 szt.)
5909990667116
Aclotin, tabl. powl., 0,25 g
60 szt. (3 blist.po 20 szt.)
5909990334971
Apo-Clodin, tabl. powl., 250 mg
30 szt. (1 but.po 30 szt.)
5909990938315
Apo-Clodin, tabl. powl., 250 mg
60 szt. (1 but.po 60 szt.)
5909990646616
Iclopid, tabl. powl., 250 mg
20 szt.
5909991029333
Y
V
X
X
X
X
Y
u
x
;
:
dawek odmierzonych) + 1 inhalator
Respimat
w
)
;
1
>
)
v
u
t
s
Spiriva Respimat, roztwór do inhalacji, 2,5 µg/dawkę odmierzoną
;
5909990073719
5
5 ml
4
5909990073610
Oftensin, krople do oczu, roztwór, 5 mg/ml
3
5909990187713
5 ml
5
1 but.po 5 ml
Oftensin, krople do oczu, roztwór, 2,5 mg/ml
*
Cusimolol 0,5%, krople do oczu, roztwór, 5 mg/ml
(
5909990694846
2
60 szt. (6 blist.po 10 szt.)
-
5909990694853
Ifapidin, tabl. powl., 250 mg
,
5909990044986
3
60 szt.
20 szt. (2 blist.po 10 szt.)
*
Iclopid, tabl. powl., 250 mg
Ifapidin, tabl. powl., 250 mg
35839
Spiriva, proszek do inhalacji w kaps. twardych, 18 µg/dawkę inhalacyjną
30 szt. (3 blist.po 10 szt. + HandiHaler)
5909990985128
Spiriva, proszek do inhalacji w kaps. twardych, 18 µg/dawkę inhalacyjną
30 szt. (3 blist.po 10 szt.)
5909990985111
Trittico CR, tabl. o przedłużonym uwalnianiu, 150 mg
20 szt. (2 blist.po 10 szt.)
5909990918720
Trittico CR, tabl. o przedłużonym uwalnianiu, 150 mg
60 szt. (6 blist.po 10 szt.)
5909990715497
Trittico CR, tabl. o przedłużonym uwalnianiu, 75 mg
30 szt. (2 blist.po 15 szt.)
5909990918621
1
*
-
2
-
3
:
;
B
=
(
2
(
1
*
-
,
2
F
C
E
J
?
5909991045722
84 szt.
r
P
P
P
P
P
56 szt.
Tolucombi, tabl., 80+12,5 mg
q
P
O
M
&
"
M
&
"
O
O
M
&
"
M
&
"
O
O
M
&
"
O
M
&
"
Tolucombi, tabl., 80+12,5 mg
L
P
P
P
O
O
O
M
M
M
P
P
P
#
#
O
T
T
T
O
T
&
&
"
"

I

P
O
M
&
"
\
M
M
M
M
M
!
T
R
\
!
T
R
\
!
T
R
\
!
T
R
\
M
\
M
\
!
!
!
T
R
T
T
T
T
T
P
P
#
P
P
P
P
P
P
#
M
M
l
l
l
T
T
T
#
M
O
O
M
l
T
T
T
l
T
l
T
T
R
M
R
M
R
M
O
T
M
M
M
&
T
T
T
l
$
P
P
P
l
"
M
M
M
$
M
M
d
d
d
R
T
T
R
R
T
R
R
R
d
d
T
R
T
l
l
l
l
l
l
P
P
P
P
P
P
P
P
P
P
P
#
#
#
#
#
#
#
M
#
#
#
#
M
M
M
M
M
M
M
M
M
M
T
O
M
O
M
M
O
O
M
O
M
O
M
T
T
T
T
&
"
&
&
&
&
T
T
T
T
T
T
"
"
"
"
R
l
$
l
l
l
l
$
l
$
$
$
$
R
R
R
R
Q
M
M
M
M
M
M
Q
Q
Q
Q
d
d
d
d
d
d
d
d
d
d
d
d
d
!
!
!
d
T
M
M
T
T
M
d
d
d
T
R
T
l
$
$
$
$
$
$
$
T
R
\
T
R
\
T
R
\
T
R
\
T
R
\
T
R
\
T
R
\
H
O
'
O
'
O
'
O
'
O
'
O
'
Z
P
#
"
!
R
"
M
P
l
Q
d
X
L
U
G
X
U
U
X
H
I
X
U
U
X
J
L
U
X
U
U
X
U
X
V
W
U
X
U
X
V
G
H
X
V
V
X
I
J
X
V
V
X
L
U
X
V
V
X
V
W
V
X
X
X
W
G
W
X
X
Y
V
X
Y
V
X
X
X
Y
X
O
'
[
[
[
[
[
[
[
P
#
"
!
R
"
M
P
l
Q
d
W
L
X
Z
P
#
"
!
R
"
M
P
l
Q
d
V
L
X
Z
P
#
"
!
R
"
M
P
l
Q
d
U
L
X
Z
P
#
"
!
R
"
M
P
l
Q
d
L
L
X
Z
P
#
"
!
R
"
M
P
l
Q
d
J
L
X
Z
P
#
"
!
R
"
M
P
l
Q
d
I
L
X
Z
P
#
"
!
R
"
M
P
l
Q
d
H
L
X
Z
G
Hydrochlorothiazidum
-
2
-
3
:
>
>
1
4
N
6

A
@
2
-
-
<
5
>
)
;
:
2
5
6
-
8
:
*
-
4
(
-
<
5
*
-
1
>
5
1
*
:
9
K
(
1
>
5
)
;
(
>
)
5
)
8
,
-
<
5
>
4
(
=
;
5
,
.
-
<
5
)
;
*
:
9
-
,
.
(
3
2
-
8
7
+
6
3
5
4
(
3
*
(
2
1
0
(
/
.
-
,
+
(
*
)
(
"
#
#
'
&
$
"
%
$
#
"
!
S
l
]
N
Zawartość opakowania
P
P
#
P
#
"
!
R
"
l
"
P
#
"
!
R
"
"
l
P
#
"
!
R
"
l
"
P
#
"
!
R
"
"
l
P
#
"
!
R
"
l
"
P
#
"
!
R
"
"
l
P
#
"
!
R
"
l
"
P
#
"
!
R
"
l
"
P
#
"
!
R
"
l
"
P
#
"
!
R
"
"
l
P
#
"
!
R
"
l
"
P
#
"
!
R
"
"
l
P
#
"
!
R
"
l
"
P
#
"
!
R
"
"
l
P
#
"
!
R
"
l
"
P
#
"
!
R
"
"
l
P
#
"
!
R
"
l
"
P
#
"
!
R
"
l
"
P
#
"
!
R
"
l
"
P
#
"
!
R
"
l
"
P
#
"
!
R
"
l
"
P
#
"
!
R
"
l
"
y
y
P
#
"
!
R
"
"
l
P
#
"
!
R
"
l
"
y
P
#
"
!
R
"
l
"
y
P
#
"
!
R
"
l
"
y
y
P
#
"
!
R
"
l
"
Apo-Valsart, tabl. powl., 160 mg
28 tabl.
5909990870905
Apo-Valsart, tabl. powl., 80 mg
28 tabl.
5909990870561
Avasart, tabl. powl., 160 mg
28 szt.. (4 blist.po 7 szt.)
5909990773763
Avasart, tabl. powl., 80 mg
28 szt.. (4 blist.po 7 szt.)
5909990773695
Axudan, tabl. powl., 160 mg
28 szt.
5909990831067
Axudan, tabl. powl., 160 mg
28 szt.
5909991225971
Axudan, tabl. powl., 160 mg
28 szt.
5909991230395
Axudan, tabl. powl., 160 mg
56 szt.
5909990831081
Axudan, tabl. powl., 320 mg
28 szt.
5909990831159
Axudan, tabl. powl., 80 mg
28 szt.
5909990830961
Axudan, tabl. powl., 80 mg
28 szt.
5909991225988
Axudan, tabl. powl., 80 mg
56 szt.
5909990830985
Bespres, tabl. powl., 160 mg
28 szt. (2 blist.po 14 szt.)
5909990751877
Bespres, tabl. powl., 80 mg
28 szt. (2 blist.po 14 szt.)
5909990751594
Diovan, tabl. powl., 160 mg
14 szt. (1 blist.po 14 szt.)
5909990929238
Diovan, tabl. powl., 160 mg
28 szt. (2 blist.po 14 szt.)
5909990929214
Diovan, tabl. powl., 80 mg
28 szt. (2 blist.po 14 szt.)
5909990929115
Ivisart, tabl., 160 mg
28 szt. (4 blist.po 7 szt.)
5909990686254
Nortivan, tabl. powl., 160 mg
28 szt.
5909990726844
Nortivan, tabl. powl., 80 mg
28 szt.
5909990726776
Tensart, tabl. powl., 160 mg
28 szt. (4 blist.po 7 szt.)
5909990682065
Tensart, tabl. powl., 80 mg
28 szt. (4 blist.po 7 szt.)
5909990681877
Valsacor 160 mg tabletki powlekane, tabl. powl., 160 mg
28 szt. (4 blist.po 7 szt.)
5909990074969
Valsacor 160, tabl. powl., 160 mg
60 szt.
5909990818983
Valsacor 160, tabl. powl., 160 mg
90 tabl.
5909990818990
Valsacor 320 mg tabletki powlekane, tabl. powl., 320 mg
28 szt.
5909990779147
Valsacor 320 mg tabletki powlekane, tabl. powl., 320 mg
28 szt.
5909991216306
Valsacor 320 mg tabletki powlekane, tabl. powl., 320 mg
28 szt.
5909991261801
Valsacor 80 mg tabletki powlekane, tabl. powl., 80 mg
28 szt. (4 blist.po 7 szt.)
5909990074945
Valsacor 80, tabl. powl., 80 mg
60 szt.
5909990818853
1
*
-
2
-
3
:
;
B
=
(
2
(
1
*
-
,
2
F
C
L
J
?
E
P
#
#
!
R
"
"
"
!
R
"
l
"
y
y
y
y
y
y
y
y
y
y
y
y
y
y
y
y
y
y
y
y
y
L
G

I

H
"
!
R
"
l
l
y
"
y
"
y
G
H
X
W
I
X
W
J
X
W
L
X
W
U
X
W
V
X
W
W
X
W
X
W
X
Y
X
X
G
X
X
H
X
X
I
X
X
J
X
X
L
X
X
U
X
X
V
X
X
W
X
X
X
X
X
Y
Y
Y
G
Y
Y
G
G
Y
Y
H
G
Y
Y
I
G
Y
Y
J
G
Y
Y
Y
Y
U
G
Y
Y
V
G
Y
Y
W
G
Y
Y
X
G
Y
Y
G
G
Y
G
G
G
-
2
-
3
:
>
>
1
4
N
6

A
@
2
-
K
(
1
>
5
)
;
(
-
<
5
>
)
;
:
2
5
6
-
8
:
*
-
4
(
-
<
5
*
-
1
>
5
1
*
:
9
>
)
5
)
8
,
-
<
5
>
4
(
=
;
5
,
.
-
<
5
)
;
*
:
9
-
,
.
(
3
2
-
8
7
+
6
3
5
4
(
3
*
(
2
1
0
(
/
.
-
,
+
(
*
)
(
N
"
#
#
'
&
$
"
%
$
#
"
!
S
]
l
Zawartość opakowania
P
P
#
P
#
"
!
R
"
l
"
P
#
"
!
R
"
l
"
P
#
"
!
R
"
l
"
P
#
"
!
R
"
l
"
P
#
"
!
R
"
l
"
P
#
"
!
R
"
l
"
P
#
"
!
R
"
l
"
P
#
"
!
R
"
l
"
P
#
"
!
R
"
l
"
P
#
"
!
R
"
l
"
P
#
"
!
R
"
l
"
P
#
"
!
R
"
l
"
P
#
"
!
R
"
l
"
P
#
"
!
R
"
l
"
P
#
"
!
R
"
l
"
P
#
"
!
R
"
l
"
\
\
[
P
O
M
&
M
"
P
O
M
&
"
M
P
O
M
&
M
"
P
O
M
&
"
M
!
T
R
T
l
\
!
T
R
T
l
\
!
T
R
T
l
\
!
T
R
T
l
$
$
$
$
T
\
T
\
T
\
T
O
'
R
R
O
O
'
R
R
O
'
[
P
Z
P
[
'
[
P
Z
#
"
!
R
"
Z
P
#
"
!
R
"
"
!
R
"
#
#
"
!
R
"
\
\
[
Z
P
O
M
&
"
M
!
T
R
T
l
$
T
R
O
'
P
"
!
R
"
#
\
\
[
Z
P
O
M
&
"
M
!
T
R
T
l
$
T
R
O
'
P
#
"
!
R
"
\
\
[
Z
P
O
M
&
M
"
P
O
M
&
"
M
!
T
R
T
l
\
!
T
R
T
l
$
$
T
R
\
T
R
O
'
P
O
M
&
"
M
\
\
!
T
R
T
l
$
\
T
R
O
[
'
[
\
Z
Z
P
P
Z
O
'
[
P
Z
P
"
!
R
"
#
#
"
!
R
"
"
!
R
"
#
#
"
!
R
"
P
O
M
&
"
M
!
T
R
T
l
$
T
R
O
'
P
#
"
!
R
"
Valsacor 80, tabl. powl., 80 mg
90 tabl.
5909990818860
Valsargen, kaps. twarde, 160 mg
28 szt.
5909990857081
Valsargen, kaps. twarde, 80 mg
28 szt.
5909990856954
Valsartan 123ratio, kaps. twarde, 160 mg
28 szt.
5909990810697
Valsartan 123ratio, kaps. twarde, 80 mg
28 szt.
5909990810635
Valsartan Aurobindo, tabl. powl., 160 mg
28 szt.
5909990986057
Valsartan Ranbaxy, tabl. powl., 160 mg
28 tabl.
5909990959976
Valsartan Ranbaxy, tabl. powl., 80 mg
28 tabl.
5909990959952
Valsotens, tabl. powl., 160 mg
28 szt.
5909990693276
Valtap, tabl. powl., 160 mg
28 szt.
5909990804580
Valtap, tabl. powl., 160 mg
56 szt.
5909991088118
Valtap, tabl. powl., 80 mg
28 szt.
5909990804542
Valtap, tabl. powl., 80 mg
56 szt.
5909991088101
Valzek, tabl., 160 mg
28 tabl.
5909991202330
5909991202286
Valzek, tabl., 80 mg
28 tabl.
Vanatex, tabl. powl., 160 mg
28 szt.
5909990827480
Vanatex, tabl. powl., 80 mg
28 szt.
5909990827459
Walsartan KRKA, tabl. powl., 160 mg
28 tabl.
5909991003081
Walsartan KRKA, tabl. powl., 80 mg
28 tabl.
5909991002794
ApoValsart HCT, tabl. powl., 160+25 mg
28 szt.
5909991028688
Axudan HCT, tabl. powl., 160+12,5 mg
28 szt.
5909990829989
Axudan HCT, tabl. powl., 160+12,5 mg
28 szt.
5909991230234
Axudan HCT, tabl. powl., 160+12,5 mg
56 szt.
5909990830008
Axudan HCT, tabl. powl., 160+25 mg
28 szt.
5909990830107
Axudan HCT, tabl. powl., 160+25 mg
28 szt.
5909991230333
Axudan HCT, tabl. powl., 160+25 mg
56 szt.
5909990830138
Axudan HCT, tabl. powl., 320+12,5 mg
28 szt.
5909990830176
Axudan HCT, tabl. powl., 320+25 mg
28 szt.
5909990830244
Axudan HCT, tabl. powl., 80+12,5 mg
28 szt.
5909990829927
Axudan HCT, tabl. powl., 80+12,5 mg
56 szt.
5909990829941
1
*
-
2
-
3
:
;
B
=
(
2
(
1
*
-
,
2
F
C
L
J
?
E
P
#
#
"
!
R
"
"
!
R
"
y
y
y
y
y
y
y
y
y
y
y
y
y
y
y
y
y
Z
y
l
"
y
l
"
y
l
"
y
l
"
y
l
"
y
l
"
y
l
"
y
l
"
y
l
"
y
l
"
y
l
"
Y
G
J
G

I

H
"
!
R
"
l
l
"
l
"
y
"
y
G
Y
H
G
G
Y
I
G
G
Y
J
G
G
Y
L
G
G
Y
U
G
G
Y
V
G
G
Y
W
G
G
Y
X
G
G
Y
Y
H
G
Y
G
H
G
Y
H
H
G
Y
I
H
G
Y
J
H
G
Y
L
H
G
Y
U
H
G
Y
V
H
G
Y
W
H
G
Y
X
G
H
Y
Y
I
G
Y
G
I
G
Y
H
I
G
Y
I
I
G
Y
J
I
G
Y
L
I
G
Y
U
I
G
Y
V
I
G
Y
W
I
G
Y
X
G
I
Y
Y
J
G
Hydrochlorothiazidum
-
2
-
3
:
>
>
1
4
N
6

A
@
2
-
K
(
1
>
5
)
;
(
>
)
5
)
8
,
-
<
5
>
)
;
:
2
5
6
-
8
:
*
-
4
(
-
<
5
*
-
1
>
5
1
*
:
9
<
5
>
4
(
=
;
5
,
.
-
<
5
)
;
*
:
9
-
,
.
(
3
2
-
8
7
+
6
3
5
4
(
3
*
(
2
1
0
(
/
.
-
,
+
(
*
)
(
N
"
#
#
'
&
$
"
%
$
#
"
!
S
]
l
Zawartość opakowania
P
O
M
&
\
\
\
[
Z
P
O
M
&
"
M
!
T
R
T
l
$
R
T
P
O
M
&
"
M
\
P
O
M
&
"
M
P
O
M
&
M
"
P
O
M
&
"
M
!
T
R
T
l
\
!
T
R
T
l
\
!
T
R
T
l
\
!
T
R
T
l
$
$
$
$
T
\
T
\
T
\
T
O
R
R
O
O
R
R
O
'
[
'
[
Z
'
[
Z
'
[
\
Z
Z
P
P
P
P
P
Z
O
'
P
#
"
!
R
"
"
!
R
"
#
#
"
!
R
"
"
!
R
"
#
#
"
!
R
"
#
"
!
R
"
\
\
[
Z
y
P
O
M
&
M
"
P
O
M
&
"
M
!
T
R
T
l
\
!
T
R
T
l
$
$
T
R
\
T
R
O
'
Z
P
#
"
!
R
"
O
'
[
P
#
"
!
R
"
Z
P
#
"
!
R
"
l
"
y
l
"
y
l
"
\
\
[
Z
y
P
O
M
&
"
M
!
T
R
T
l
$
T
R
O
'
P
#
"
!
R
"
l
"
J
L
G
\
\
[
Z
y
Y
P
O
M
&
"
M
P
O
M
&
M
"
P
O
M
&
"
M
\
!
T
R
T
l
\
!
T
R
T
l
\
!
T
R
T
l
$
$
$
\
T
R
O
'
\
T
\
T
O
'
R
R
O
'
[
[
[
Z
P
#
"
!
R
"
Z
P
#
"
!
R
"
Z
P
#
"
!
R
"
l
l
l
y
"
y
"
y
"
L
L
G
Y
U
L
G
Y
V
L
G
P
O
M
&
"
M
!
T
R
T
l
$
T
R
O
'
P
#
"
!
R
"
l
"
Y
W
L
G
\
[
\
[
Z
Z
y
Y
P
O
M
&
"
M
P
O
M
&
"
M
!
T
R
T
\
!
T
R
T
l
l
$
$
T
\
T
R
O
'
R
O
P
#
"
!
R
"
'
P
#
"
!
R
"
l
"
y
l
"
X
G
L
Y
Y
U
G
\
\
[
Z
y
Y
P
O
M
&
M
"
P
O
M
&
"
M
P
O
M
&
M
"
P
O
M
&
"
M
!
T
R
T
l
\
!
T
R
T
l
\
!
T
R
T
l
\
!
T
R
T
l
$
$
$
$
T
R
O
'
\
T
R
O
'
\
T
\
T
O
'
R
R
O
'
[
[
[
P
#
"
!
R
"
Z
P
#
"
!
R
"
Z
P
#
"
!
R
"
Z
P
#
"
!
R
"
l
l
l
l
"
y
"
y
"
y
"
G
U
G
Y
H
U
G
Y
I
U
G
Y
J
U
G
\
\
[
Z
y
Y
P
O
M
&
"
M
!
T
R
T
l
$
T
R
O
'
P
#
"
!
R
"
l
"
L
U
G
\
\
[
Z
y
Y
P
O
M
&
"
M
!
T
R
T
l
$
T
R
O
'
P
#
"
!
R
"
l
"
U
U
G
\
\
[
Z
y
Y
P
O
M
&
M
"
P
O
M
&
"
M
!
T
R
T
l
\
!
T
R
T
l
$
$
T
\
T
R
R
P
O
M
&
"
M
\
\
!
T
R
T
l
\
$
\
T
R
O
[
'
[
Z
P
Z
O
'
Z
Hydrochlorothiazidum
P
#
"
!
R
"
#
"
!
R
"
O
'
[
P
#
"
!
R
"
Z
P
#
"
!
R
"
l
l
l
l
y
"
y
"
y
"
y
"
V
U
G
Y
W
U
G
Y
X
G
U
Y
Y
V
G
P
O
M
&
"
M
!
T
R
T
l
$
T
R
O
'
P
#
"
!
R
"
l
"
Co-Bespres, tabl. powl., 160+12,5 mg
28 szt.
5909990874255
Co-Bespres, tabl. powl., 160+25 mg
14 szt. (1 blist.po 14 szt.)
5909990740857
Co-Bespres, tabl. powl., 160+25 mg
28 szt. (2 blist.po 14 szt.)
5909990740864
Co-Bespres, tabl. powl., 80+12,5 mg
28 szt. (2 blist.po 14 szt.)
5909990740833
Co-Diovan, tabl. powl., 160+25 mg
14 szt. (1 blist.po 14 szt.)
5909991062927
Co-Nortivan, tabl. powl., 160+12,5 mg
28 szt.
5909990772452
Co-Nortivan, tabl. powl., 160+25 mg
28 szt.
5909990772506
Co-Nortivan, tabl. powl., 80+12,5 mg
28 szt.
5909990772292
Co-Valsacor, tabl. powl., 160+12,5 mg
28 szt. (2 blist.po 14 szt.)
5909990740246
Co-Valsacor, tabl. powl., 160+12,5 mg
56 tabl.
5909990740253
Co-Valsacor, tabl. powl., 160+12,5 mg
98 szt.
5909990740260
Co-Valsacor, tabl. powl., 160+25 mg
28 szt. (2 blist.po 14 szt.)
5909990740277
Co-Valsacor, tabl. powl., 160+25 mg
56 tabl.
5909990740284
Co-Valsacor, tabl. powl., 160+25 mg
98 szt.
5909990740291
Co-valsacor, tabl. powl., 320+12,5 mg
28 szt.
5909990847464
Co-valsacor, tabl. powl., 320+25 mg
28 szt.
5909990847501
Co-Valsacor, tabl. powl., 80+12,5 mg
28 tabl.
5909990740192
Co-Valsacor, tabl. powl., 80+12,5 mg
56 tabl.
5909990740208
Co-Valsacor, tabl. powl., 80+12,5 mg
98 szt.
5909990740239
Tensart HCT, tabl. powl., 160+12,5 mg
28 szt. (2 blist.po 14 szt.)
5909990704132
Tensart HCT, tabl. powl., 160+25 mg
28 szt. (2 blist.po 14 szt.)
5909990704262
Valsartan + hydrochlorothiazide Aurobindo, tabl. powl., 160+25 mg
28 szt.
5909991077495
Valsartan + hydrochlorothiazide Krka, tabl. powl., 160+12,5 mg
28 szt.
5909990847600
Valsartan + hydrochlorothiazide Krka, tabl. powl., 160+25 mg
28 szt.
5909990847655
Valsartan HCT Mylan, tabl. powl., 160+12,5 mg
28 szt.
5909991045500
Valsartan HCT Mylan, tabl. powl., 160+25 mg
14 szt.
5909991046750
Valsartan HCT Mylan, tabl. powl., 160+25 mg
28 szt.
5909991046767
Valsotens HCT, tabl. powl., 160+12,5 mg
28 szt.
5909990877386
Valsotens HCT, tabl. powl., 160+25 mg
28 szt.
5909990877201
Valtap HCT, tabl. powl., 160+12,5 mg
28 szt.
5909990801961
1
*
-
2
-
3
:
;
B
=
(
2
(
1
*
-
,
2
F
C
L
J
?
E
P
O
M
&
"
M
"
M
!
T
R
T
\
y
y
l
"
y
l
l
l
l
l
"
y
"
y
"
y
"
y
"
U
J
G
Y
V
J
G
Y
W
J
G
Y
X
G
J
Y
Y
L
G
Y
G
L
G
Y
H
L
G
Y
I
L
Y
G
Hydrochlorothiazidum
Y
G
V
G

I

P
O
M
&
"
M
\
!
T
R
T
l
l
$
\
!
T
R
T
l
$
$
T
T
\
T
\
H
R
O
R
O
'
R
O
'
[
[
'
[
Z
P
P
Z
P
#
"
!
R
"
#
"
!
R
"
Z
#
"
!
R
"
l
l
"
l
"
y
"
y
G
Y
H
J
G
Y
I
J
G
Y
J
J
G
Y
L
J
G
Y
Hydrochlorothiazidum
-
2
-
3
:
>
>
1
4
N
6

A
@
2
-
K
(
1
>
-
<
5
>
)
;
:
2
5
6
-
8
:
*
-
4
(
-
<
5
*
-
1
>
5
1
*
:
9
5
)
;
(
>
)
5
)
8
,
-
<
5
>
4
(
=
;
5
,
.
-
<
5
)
;
*
:
9
-
,
.
(
3
2
-
8
7
+
6
3
5
4
(
3
*
(
2
1
0
(
/
.
-
,
+
(
*
)
(
N
"
#
#
'
&
$
"
%
$
#
"
!
S
]
l
Zawartość opakowania
P
O
M
&
\
\
[
Z
P
O
M
&
"
M
!
T
R
T
l
$
T
R
O
'
P
#
"
!
R
"
P
#
P
#
M
"
i
P
#
M
i
"
P
#
M
"
i
"
l
#
^
"
l
#
^
"
l
#
Q
Q
Q
^
P
#
M
"
i
"
l
#
Q
^
P
#
M
P
#
M
"
i
"
i
"
l
#
P
#
M
"
i
^
"
l
#
^
^
"
l
#
Q
Q
Q
P
#
M
"
i
"
l
#
Q
^
P
#
M
i
"
P
#
M
"
i
"
l
#
^
"
l
#
Q
Q
^
P
#
M
"
i
P
#
M
P
#
M
"
i
"
i
"
l
P
#
M
"
i
"
l
#
^
^
"
l
#
#
^
"
l
#
Q
Q
Q
Q
^
P
#
M
"
i
"
l
#
Q
^
P
#
M
"
i
"
l
#
Q
^
P
#
M
i
"
P
#
M
"
i
P
#
M
i
"
P
#
M
"
i
^
"
l
#
^
"
l
#
^
"
l
#
^
"
l
#
Q
Q
Q
Q
P
#
M
"
i
"
l
#
Q
P
O
M
&
"
M
P
O
M
&
"
P
O
M
&
"
M
!
T
R
\
P
#
M
M
^
y
y
y
y
y
y
y
y
y
y
y
y
y
y
y
y
y
y
y
y
y
M
\
!
T
R
T
T
l
$
T
R
O
"
i
"
i
^
"
l
"
l
#
^
'
\
\
!
T
R
T
l
l
\
$
$
T
\
T
R
O
'
R
O
'
[
[
[
#
Q
y
Q
y
P
Z
Z
P
Z
P
#
"
!
R
"
#
"
!
R
"
#
"
!
R
"
G
W
G
Y
H
W
G
Y
I
W
G
Y
J
W
G
Y
L
W
G
Y
U
W
G
Y
V
W
G
Y
W
W
G
Y
X
G
W
Y
Y
X
G
Y
G
X
G
Y
H
X
G
Y
I
X
G
Y
J
X
G
Y
L
X
G
Y
U
X
G
Y
V
X
G
Y
W
X
G
Y
X
G
X
Y
Y
G
G
Y
G
G
G
Valtap HCT, tabl. powl., 160+12,5 mg
56 szt.
5909991067557
Valtap HCT, tabl. powl., 160+25 mg
14 szt.
5909990813995
Valtap HCT, tabl. powl., 160+25 mg
28 szt.
5909990802005
Valtap HCT, tabl. powl., 160+25 mg
56 szt.
5909991067564
Vanatex HCT, tabl. powl., 160+12,5 mg
28 szt.
5909990862375
Vanatex HCT, tabl. powl., 160+25 mg
28 szt.
5909990862399
Vanatex HCT, tabl. powl., 80+12,5 mg
28 szt.
5909990862351
Alventa, kaps. o przedłużonym uwalnianiu, 150 mg
60 tabl.
5909991197735
Alventa, kaps. o przedłużonym uwalnianiu, 75 mg
60 tabl.
5909991197728
Alventa, kaps. o przedłużonym uwalnianiu, twarde, 150 mg
28 szt.
5909990047956
Alventa, kaps. o przedłużonym uwalnianiu, twarde, 150 mg
28 szt.
5909991265717
Alventa, kaps. o przedłużonym uwalnianiu, twarde, 37,5 mg
28 szt. (2 blist.po 14 szt.)
5909990047901
Alventa, kaps. o przedłużonym uwalnianiu, twarde, 75 mg
28 szt.
5909990047895
Alventa, kaps. o przedłużonym uwalnianiu, twarde, 75 mg
28 szt.
5909991265694
Axyven, tabl. o przedłużonym uwalnianiu, 150 mg
28 szt. (2 blist.po 14 szt.)
5909990660650
Axyven, tabl. o przedłużonym uwalnianiu, 37,5 mg
28 szt. (2 blist.po 14 szt.)
5909990660636
Axyven, tabl. o przedłużonym uwalnianiu, 75 mg
28 szt. (2 blist.po 14 szt.)
5909990660643
Efectin ER 150, kaps. o przedłużonym uwalnianiu, twarde, 150 mg
28 szt. (2 blist.po 14 szt.)
5909990494019
Efectin ER 75, kaps. o przedłużonym uwalnianiu, twarde, 75 mg
28 szt. (2 blist.po 14 szt.)
5909990493913
Efevelon SR, kaps. o przedłużonym uwalnianiu, twarde, 150 mg
28 szt.
5909990715374
Efevelon SR, kaps. o przedłużonym uwalnianiu, twarde, 37,5 mg
28 szt.
5909990715299
Efevelon SR, kaps. o przedłużonym uwalnianiu, twarde, 75 mg
28 szt.
5909990715350
Faxigen XL 150 mg, kaps. o przedłużonym uwalnianiu, twarde, 150 mg
28 szt.
5909990721528
Faxigen XL 37,5 mg, kaps. o przedłużonym uwalnianiu, twarde, 37,5 mg
28 szt.
5909990721498
Faxigen XL 75 mg, kaps. o przedłużonym uwalnianiu, twarde, 75 mg
28 szt.
5909990721504
Faxolet ER, kaps. o przedłużonym uwalnianiu, twarde, 150 mg
28 szt.
5909990691883
Faxolet ER, kaps. o przedłużonym uwalnianiu, twarde, 37,5 mg
28 szt.
5909990691760
Faxolet ER, kaps. o przedłużonym uwalnianiu, twarde, 75 mg
28 szt.
5909990691906
Lafactin, kaps. o przedłużonym uwalnianiu, 37,5 mg
28 szt.
5909990673728
Lafactin, kaps. o przedłużonym uwalnianiu, twarde, 150 mg
28 szt.
5909990673803
1
*
-
2
-
3
:
;
B
=
(
2
(
1
*
-
,
2
F
C
L
J
?

E
P
O
M
&
M
"
"
M
!
T
R
T
l
\
!
T
R
T
l
$
$
T
R
\
T
R
O
\
I

P
#
"
!
R
"
\
H
Z
y
l
l
l
"
l
"
y
y
l
"
U
V
G
V
W
X
V
Y
W
Y
G
Y
G
Y
G
Y
G
Y
V
V
y
Y
"
L
V
G
y
Y
"
J
V
G
O
'
[
'
[
Z
P
P
#
"
!
R
"
Z
#
"
!
R
"
l
l
"
y
"
y
G
Y
H
V
G
Y
I
V
G
Y
Hydrochlorothiazidum
-
2
-
3
:
>
>
1
4
N
6

A
@
2
-
K
(
-
<
5
>
)
;
:
2
5
6
-
8
:
*
-
4
(
-
<
5
*
-
1
>
5
1
*
:
9
1
>
5
)
;
(
>
)
5
)
8
,
-
<
5
>
4
(
=
;
5
,
.
-
<
5
)
;
*
:
9
-
,
.
(
3
2
-
8
7
+
6
3
5
4
(
3
*
(
2
1
0
(
/
.
-
,
+
(
*
)
(
N
"
#
#
'
&
$
"
%
$
#
"
!
S
]
l
Zawartość opakowania
P
#
M
^
P
#
M
"
i
P
#
M
^
"
i
P
#
M
^
"
i
P
#
M
P
#
M
^
"
i
^
"
i
^
P
#
M
"
i
P
#
M
^
"
i
P
#
M
^
"
i
^
P
#
M
"
i
^
P
#
M
"
i
P
#
M
^
"
i
P
#
M
^
"
i
P
#
M
^
"
i
^
P
#
M
"
i
P
#
M
^
"
i
^
P
#
M
"
i
P
#
M
^
"
i
P
#
M
^
"
i
P
#
M
^
"
i
^
P
#
M
"
i
^
P
#
M
"
i
^
P
#
M
"
i
P
#
M
^
"
i
P
#
M
^
"
i
5909990673766
28 szt.
5909990663507
Oriven, kaps. o przedłużonym uwalnianiu, twarde, 150 mg
28 szt.
5909990795826
Oriven, kaps. o przedłużonym uwalnianiu, twarde, 150 mg
98 szt.
5909990795833
Oriven, kaps. o przedłużonym uwalnianiu, twarde, 37,5 mg
28 szt.
5909990795802
Oriven, kaps. o przedłużonym uwalnianiu, twarde, 37,5 mg
98 szt.
5909990795819
Oriven, kaps. o przedłużonym uwalnianiu, twarde, 75 mg
28 szt.
5909990795789
Oriven, kaps. o przedłużonym uwalnianiu, twarde, 75 mg
98 szt.
5909990795796
Prefaxine, kaps. o przedłużonym uwalnianiu, twarde, 150 mg
28 szt. (4 blist.po 7 szt.)
5909990727520
Prefaxine, kaps. o przedłużonym uwalnianiu, twarde, 37,5 mg
28 szt. (4 blist.po 7 szt.)
5909990727490
Prefaxine, kaps. o przedłużonym uwalnianiu, twarde, 75 mg
28 szt. (4 blist.po 7 szt.)
5909990727506
Symfaxin ER, kaps. o przedłużonym uwalnianiu, twarde, 150 mg
28 szt.
5909991092030
Symfaxin ER, kaps. o przedłużonym uwalnianiu, twarde, 75 mg
28 szt.
5909991091996
Symfaxin ER, kapsułki o przedłużonym uwalnianiu, twarde, 37,5 mg
28 kaps.
5909991135096
Velafax XL, kaps. o zmodyfikowanym uwalnianiu, 150 mg
28 szt. (2 blist.po 14 szt.)
5909990626724
Velafax XL, kaps. o zmodyfikowanym uwalnianiu, 75 mg
28 szt. (2 blist.po 14 szt.)
5909990626670
Velafax, tabl., 37,5 mg
28 szt.
5909991093815
Velafax, tabl., 37,5 mg
56 szt.
5909991093822
Velafax, tabl., 75 mg
28 szt.
5909991093914
Velafax, tabl., 75 mg
56 szt.
5909991093921
Velaxin ER 150 mg, kaps. o przedłużonym uwalnianiu, twarde, 150 mg
28 szt. (2 blist.po 14 szt.)
5909990056293
Velaxin ER 37,5 mg, kaps. o przedłużonym uwalnianiu, twarde, 37,5 mg
28 szt. (2 blist.po 14 szt.)
5909990055982
Velaxin ER 75 mg, kaps. o przedłużonym uwalnianiu, twarde, 75 mg
28 szt. (2 blist.po 14 szt.)
5909990056279
Venlafaxine Bluefish XL, kaps. o przedłużonym uwalnianiu, twarde, 150 mg
szt.
5909990767625
Venlafaxine Bluefish XL, kaps. o przedłużonym uwalnianiu, twarde, 75 mg
28 szt.
5909990767601
Venlectine, kaps. o przedłużonym uwalnianiu, 150 mg
28 szt. (4 blist.po 7 szt.)
5909990424672
Venlectine, kaps. o przedłużonym uwalnianiu, 37,5 mg
28 szt. (4 blist.po 7 szt.)
5909990040971
Venlectine, kaps. o przedłużonym uwalnianiu, 75 mg
28 szt. (4 blist.po 7 szt.)
5909990040995
1
*
-
2
-
3
:
;
B
=
(
2
(
1
*
-
,
2
F
C
L
J
?
E
P
^
"
i
l
"
"
l
l
"
"
l
"
l
"
l
"
l
l
"
"
l
l
"
"
l
l
"
"
l
l
"
"
l
l
"
"
l
l
"
"
l
l
"
"
l
l
"
"
l
l
"
"
l
28 szt.
Olwexya, kaps. o przedłużonym uwalnianiu, 75 mg
W
P
#
#
M
"
i
"
l
#
#
#
#
#
#
#
#
#
#
#
#
#
#
#
#
#
#
#
#
#
#
#
#
#
#
Lafactin, kaps. o przedłużonym uwalnianiu, twarde, 75 mg
H
P
#
M
M
^
y
Q
y
Q
y
Q
y
Q
y
Q
y
Q
y
Q
y
Q
y
Q
y
Q
y
Q
y
Q
y
Q
y
Q
y
Q
y
Q
y
Q
y
Q
y
Q
y
Q
y
Q
y
Q
y
Q
y
Q
y
Q
y
Q

I

H
^
i
"
"
i
"
l
^
"
l
#
#
Q
y
Q
y
G
Y
H
G
G
Y
I
G
G
Y
J
G
G
Y
L
G
G
Y
U
G
G
Y
V
G
G
Y
W
G
G
Y
X
G
G
Y
G
G
G
G
G
G
G
G
G
G
H
I
G
G
G
G
G
G
J
L
G
G
G
G
G
G
U
V
G
G
G
G
G
G
W
X
G
G
G
Y
G
G
H
G
G
G
H
H
G
G
H
I
G
G
H
H
G
G
J
L
G
G
H
H
G
G
U
V
G
G
H
H
G
G
W
X
H
G
G
-
2
-
3
:
>
>
1
4
N
6

A
@
2
-
-
<
5
>
)
;
:
2
5
6
-
8
:
*
-
4
(
-
<
5
*
-
1
>
5
1
*
:
9
K
(
1
>
5
)
;
(
>
)
5
)
8
,
-
<
5
>
4
(
=
;
5
,
.
-
<
5
)
;
*
:
9
-
,
.
(
3
2
-
8
7
+
6
3
5
4
(
3
*
(
2
1
0
(
/
.
-
,
+
(
*
)
(
N
"
#
#
'
&
$
"
%
$
#
"
!
S
]
l
Zawartość opakowania