LISTA LEKÓW 75+

Transkrypt

LISTA LEKÓW 75+
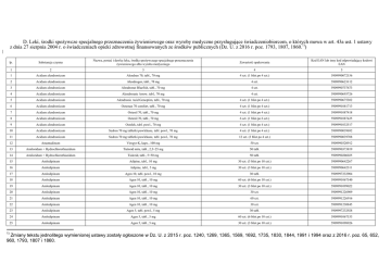
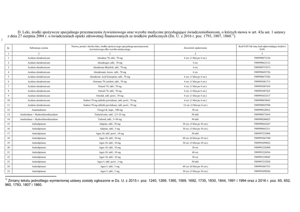
D. Leki, środki spożywcze specjalnego przeznaczenia żywieniowego oraz wyroby medyczne przysługujące świadczeniobiorcom, o których mowa w art. 43a ust. 1 ustawy
z dnia 27 sierpnia 2004 r. o świadczeniach opieki zdrowotnej finansowanych ze środków publicznych (Dz. U. z 2016 r. poz. 1793, 1807, 1860.1))
lp.
1)
Substancja czynna
Nazwa, postać i dawka leku, środka spożywczego specjalnego przeznaczenia
żywieniowego albo wyrobu medycznego
Zawartość opakowania
Kod EAN lub inny kod odpowiadający kodowi
EAN
1
2
3
4
5
1
Acidum alendronicum
Alendran 70, tabl., 70 mg
4 szt. (1 blist.po 4 szt.)
5909990072156
2
Acidum alendronicum
Alendrogen, tabl., 70 mg
4 szt.
5909990623112
3
Acidum alendronicum
Alendronat Bluefish, tabl., 70 mg
4 szt.
5909990737673
4
Acidum alendronicum
Alendronate Arrow, tabl., 70 mg
4 szt.
5909990693726
5
Acidum alendronicum
Alendronic Acid Genoptim, tabl., 70 mg
4 szt. (1 blist.po 4 szt.)
5909990675302
6
Acidum alendronicum
Ostemax 70 comfort, tabl., 70 mg
4 szt. (1 blist.po 4 szt.)
5909991081713
7
Acidum alendronicum
Ostenil 70, tabl., 70 mg
4 szt. (1 blist.po 4 szt.)
5909991087418
8
Acidum alendronicum
Ostenil 70, tabl., 70 mg
6 szt. (1 blist.po 6 szt.)
5909991087425
9
Acidum alendronicum
Ostolek, tabl. powl., 70 mg
4 szt. (1 blist.po 4 szt.)
5909991032517
10
Acidum alendronicum
Sedron 70 mg tabletki powlekane, tabl. powl., 70 mg
4 szt. (1 blist.po 4 szt.)
5909990039692
11
Acidum alendronicum
Sedron 70 mg tabletki powlekane, tabl. powl., 70 mg
12 szt. (3 blist.po 4 szt.)
5909990039708
12
Amantadinum
Viregyt-K, kaps., 100 mg
50 szt.
5909990320912
13
Amiloridum + Hydrochlorothiazidum
Tialorid mite, tabl., 2,5+25 mg
50 tabl.
5909990373819
14
Amiloridum + Hydrochlorothiazidum
Tialorid, tabl., 5+50 mg
50 tabl.
5909990206025
15
Amlodipinum
Adipine, tabl., 10 mg
30 szt. (3 blist.po 10 szt.)
5909990642267
16
Amlodipinum
Adipine, tabl., 5 mg
30 szt. (3 blist.po 10 szt.)
5909990642311
17
Amlodipinum
Agen 10, tabl. powl., 10 mg
30 tabl.
5909997232904
18
Amlodipinum
Agen 10, tabl., 10 mg
60 szt. (6 blist.po 10 szt.)
5909991067540
19
Amlodipinum
Agen 10, tabl., 10 mg
30 szt. (3 blist.po 10 szt.)
5909991099022
20
Amlodipinum
Agen 10, tabl., 10 mg
30 szt.
5909991226909
21
Amlodipinum
Agen 10, tabl., 10 mg
60 szt.
5909991226916
22
Amlodipinum
Agen 10, tabl., 10 mg
30 szt.
5909991230845
23
Amlodipinum
Agen 5, tabl. powl., 5 mg
30 tabl.
5909997232928
24
Amlodipinum
Agen 5, tabl., 5 mg
60 szt. (6 blist.po 10 szt.)
5909991067533
25
Amlodipinum
Agen 5, tabl., 5 mg
30 szt. (3 blist.po 10 szt.)
5909991098926
Zmiany tekstu jednolitego wymienionej ustawy zostały ogłoszone w Dz. U. z 2015 r. poz. 1240, 1269, 1365, 1569, 1692, 1735, 1830, 1844, 1991 i 1994 oraz z 2016 r. poz. 65, 652,
960, 1793, 1807 i 1860.
lp.
Substancja czynna
Nazwa, postać i dawka leku, środka spożywczego specjalnego przeznaczenia
żywieniowego albo wyrobu medycznego
Zawartość opakowania
Kod EAN lub inny kod odpowiadający kodowi
EAN
1
2
3
4
5
26
Amlodipinum
Agen 5, tabl., 5 mg
30 szt.
5909991231811
27
Amlodipinum
Aldan, tabl., 10 mg
30 szt. (3 blist.po 10 szt.)
5909991008734
28
Amlodipinum
Aldan, tabl., 5 mg
30 szt. (3 blist.po 10 szt.)
5909991008635
29
Amlodipinum
Alneta, tabl., 10 mg
30 szt.
5909991068073
30
Amlodipinum
Alneta, tabl., 10 mg
60 tabl.
5909991068097
31
Amlodipinum
Alneta, tabl., 10 mg
90 tabl.
5909991068141
32
Amlodipinum
Alneta, tabl., 5 mg
30 szt.
5909991067977
33
Amlodipinum
Alneta, tabl., 5 mg
60 tabl.
5909991067991
34
Amlodipinum
Alneta, tabl., 5 mg
90 tabl.
5909991068035
35
Amlodipinum
Amlaxopin, tabl., 10 mg
30 szt.
5909990752720
36
Amlodipinum
Amlaxopin, tabl., 5 mg
30 szt.
5909990752690
37
Amlodipinum
Amlodipine Aurobindo, tabl., 10 mg
30 szt.
5909990955008
38
Amlodipinum
Amlodipine Aurobindo, tabl., 5 mg
30 szt.
5909990954254
39
Amlodipinum
Amlodipine Bluefish, tabl., 10 mg
30 szt.
5909990800551
40
Amlodipinum
Amlodipine Bluefish, tabl., 5 mg
30 szt.
5909990800469
41
Amlodipinum
Amlodipinum 123ratio, tabl., 10 mg
30 szt.
5909991225650
42
Amlodipinum
Amlomyl, tabl., 10 mg
30 szt.
5909990842698
43
Amlodipinum
Amlomyl, tabl., 5 mg
30 szt.
5909990842476
44
Amlodipinum
Amlonor, tabl., 10 mg
30 szt. (3 blist.po 10 szt.)
5909990642625
45
Amlodipinum
Amlonor, tabl., 5 mg
30 szt. (3 blist.po 10 szt.)
5909990642618
46
Amlodipinum
Amlopin 10 mg, tabl., 10 mg
30 szt. (3 blist.po 10 szt.)
5909990048977
47
Amlodipinum
Amlopin 10 mg, tabl., 10 mg
30 szt.
5909997213699
48
Amlodipinum
Amlopin 10 mg, tabl., 10 mg
30 szt.
5909997218090
49
Amlodipinum
Amlopin 10 mg, tabl., 10 mg
30 tabl.
5909997231501
50
Amlodipinum
Amlopin 10 mg, tabl., 10 mg
30 szt.
5909991276027
51
Amlodipinum
Amlopin 5 mg, tabl., 5 mg
30 szt. (3 blist.po 10 szt.)
5909990048939
52
Amlodipinum
Amlopin 5 mg, tabl., 5 mg
30 szt.
5909991200732
53
Amlodipinum
Amlopin 5 mg, tabl., 5 mg
30 szt.
5909997213675
54
Amlodipinum
Amlopin 5 mg, tabl., 5 mg
30 szt.
5909997218113
55
Amlodipinum
Amlozek, tabl., 10 mg
30 szt.
5909990799817
lp.
Substancja czynna
Nazwa, postać i dawka leku, środka spożywczego specjalnego przeznaczenia
żywieniowego albo wyrobu medycznego
Zawartość opakowania
Kod EAN lub inny kod odpowiadający kodowi
EAN
1
2
3
4
5
56
Amlodipinum
Amlozek, tabl., 5 mg
30 szt.
5909990799718
57
Amlodipinum
Apo-Amlo 10, tabl., 10 mg
30 szt. (3 blist.po 10 szt.)
5909990565993
58
Amlodipinum
Apo-Amlo 10, tabl., 10 mg
30 szt.
5909991236687
59
Amlodipinum
Apo-Amlo 5, tabl., 5 mg
30 szt. (3 blist.po 10 szt.)
5909990565986
60
Amlodipinum
Cardilopin, tabl., 10 mg
30 szt. (3 blist.po 10 szt.)
5909990907519
61
Amlodipinum
Cardilopin, tabl., 2,5 mg
30 szt. (3 blist.po 10 szt.)
5909990907311
62
Amlodipinum
Cardilopin, tabl., 5 mg
30 szt. (3 blist.po 10 szt.)
5909990907410
63
Amlodipinum
Damloc, tabl., 10 mg
30 szt.
5909991261375
64
Amlodipinum
Damloc, tabl., 5 mg
30 szt.
5909991261337
65
Amlodipinum
Finamlox, tabl., 10 mg
30 szt.
5909990794461
66
Amlodipinum
Finamlox, tabl., 5 mg
30 tabl.
5909990794430
67
Amlodipinum
Normodipine, tabl., 10 mg
30 szt.
5909990993116
68
Amlodipinum
Normodipine, tabl., 5 mg
30 szt.
5909990993017
69
Amlodipinum
Tenox, tabl., 10 mg
30 szt. (3 blist.po 10 szt.)
5909990963119
70
Amlodipinum
Tenox, tabl., 5 mg
90 szt. (9 blist.po 10 szt.)
5909990421824
71
Amlodipinum
Tenox, tabl., 5 mg
30 szt. (3 blist.po 10 szt.)
5909990963010
72
Amlodipinum
Vilpin, tabl., 10 mg
30 szt. (3 blist.po 10 szt.)
5909991042912
73
Amlodipinum
Vilpin, tabl., 10 mg
28 szt.
5909991283797
74
Amlodipinum
Vilpin, tabl., 5 mg
30 szt. (3 blist.po 10 szt.)
5909990621217
75
Apixabanum
Eliquis, tabl. powl., 2,5 mg
20 tabl.
5909990861040
76
Atorvastatinum
Apo-Atorva, tabl. powl., 10 mg
30 szt.
5909990787586
77
Atorvastatinum
Apo-Atorva, tabl. powl., 20 mg
30 szt.
5909990787609
78
Atorvastatinum
Apo-Atorva, tabl. powl., 40 mg
30 szt.
5909990787647
79
Atorvastatinum
Atoris, tabl. powl., 10 mg
90 szt. (9 blist.po 10 szt.)
5909990336647
80
Atorvastatinum
Atoris, tabl. powl., 10 mg
30 szt.
5909990991815
81
Atorvastatinum
Atoris, tabl. powl., 20 mg
90 szt.
5909990419173
82
Atorvastatinum
Atoris, tabl. powl., 20 mg
30 szt.
5909990991914
83
Atorvastatinum
Atoris, tabl. powl., 20 mg
60 tabl.
5909991013806
84
Atorvastatinum
Atoris, tabl. powl., 30 mg
30 szt.
5909990885282
85
Atorvastatinum
Atoris, tabl. powl., 30 mg
60 tabl.
5909990885299
lp.
Substancja czynna
Nazwa, postać i dawka leku, środka spożywczego specjalnego przeznaczenia
żywieniowego albo wyrobu medycznego
Zawartość opakowania
Kod EAN lub inny kod odpowiadający kodowi
EAN
1
2
3
4
5
86
Atorvastatinum
Atoris, tabl. powl., 40 mg
30 szt.
5909990623464
87
Atorvastatinum
Atoris, tabl. powl., 40 mg
60 tabl.
5909990623471
88
Atorvastatinum
Atoris, tabl. powl., 40 mg
90 szt. (9 blist.po 10 szt.)
5909990623488
89
Atorvastatinum
Atoris, tabl. powl., 60 mg
30 szt.
5909990885336
90
Atorvastatinum
Atoris, tabl. powl., 80 mg
30 szt.
5909990885374
91
Atorvastatinum
Atorvagen, tabl. powl., 20 mg
30 szt.
5909990938926
92
Atorvastatinum
Atorvagen, tabl. powl., 40 mg
30 szt.
5909990938995
93
Atorvastatinum
Atorvastatin Bluefish, tabl. powl., 10 mg
30 szt.
5909990887262
94
Atorvastatinum
Atorvastatin Bluefish, tabl. powl., 20 mg
30 szt.
5909990887279
95
Atorvastatinum
Atorvastatin Bluefish, tabl. powl., 40 mg
30 szt.
5909990887286
96
Atorvastatinum
Atorvastatin Genoptim, tabl. powl., 10 mg
30 szt.
5909990900053
97
Atorvastatinum
Atorvastatin Genoptim, tabl. powl., 20 mg
30 szt.
5909990899920
98
Atorvastatinum
Atorvastatin Genoptim, tabl. powl., 40 mg
30 szt.
5909990900275
99
Atorvastatinum
Atorvastatin Genoptim, tabl. powl., 80 mg
30 tabl.
5909990900459
100
Atorvastatinum
Atorvastatin Vitama, tabl. powl., 10 mg
30 szt.
5909991200527
101
Atorvastatinum
Atorvastatin Vitama, tabl. powl., 20 mg
30 szt.
5909991200787
102
Atorvastatinum
Atorvastatin Vitama, tabl. powl., 40 mg
30 szt.
5909991201050
103
Atorvastatinum
Atorvastatinum 123ratio, tabl. powl., 10 mg
30 szt.
5909990848904
104
Atorvastatinum
Atorvastatinum 123ratio, tabl. powl., 20 mg
30 szt.
5909990849086
105
Atorvastatinum
Atorvastatinum 123ratio, tabl. powl., 40 mg
30 szt.
5909990849246
106
Atorvastatinum
Atorvasterol, tabl. powl., 10 mg
30 szt.
5909990077847
107
Atorvastatinum
Atorvasterol, tabl. powl., 20 mg
30 szt.
5909990077939
108
Atorvastatinum
Atorvasterol, tabl. powl., 40 mg
30 szt.
5909990078028
109
Atorvastatinum
Atorvasterol, tabl. powl., 80 mg
30 szt.
5909991041298
110
Atorvastatinum
Atorvox, tabl. powl., 10 mg
30 szt. (3 blist.po 10 szt.)
5909990573400
111
Atorvastatinum
Atorvox, tabl. powl., 20 mg
30 szt. (3 blist.po 10 szt.)
5909990573530
112
Atorvastatinum
Atorvox, tabl. powl., 40 mg
30 szt. (3 blist.po 10 szt.)
5909990573547
113
Atorvastatinum
Atractin, tabl. powl., 10 mg
30 szt. (3 blist.po 10 szt.)
5909990078141
114
Atorvastatinum
Atractin, tabl. powl., 20 mg
30 szt. (3 blist.po 10 szt.)
5909990078264
115
Atorvastatinum
Atractin, tabl. powl., 40 mg
30 szt. (3 blist.po 10 szt.)
5909990078356
lp.
Substancja czynna
Nazwa, postać i dawka leku, środka spożywczego specjalnego przeznaczenia
żywieniowego albo wyrobu medycznego
Zawartość opakowania
Kod EAN lub inny kod odpowiadający kodowi
EAN
1
2
3
4
5
116
Atorvastatinum
Atrox 10, tabl. powl., 10 mg
60 tabl.
5907695215137
117
Atorvastatinum
Atrox 10, tabl. powl., 10 mg
30 szt. (3 blist.po 10 szt.)
5909991124618
118
Atorvastatinum
Atrox 20, tabl. powl., 20 mg
60 tabl.
5907695215144
119
Atorvastatinum
Atrox 20, tabl. powl., 20 mg
30 szt. (3 blist.po 10 szt.)
5909991124717
120
Atorvastatinum
Atrox 40, tabl. powl., 40 mg
60 tabl.
5907695215151
121
Atorvastatinum
Atrox 40, tabl. powl., 40 mg
30 szt. (3 blist.po 10 szt.)
5909991124816
122
Atorvastatinum
Atrox, tabl. powl., 80 mg
30 szt.
5909991011383
123
Atorvastatinum
Corator, tabl. powl., 10 mg
30 szt. (2 blist.po 15 szt.)
5909991150914
124
Atorvastatinum
Corator, tabl. powl., 20 mg
30 szt. (3 blist.po 10 szt.)
5909991151010
125
Atorvastatinum
Corator, tabl. powl., 40 mg
30 szt. (3 blist.po 10 szt.)
5909991151119
126
Atorvastatinum
Lambrinex, tabl. powl., 10 mg
30 szt.
5909990905508
127
Atorvastatinum
Lambrinex, tabl. powl., 20 mg
30 szt.
5909990905638
128
Atorvastatinum
Lambrinex, tabl. powl., 40 mg
30 szt.
5909990905782
129
Atorvastatinum
Larus, tabl. powl., 10 mg
30 szt. (3 blist.po 10 szt.)
5909990078530
130
Atorvastatinum
Larus, tabl. powl., 20 mg
30 szt. (3 blist.po 10 szt.)
5909990078707
131
Atorvastatinum
Larus, tabl. powl., 40 mg
30 szt. (3 blist.po 10 szt.)
5909990078790
132
Atorvastatinum
Pharmastatin, tabl. powl., 10 mg
30 szt.
5909990745807
133
Atorvastatinum
Pharmastatin, tabl. powl., 20 mg
30 szt.
5909990745579
134
Atorvastatinum
Pharmastatin, tabl. powl., 40 mg
30 szt.
5909990745340
135
Atorvastatinum
Storvas CRT, tabl. powl., 10 mg
30 szt.
5909991042097
136
Atorvastatinum
Storvas CRT, tabl. powl., 20 mg
30 szt.
5909991042103
137
Atorvastatinum
Storvas CRT, tabl. powl., 40 mg
30 szt.
5909991042134
138
Atorvastatinum
Storvas CRT, tabl. powl., 80 mg
30 szt.
5909991042141
139
Atorvastatinum
Torvacard 10, tabl. powl., 10 mg
30 szt. (3 blist.po 10 szt.)
5909990338290
140
Atorvastatinum
Torvacard 20, tabl. powl., 20 mg
30 szt. (3 blist.po 10 szt.)
5909990338368
141
Atorvastatinum
Torvacard 40, tabl. powl., 40 mg
30 szt. (3 blist.po 10 szt.)
5909990338436
142
Atorvastatinum
Torvacard 40, tabl. powl., 40 mg
90 szt. (9 blist.po 10 szt.)
5909990338443
143
Atorvastatinum
Torvacard, tabl. powl., 80 mg
30 tabl.
5909990957071
144
Atorvastatinum
Torvalipin, tabl. powl., 10 mg
30 szt. (3 blist.po 10 szt.)
5909990053179
145
Atorvastatinum
Torvalipin, tabl. powl., 20 mg
30 szt. (3 blist.po 10 szt.)
5909990053230
lp.
Substancja czynna
Nazwa, postać i dawka leku, środka spożywczego specjalnego przeznaczenia
żywieniowego albo wyrobu medycznego
Zawartość opakowania
Kod EAN lub inny kod odpowiadający kodowi
EAN
1
2
3
4
5
146
Atorvastatinum
Torvalipin, tabl. powl., 40 mg
30 szt. (3 blist.po 10 szt.)
5909990053278
147
Atorvastatinum
Tulip 40 mg, tabl. powl., 40 mg
30 szt.
5909990810161
148
Atorvastatinum
Tulip 40 mg, tabl. powl., 40 mg
60 tabl.
5909990810178
149
Atorvastatinum
Tulip 40 mg, tabl. powl., 40 mg
90 tabl.
5909990810185
150
Atorvastatinum
Tulip 80 mg, tabl. powl., 80 mg
30 szt.
5909990810208
151
Atorvastatinum
Tulip, tabl. powl., 10 mg
30 szt. (3 blist.po 10 szt.)
5909990998814
152
Atorvastatinum
Tulip, tabl. powl., 10 mg
60 szt. (6 blist.po 10 szt.)
5909990998821
153
Atorvastatinum
Tulip, tabl. powl., 10 mg
90 szt. (9 blist.po 10 szt.)
5909990998838
154
Atorvastatinum
Tulip, tabl. powl., 20 mg
30 szt. (3 blist.po 10 szt.)
5909990998913
155
Atorvastatinum
Tulip, tabl. powl., 20 mg
60 szt. (6 blist.po 10 szt.)
5909990998920
156
Atorvastatinum
Tulip, tabl. powl., 20 mg
90 szt. (9 blist.po 10 szt.)
5909990998937
157
Betaxololum
Betoptic S, krople do oczu, zawiesina, 2,5 mg/ml
5 ml
5909990186518
158
Betaxololum
Betoptic S, krople do oczu, zawiesina, 2,5 mg/ml
10 ml
5909990186525
159
Betaxololum
Optibetol 0,5%, krople do oczu, roztwór, 5 mg/ml
5 ml (but.)
5909990925513
160
Budesonidum
Benodil, zawiesina do nebulizacji, 0,125 mg/ml
20 amp.po 2 ml
5909991283629
161
Budesonidum
Benodil, zawiesina do nebulizacji, 0,25 mg/ml
20 amp.po 2 ml
5909991283650
162
Budesonidum
Benodil, zawiesina do nebulizacji, 0,5 mg/ml
20 amp.po 2 ml
5909991283698
163
Budesonidum
Budelin Novolizer 200, proszek do inhalacji, 200 µg/dawkę inhalacyjną
1 poj.po 2,18 g proszku (200 daw.) + inhal. Novolizer
5909991033224
164
Budesonidum
Budelin Novolizer 200, proszek do inhalacji, 200 µg/dawkę inhalacyjną
1 poj.po 2,18 g proszku (200 daw.)
5909991033248
165
Budesonidum
Budesonide Easyhaler, proszek do inhalacji, 100 µg/dawkę
1 inh.po 200 daw. + opak. ochronne (zestaw startowy)
5909990337354
166
Budesonidum
Budesonide Easyhaler, proszek do inhalacji, 200 µg/dawkę
1 inh.po 200 daw. + opak. ochronne (zestaw startowy)
5909990337323
167
Budesonidum
Budesonide Easyhaler, proszek do inhalacji, 400 µg/dawkę
1 inh.po 100 daw. + opak. ochronne (zestaw startowy)
5909990337286
60 kaps.
5909991204082
Budezonid LEK-AM, proszek do inhalacji w kaps. twardych, 200 µg/dawkę
inhalacyjną
Budezonid LEK-AM, proszek do inhalacji w kaps. twardych, 400 µg/dawkę
inhalacyjną
168
Budesonidum
169
Budesonidum
60 kaps.
5909991203986
170
Budesonidum
Budiair, aerozol inhalacyjny, roztwór, 200 µg/dawkę odmierzoną
1 poj.po 200 daw. odmierzonych + inh.
5909990335169
171
Budesonidum
Budiair, aerozol inhalacyjny, roztwór, 200 µg/dawkę odmierzoną
1 poj.po 200 daw. odmierzonych + inh. z komorą inhalacyjną Jet
5909990335176
172
Budesonidum
Miflonide, proszek do inhalacji w kaps. twardych, 200 µg
60 szt. (6 blist.po 10 szt.)
5909990926213
173
Budesonidum
Miflonide, proszek do inhalacji w kaps. twardych, 400 µg
60 szt. (6 blist.po 10 szt.)
5909990926312
174
Budesonidum
Nebbud, zawiesina do nebulizacji, 0,25 mg/2 ml
20 szt.
5909991107925
175
Budesonidum
Nebbud, zawiesina do nebulizacji, 0,25 mg/ml
20 amp. po 2 ml
5909991005696
lp.
Substancja czynna
Nazwa, postać i dawka leku, środka spożywczego specjalnego przeznaczenia
żywieniowego albo wyrobu medycznego
Zawartość opakowania
Kod EAN lub inny kod odpowiadający kodowi
EAN
1
2
3
4
5
176
Budesonidum
Nebbud, zawiesina do nebulizacji, 0,5 mg/ml
20 amp. po 2 ml
5909991005733
177
Budesonidum
Pulmicort Turbuhaler, proszek do inhalacji, 100 µg/dawkę inhalacyjną
1 poj.po 200 daw.
5909990677313
178
Budesonidum
Pulmicort Turbuhaler, proszek do inhalacji, 200 µg/dawkę inhalacyjną
1 poj.po 100 daw.
5909990677412
179
Budesonidum
Pulmicort, zawiesina do nebulizacji, 0,125 mg/ml
20 poj.po 2 ml
5909990445615
180
Budesonidum
Pulmicort, zawiesina do nebulizacji, 0,25 mg/ml
20 poj.po 2 ml
5909990445714
181
Budesonidum
Pulmicort, zawiesina do nebulizacji, 0,5 mg/ml
20 poj.po 2 ml
5909990445813
182
Budesonidum
Pulmicort, zawiesina do nebulizacji, 0,5 mg/ml
20 poj.po 2 ml
5909991233099
183
Budesonidum
Pulmicort, zawiesina do nebulizacji, 0,5 mg/ml
20 poj.po 2 ml
5909991269784
184
Budesonidum
Ribuspir, aerozol inhalacyjny, roztwór, 200 µg/dawkę odmierzoną
1 poj.po 200 daw. odmierzonych + inh.
5909990335183
185
Budesonidum
Ribuspir, aerozol inhalacyjny, roztwór, 200 µg/dawkę odmierzoną
1 poj.po 200 daw. odmierzonych + inh. z komorą inhalacyjną Jet
5909990335190
186
Buspironum
Spamilan, tabl., 10 mg
60 szt. (6 blist.po 10 szt.)
5909990073603
187
Buspironum
Spamilan, tabl., 10 mg
60 szt.
5909997201450
188
Buspironum
Spamilan, tabl., 10 mg
60 szt.
5909997213538
189
Buspironum
Spamilan, tabl., 5 mg
60 szt. (6 blist.po 10 szt.)
5909990073597
190
Candesartanum cilexetilum
Atacand, tabl., 16 mg
28 szt. (2 blist.po 14 szt.)
5909990430123
191
Candesartanum cilexetilum
Atacand, tabl., 8 mg
14 szt. (1 blist.po 14 szt.)
5909990430017
192
Candesartanum cilexetilum
Atacand, tabl., 8 mg
28 szt. (2 blist.po 14 szt.)
5909990430024
193
Candesartanum cilexetilum
Candepres, tabl., 16 mg
28 szt. (4 blist.po 7 szt.)
5909990739653
194
Candesartanum cilexetilum
Candepres, tabl., 32 mg
28 tabl.
5909990739707
195
Candesartanum cilexetilum
Candepres, tabl., 8 mg
28 szt. (4 blist.po 7 szt.)
5909990739592
196
Candesartanum cilexetilum
Carzap, tabl., 16 mg
28 tabl.
5909990937172
197
Candesartanum cilexetilum
Carzap, tabl., 16 mg
56 szt.
5909990937196
198
Candesartanum cilexetilum
Carzap, tabl., 32 mg
28 tabl.
5909990937264
199
Candesartanum cilexetilum
Carzap, tabl., 8 mg
28 tabl.
5909990937080
200
Candesartanum cilexetilum
Carzap, tabl., 8 mg
56 szt.
5909990937103
201
Candesartanum cilexetilum
Kandesar, tabl., 16 mg
28 szt.
5909990962945
202
Candesartanum cilexetilum
Kandesar, tabl., 8 mg
28 szt.
5909990962839
203
Candesartanum cilexetilum
Kangen, tabl., 16 mg
28 szt.
5909991020507
204
Candesartanum cilexetilum
Kangen, tabl., 8 mg
28 szt.
5909991020309
205
Candesartanum cilexetilum
Karbis, tabl., 16 mg
28 szt.
5909990772193
lp.
Substancja czynna
Nazwa, postać i dawka leku, środka spożywczego specjalnego przeznaczenia
żywieniowego albo wyrobu medycznego
Zawartość opakowania
Kod EAN lub inny kod odpowiadający kodowi
EAN
1
2
3
4
5
206
Candesartanum cilexetilum
Karbis, tabl., 16 mg
56 tabl.
5909990772209
207
Candesartanum cilexetilum
Karbis, tabl., 32 mg
28 tabl.
5909990772230
208
Candesartanum cilexetilum
Karbis, tabl., 8 mg
28 szt.
5909990772162
209
Candesartanum cilexetilum
Karbis, tabl., 8 mg
56 tabl.
5909990772179
210
Candesartanum cilexetilum
Ranacand, tabl., 16 mg
28 szt.
5909990801350
Candesartanum cilexetilum
Ranacand, tabl., 8 mg
28 szt.
5909990801367
Candepres HCT, tabl., 16+12,5 mg
28 szt.
5909990800629
Candepres HCT, tabl., 32+12,5 mg
28 szt.
5909991063702
Candepres HCT, tabl., 32+25 mg
28 szt.
5909991064051
Candepres HCT, tabl., 8+12,5 mg
28 szt.
5909990800360
Candesartan + HCT Genoptim, tabl., 16+12,5 mg
28 tabl.
5909991190699
Candesartan + HCT Genoptim, tabl., 8+12,5 mg
28 tabl.
5909991190552
Carzap HCT, tabl., 16+12,5 mg
28 szt.
5909990957255
Carzap HCT, tabl., 16+12,5 mg
56 szt.
5909990957279
Carzap HCT, tabl., 8+12,5 mg
28 szt.
5909990957170
Carzap HCT, tabl., 8+12,5 mg
56 szt.
5909990957194
Karbicombi, tabl. powl., 16+12,5 mg
56 szt.
5909990865185
Karbicombi, tabl. powl., 32+12,5 mg
28 szt.
5909990865222
Karbicombi, tabl. powl., 32+25 mg
28 szt.
5909990865260
Karbicombi, tabl. powl., 8+12,5 mg
28 szt.
5909990865130
Karbicombi, tabl. powl., 8+12,5 mg
56 szt.
5909990865147
Karbicombi, tabl., 16+12,5 mg
28 szt.
5909990865178
Karbicombi, tabl., 16+12,5 mg
84 szt.
5909991136840
Karbicombi, tabl., 8+12,5 mg
84 szt.
5909991136833
211
212
213
214
215
216
217
218
219
220
221
222
223
224
225
226
227
228
229
Candesartanum cilexetilum +
Hydrochlorothiazidum
Candesartanum cilexetilum +
Hydrochlorothiazidum
Candesartanum cilexetilum +
Hydrochlorothiazidum
Candesartanum cilexetilum +
Hydrochlorothiazidum
Candesartanum cilexetilum +
Hydrochlorothiazidum
Candesartanum cilexetilum +
Hydrochlorothiazidum
Candesartanum cilexetilum +
Hydrochlorothiazidum
Candesartanum cilexetilum +
Hydrochlorothiazidum
Candesartanum cilexetilum +
Hydrochlorothiazidum
Candesartanum cilexetilum +
Hydrochlorothiazidum
Candesartanum cilexetilum +
Hydrochlorothiazidum
Candesartanum cilexetilum +
Hydrochlorothiazidum
Candesartanum cilexetilum +
Hydrochlorothiazidum
Candesartanum cilexetilum +
Hydrochlorothiazidum
Candesartanum cilexetilum +
Hydrochlorothiazidum
Candesartanum cilexetilum +
Hydrochlorothiazidum
Candesartanum cilexetilum +
Hydrochlorothiazidum
Candesartanum cilexetilum +
Hydrochlorothiazidum
230
Carvedilolum
Atram 12,5, tabl., 12,5 mg
30 szt. (2 blist.po 15 szt.)
5909990570430
231
Carvedilolum
Atram 25, tabl., 25 mg
30 szt. (3 blist.po 10 szt.)
5909990570409
lp.
Substancja czynna
Nazwa, postać i dawka leku, środka spożywczego specjalnego przeznaczenia
żywieniowego albo wyrobu medycznego
Zawartość opakowania
Kod EAN lub inny kod odpowiadający kodowi
EAN
1
2
3
4
5
232
Carvedilolum
Atram 6,25, tabl., 6,25 mg
30 szt. (2 blist.po 15 szt.)
5909990570454
233
Carvedilolum
Avedol, tabl. powl., 12,5 mg
30 szt. (3 blist.po 10 szt.)
5909990074099
234
Carvedilolum
Avedol, tabl. powl., 25 mg
30 szt. (3 blist.po 10 szt.)
5909990074129
235
Carvedilolum
Avedol, tabl. powl., 6,25 mg
30 szt. (3 blist.po 10 szt.)
5909990074051
236
Carvedilolum
Carvedilol-ratiopharm, tabl., 12,5 mg
30 szt. (3 blist.po 10 szt.)
5909990727148
237
Carvedilolum
Carvedilol-ratiopharm, tabl., 25 mg
30 szt. (3 blist.po 10 szt.)
5909990727193
238
Carvedilolum
Carvedilol-ratiopharm, tabl., 6,25 mg
30 szt. (3 blist.po 10 szt.)
5909990727100
239
Carvedilolum
Carvedilolum 123ratio, tabl., 12,5 mg
30 szt. (3 blist.po 10 szt.)
5909990338856
240
Carvedilolum
Carvedilolum 123ratio, tabl., 25 mg
30 tabl. (3 blist.po 10 szt.)
5909990338931
241
Carvedilolum
Carvedilolum 123ratio, tabl., 6,25 mg
30 szt. (3 blist.po 10 szt.)
5909990338788
242
Carvedilolum
Carvetrend, tabl., 12,5 mg
30 szt. (2 blist.po 15 szt.)
5909991017019
243
Carvedilolum
Carvetrend, tabl., 25 mg
30 szt. (1 blist.po 30 szt.)
5909991017118
244
Carvedilolum
Carvetrend, tabl., 3,125 mg
30 szt. (2 blist.po 15 szt.)
5909991016814
245
Carvedilolum
Carvetrend, tabl., 6,25 mg
30 szt. (2 blist.po 15 szt.)
5909991016913
246
Carvedilolum
Coryol 12,5 mg, tabl., 12,5 mg
30 szt.
5909990216505
247
Carvedilolum
Coryol 25 mg, tabl., 25 mg
30 szt.
5909990216567
248
Carvedilolum
Coryol 3,125 mg, tabl., 3,125 mg
30 szt.
5909990216604
249
Carvedilolum
Coryol, tabl., 6,25 mg
30 szt.
5909990983315
250
Carvedilolum
Dilatrend, tabl., 25 mg
30 szt. (3 blist.po 10 szt.)
5909990717613
251
Carvedilolum
Dilatrend, tabl., 6,25 mg
30 szt. (3 blist.po 10 szt.)
5909990716111
252
Carvedilolum
Hypoten, tabl. powl., 12,5 mg
30 szt. (3 blist.po 10 szt.)
5909990048489
253
Carvedilolum
Hypoten, tabl. powl., 12,5 mg
100 szt. (10 blist.po 10 szt.)
5909990048496
254
Carvedilolum
Hypoten, tabl. powl., 25 mg
30 szt. (3 blist.po 10 szt.)
5909990048502
255
Carvedilolum
Hypoten, tabl. powl., 25 mg
100 szt. (10 blist.po 10 szt.)
5909990048540
256
Carvedilolum
Hypoten, tabl. powl., 6,25 mg
30 szt. (3 blist.po 10 szt.)
5909990048465
257
Carvedilolum
Hypoten, tabl. powl., 6,25 mg
100 szt. (10 blist.po 10 szt.)
5909990048472
258
Carvedilolum
Symtrend, tabl. powl., 12,5 mg
30 szt. (3 blist.po 10 szt.)
5909990074754
259
Carvedilolum
Symtrend, tabl. powl., 25 mg
30 szt. (3 blist.po 10 szt.)
5909990074662
260
Carvedilolum
Symtrend, tabl. powl., 6,25 mg
30 szt. (3 blist.po 10 szt.)
5909990074792
261
Carvedilolum
Vivacor, tabl., 12,5 mg
30 szt. (3 blist.po 10 szt.)
5909990687909
lp.
Substancja czynna
Nazwa, postać i dawka leku, środka spożywczego specjalnego przeznaczenia
żywieniowego albo wyrobu medycznego
Zawartość opakowania
Kod EAN lub inny kod odpowiadający kodowi
EAN
1
2
3
4
5
262
Carvedilolum
Vivacor, tabl., 12,5 mg
60 szt. (6 blist.po 10 szt.)
5909990687930
263
Carvedilolum
Vivacor, tabl., 25 mg
30 szt. (3 blist.po 10 szt.)
5909990687862
264
Carvedilolum
Vivacor, tabl., 25 mg
60 szt. (6 blist.po 10 szt.)
5909990687879
265
Carvedilolum
Vivacor, tabl., 6,25 mg
30 szt. (3 blist.po 10 szt.)
5909990687886
266
Carvedilolum
Vivacor, tabl., 6,25 mg
60 szt. (6 blist.po 10 szt.)
5909990687893
267
Ciprofibratum
Lipanor, kaps., 100 mg
30 kaps. (3 blist.po 10 szt.)
5909990376612
268
Clonidinum
Iporel, tabl., 75 µg
50 szt.
5909990282814
269
Clopamidum
Clopamid VP, tabl., 20 mg
20 szt. (1 blist.po 20 szt.)
5909990141012
270
Clopidogrelum
Agregex, tabl. powl., 75 mg
28 szt. (4 blist.po 7 szt.)
5909990754748
271
Clopidogrelum
Agregex, tabl. powl., 75 mg
28 szt.
5909991251949
272
Clopidogrelum
Areplex, tabl. powl., 75 mg
28 szt. (2 blist.po 14 szt.)
5909991167011
273
Clopidogrelum
Carder, tabl. powl., 75 mg
28 szt. (2 blist.po 14 szt.)
5909990760244
274
Clopidogrelum
Clopidix, tabl. powl., 75 mg
28 szt. (2 blist.po 14 szt.)
5909990625826
275
Clopidogrelum
Clopidogrel Apotex, tabl. powl., 75 mg
28 szt.
5909990774401
276
Clopidogrelum
Clopidogrel Genoptim, tabl. powl., 75 mg
28 tabl.
5909990762194
277
Clopidogrelum
Clopidogrel KRKA, tabl. powl., 75 mg
28 szt.
5909991029388
278
Clopidogrelum
Clopidogrel Teva, tabl. powl., 75 mg
28 szt.
5909990718245
279
Clopidogrelum
Grepid, tabl. powl., 75 mg
28 szt.
5909990727667
280
Clopidogrelum
Pegorel, tabl. powl., 75 mg
28 szt.
5909990793730
281
Clopidogrelum
Plavocorin, tabl. powl., 75 mg
28 szt. (2 blist.po 14 szt.)
5909990762729
282
Clopidogrelum
Trombex, tabl. powl., 75 mg
28 szt.
5909990821921
283
Clopidogrelum
Vixam, tabl., 75 mg
30 szt.
5909990866533
284
Clopidogrelum
Zyllt, tabl. powl., 75 mg
28 szt.
5909991109219
285
Dabigatranum etexilatum
Pradaxa, kaps. twarde, 110 mg
10 szt.
5909990641253
286
Dabigatranum etexilatum
Pradaxa, kaps. twarde, 110 mg
30 szt.
5909990641260
287
Dabigatranum etexilatum
Pradaxa, kaps. twarde, 150 mg
30 kaps.
5909990887453
288
Dabigatranum etexilatum
Pradaxa, kaps. twarde, 75 mg
10 szt.
5909990641215
289
Dabigatranum etexilatum
Pradaxa, kaps. twarde, 75 mg
30 szt.
5909990641222
290
Denosumabum
Prolia, roztwór do wstrzykiwań, 60 mg/1 ml
1 amp.-strz.po 1 ml
5909990761647
291
Donepezilum
Apo-Doperil, tabl. powl., 10 mg
28 szt.
5909990770045
lp.
Substancja czynna
Nazwa, postać i dawka leku, środka spożywczego specjalnego przeznaczenia
żywieniowego albo wyrobu medycznego
Zawartość opakowania
Kod EAN lub inny kod odpowiadający kodowi
EAN
1
2
3
4
5
292
Donepezilum
Apo-Doperil, tabl. powl., 5 mg
28 szt.
5909990770038
293
Donepezilum
Cogiton 10, tabl. powl., 10 mg
28 szt.
5909991024413
294
Donepezilum
Cogiton 10, tabl. powl., 10 mg
56 szt.
5909991024420
295
Donepezilum
Cogiton 5, tabl. powl., 5 mg
28 szt.
5909991024314
296
Donepezilum
Donecept, tabl. powl., 10 mg
28 szt. (4 blist.po 7 szt.)
5909990689873
297
Donepezilum
Donecept, tabl. powl., 10 mg
28 szt.
5909991266509
298
Donepezilum
Donecept, tabl. powl., 5 mg
28 szt. (4 blist.po 7 szt.)
5909990689781
299
Donepezilum
Donectil ODT, tabl. ulegające rozpadowi w jamie ustnej, 10 mg
30 szt.
5909990851492
300
Donepezilum
Donectil ODT, tabl. ulegające rozpadowi w jamie ustnej, 5 mg
30 szt.
5909990851478
301
Donepezilum
Donectil, tabl. powl., 10 mg
28 szt. (2 blist.po 14 szt.)
5909990683666
302
Donepezilum
Donectil, tabl. powl., 5 mg
28 szt. (2 blist.po 14 szt.)
5909990683581
303
Donepezilum
Donepesan, tabl. powl., 10 mg
30 szt.
5909991095246
304
Donepezilum
Donepesan, tabl. powl., 5 mg
30 szt.
5909991095109
305
Donepezilum
Donepestan, tabl. powl., 10 mg
84 szt.
5909990825738
306
Donepezilum
Donepestan, tabl. powl., 5 mg
84 szt.
5909990825622
307
Donepezilum
Donepex, tabl. powl., 10 mg
28 szt.
5909991056018
308
Donepezilum
Donepex, tabl. powl., 5 mg
28 szt.
5909991055912
309
Donepezilum
Donepezil Bluefish, tabl. powl., 10 mg
28 szt.
5909990814138
310
Donepezilum
Donepezil Bluefish, tabl. powl., 5 mg
28 szt.
5909990814077
311
Donepezilum
Donepezil Hydrochloride Accord, tabl. powl., 10 mg
98 szt.
5909990825745
312
Donepezilum
Donepezil Hydrochloride Accord, tabl. powl., 5 mg
98 szt.
5909990825639
313
Donepezilum
Donepezil Polfarmex, tabl., 10 mg
28 szt.
5909990877669
314
Donepezilum
Donepezil Polfarmex, tabl., 5 mg
28 szt.
5909990877553
315
Donepezilum
Doneprion, tabl. powl., 10 mg
28 tabl.
5909990776900
316
Donepezilum
Doneprion, tabl. powl., 5 mg
28 szt.
5909990776870
317
Donepezilum
Donestad, tabl. powl., 10 mg
28 szt.
5909990800353
318
Donepezilum
Donestad, tabl. powl., 5 mg
28 szt.
5909990800308
319
Donepezilum
Donesyn, tabl. powl., 10 mg
28 szt. (2 blist.po 14 szt.)
5909990657360
320
Donepezilum
Donesyn, tabl. powl., 5 mg
28 szt. (2 blist.po 14 szt.)
5909990657353
321
Donepezilum
Pamigen, tabl. powl., 10 mg
28 szt. (2 blist.po 14 szt.)
5909990726936
lp.
Substancja czynna
Nazwa, postać i dawka leku, środka spożywczego specjalnego przeznaczenia
żywieniowego albo wyrobu medycznego
Zawartość opakowania
Kod EAN lub inny kod odpowiadający kodowi
EAN
1
2
3
4
5
322
Donepezilum
Pamigen, tabl. powl., 5 mg
28 szt. (2 blist.po 14 szt.)
5909990726929
323
Donepezilum
Ricordo, tabl. ulegające rozpadowi w jamie ustnej, 10 mg
28 szt.
5909990798940
324
Donepezilum
Ricordo, tabl. ulegające rozpadowi w jamie ustnej, 5 mg
28 szt.
5909990798933
325
Donepezilum
Symepezil, tabl. powl., 10 mg
28 szt. (2 blist.po 14 szt.)
5909990662203
326
Donepezilum
Symepezil, tabl. powl., 10 mg
28 szt.
5909991275778
327
Donepezilum
Symepezil, tabl. powl., 5 mg
28 szt. (2 blist.po 14 szt.)
5909990662104
328
Donepezilum
Symepezil, tabl. powl., 5 mg
28 szt.
5909991275747
329
Donepezilum
Yasnal Q-Tab, tabl. ulegające rozpadowi w jamie ustnej, 10 mg
28 szt.
5909990850204
330
Donepezilum
Yasnal Q-Tab, tabl. ulegające rozpadowi w jamie ustnej, 5 mg
28 szt.
5909990850075
331
Donepezilum
Yasnal, tabl. powl., 10 mg
28 szt.
5909990993314
332
Donepezilum
Yasnal, tabl. powl., 5 mg
28 szt.
5909990993215
333
Doxazosinum
Apo-Doxan 1, tabl., 1 mg
30 szt.
5909990969517
334
Doxazosinum
Apo-Doxan 2, tabl., 2 mg
30 szt.
5909990969616
335
Doxazosinum
Apo-Doxan 4, tabl., 4 mg
30 szt.
5909990969715
336
Doxazosinum
Apo-Doxan 4, tabl., 4 mg
60 szt.
5909991271367
337
Doxazosinum
Cardura XL, tabl. o zmodyfikowanym uwalnianiu, 4 mg
30 tabl.
5909990431410
338
Doxazosinum
Cardura XL, tabl. o zmodyfikowanym uwalnianiu, 8 mg
30 szt.
5909990431519
339
Doxazosinum
Doxagen, tabl. o przedłużonym uwalnianiu, 4 mg
30 szt. (3 blist.po 10 szt.)
5909990037957
340
Doxazosinum
Doxalong, tabl. o przedłużonym uwalnianiu, 4 mg
30 szt.
5909990790951
341
Doxazosinum
Doxalong, tabl. o przedłużonym uwalnianiu, 4 mg
90 szt.
5909990884582
342
Doxazosinum
Doxanorm, tabl., 1 mg
30 szt. (3 blist.po 10 szt.)
5909990854318
343
Doxazosinum
Doxanorm, tabl., 2 mg
30 szt. (3 blist.po 10 szt.)
5909990854417
344
Doxazosinum
Doxanorm, tabl., 4 mg
30 szt. (3 blist.po 10 szt.)
5909990854516
345
Doxazosinum
Doxar, tabl., 1 mg
30 szt. (3 blist.po 10 szt.)
5909990484911
346
Doxazosinum
Doxar, tabl., 2 mg
30 szt. (3 blist.po 10 szt.)
5909990485017
347
Doxazosinum
Doxar, tabl., 2 mg
28 szt.
5909991276492
348
Doxazosinum
Doxar, tabl., 4 mg
120 tabl.
5908289660289
349
Doxazosinum
Doxar, tabl., 4 mg
30 szt. (3 blist.po 10 szt.)
5909990485116
350
Doxazosinum
Doxar, tabl., 4 mg
28 szt.
5909991276508
351
Doxazosinum
Doxonex, tabl., 2 mg
30 szt. (3 blist.po 10 szt.)
5909991149611
lp.
Substancja czynna
Nazwa, postać i dawka leku, środka spożywczego specjalnego przeznaczenia
żywieniowego albo wyrobu medycznego
Zawartość opakowania
Kod EAN lub inny kod odpowiadający kodowi
EAN
1
2
3
4
5
352
Doxazosinum
Doxonex, tabl., 4 mg
30 szt. (3 blist.po 10 szt.)
5909991149710
353
Doxazosinum
Dozox, tabl., 4 mg
30 tabl.
5901720140005
354
Doxazosinum
Dozox, tabl., 4 mg
90 tabl.
5901720140012
355
Doxazosinum
Kamiren XL, tabl. o zmodyfikowanym uwalnianiu, 4 mg
30 szt. (3 blist.po 10 szt.)
5909990022571
356
Doxazosinum
Kamiren XL, tabl. o zmodyfikowanym uwalnianiu, 4 mg
60 szt.
5909991013820
357
Doxazosinum
Kamiren, tabl., 2 mg
30 szt. (3 blist.po 10 szt.)
5909990491315
358
Doxazosinum
Kamiren, tabl., 4 mg
30 szt. (3 blist.po 10 szt.)
5909990491414
359
Doxazosinum
Zoxon 1, tabl., 1 mg
30 szt. (2 blist.po 15 szt.)
5909990903320
360
Doxazosinum
Zoxon 2, tabl., 2 mg
30 szt. (3 blist.po 10 szt.)
5909990903429
361
Doxazosinum
Zoxon 4, tabl., 4 mg
90 szt. (9 blist.po 10 szt.)
5909990080267
362
Doxazosinum
Zoxon 4, tabl., 4 mg
30 szt. (3 blist.po 10 szt.)
5909990903511
363
Eprosartanum
Teveten, tabl. powl., 600 mg
14 szt. (1 blist.po 14 szt.)
5909990868414
364
Ezetimibum
Ezetrol, tabl., 10 mg
28 szt.
5909990221066
365
Felodipinum
Plendil, tabl. o przedłużonym uwalnianiu, 10 mg
28 szt.
5909990344918
366
Felodipinum
Plendil, tabl. o przedłużonym uwalnianiu, 5 mg
28 szt.
5909990344819
367
Fenofibratum
Apo-Feno 200 M, kaps. twarde, 200 mg
30 szt.
5909990909414
368
Fenofibratum
Biofibrat, kaps. twarde, 200 mg
30 szt.
5909990754496
369
Fenofibratum
Biofibrat, kaps. twarde, 267 mg
30 szt.
5909990754526
370
Fenofibratum
Fenardin, kaps. twarde, 160 mg
30 szt. (3 blist.po 10)
5909990713974
371
Fenofibratum
Fenardin, kaps. twarde, 267 mg
30 szt. (3 blist.po 10 szt.)
5909990611065
372
Fenofibratum
Grofibrat 200, kaps., 200 mg
30 szt.
5909990492114
373
Fenofibratum
Grofibrat S, tabl. powl., 160 mg
30 tabl.
5909991212339
374
Fenofibratum
Grofibrat S, tabl. powl., 215 mg
30 tabl.
5909991201173
375
Fenofibratum
Grofibrat, kaps., 100 mg
50 szt.
5909990109814
376
Fenofibratum
Lipanthyl 200M, kaps., 200 mg
30 szt. (2 blist.po 15 szt.)
5909990687947
377
Fenofibratum
Lipanthyl 267M, kaps. twarde, 267 mg
30 szt.
5909997204659
378
Fenofibratum
Lipanthyl 267M, kaps., 267 mg
30 szt.
5909990492817
379
Fenofibratum
Lipanthyl Supra 160, tabl. powl., 160 mg
30 szt. (3 blist.po 10 szt.)
5909990903917
380
Fenofibratum
Lipanthyl Supra 215 mg, tabl. powl., 215 mg
30 szt. (3 blist.po 10 szt.)
5909990431342
381
Fenoterolum + Ipratropii bromidum
Berodual N, aerozol inhalacyjny, roztwór, 50+21 µg/dawkę inhalacyjną
1 poj.a 200 dawek
5909990917815
lp.
Substancja czynna
Nazwa, postać i dawka leku, środka spożywczego specjalnego przeznaczenia
żywieniowego albo wyrobu medycznego
Zawartość opakowania
Kod EAN lub inny kod odpowiadający kodowi
EAN
1
2
3
4
5
382
Fenoterolum + Ipratropii bromidum
Berodual, roztwór do nebulizacji, 0,5+0,25 mg/ml
20 ml
5909990101917
383
Fluoxetinum
Andepin, kaps. twarde, 20 mg
30 szt. (3 blist.po 10 szt.)
5909991065515
384
Fluoxetinum
Bioxetin, tabl., 20 mg
30 szt.
5909990372317
385
Fluoxetinum
Deprexetin, kaps., 20 mg
30 szt. (3 blist.po 10 szt.)
5909990747610
386
Fluoxetinum
Fluoksetyna EGIS, kaps. twarde, 20 mg
28 szt.
5909990776955
387
Fluoxetinum
Fluoxetin Polpharma, kaps. twarde, 20 mg
30 szt. (3 blist.po 10 szt.)
5909990770311
388
Fluoxetinum
Fluxemed, kaps. twarde, 20 mg
30 szt. (3 blist.po 10 szt.)
5909990742509
389
Fluoxetinum
Seronil, kaps. twarde, 20 mg
30 szt. (3 blist.po 10 szt.)
5909990374410
390
Fluoxetinum
Seronil, kaps. twarde, 20 mg
100 szt. (10 blist.po 10 szt.)
5909990374427
391
Fluoxetinum
Seronil, tabl. powl., 10 mg
30 szt. (3 blist.po 10 szt.)
5909990374311
392
Fluoxetinum
Seronil, tabl. powl., 10 mg
100 szt. (10 blist.po 10 szt.)
5909990374328
393
Fluvoxaminum
Fevarin, tabl. powl., 100 mg
30 szt.
5909990347827
394
Fluvoxaminum
Fevarin, tabl. powl., 50 mg
60 szt.
5909990347728
395
Glycopyrronii bromidum
Seebri Breezhaler, proszek do inhalacji w kaps. twardej, 44 µg
30x1 kapsułka (dawka pojedyncza) + 1 inhalator
5909991000882
396
Indacaterolum
Onbrez Breezhaler, proszek do inhalacji w kaps. twardej, 150 µg
30 szt. + inhalator
5909990738397
397
Indacaterolum
Onbrez Breezhaler, proszek do inhalacji w kaps. twardej, 300 µg
30 szt. + inhalator
5909990738472
398
Indapamidum
Diuresin SR, tabl. powl. o przedłużonym uwalnianiu, 1,5 mg
30 szt. (3 blist.po 10 szt.)
5909990975815
399
Indapamidum
Diuresin SR, tabl. powl. o przedłużonym uwalnianiu, 1,5 mg
60 szt. (6 blist.po 10 szt.)
5909991276621
400
Indapamidum
Indapamide KRKA, tabl. o przedłużonym uwalnianiu, 1,5 mg
30 szt.
5909990957125
401
Indapamidum
Indapamide SR Genoptim, tabl. o przedłużonym uwalnianiu, 1,5 mg
30 tabl.
5909990799398
402
Indapamidum
Indapamide SR Mercapharm, tabl. powl. o przedłużonym uwalnianiu, 1,5 mg
30 szt.
5909991271671
403
Indapamidum
Indapamide SR, tabl. o przedłużonym uwalnianiu, 1,5 mg
30 szt.
5909990644933
404
Indapamidum
Indapamidum 123ratio, tabl. o przedłużonym uwalnianiu, 1,5 mg
30 szt. (3 blist.po 10 szt.)
5909990586806
405
Indapamidum
Indapen SR, tabl. o przedłużonym uwalnianiu, 1,5 mg
30 tabl. (3 blist.po 10 szt.)
5909990665907
406
Indapamidum
Indapen, tabl. powl., 2,5 mg
20 szt.
5909990863013
407
Indapamidum
Indapres, tabl. powl., 2,5 mg
30 szt.
5909990223121
408
Indapamidum
Indix SR, tabl. o przedł. uwalnianiu, 1,5 mg
30 szt.
5909991025014
409
Indapamidum
Ipres long 1,5, tabl. o przedłużonym uwalnianiu, 1,5 mg
30 szt. (3 blist.po 10 szt.)
5909990012688
410
Indapamidum
Ivipamid, tabl. o przedłużonym uwalnianiu, 1,5 mg
30 szt.
5909990834730
411
Indapamidum
Opamid, tabl. o przedłużonym uwalnianiu, 1,5 mg
30 szt. (3 blist.po 10 szt.)
5909990770182
lp.
Substancja czynna
Nazwa, postać i dawka leku, środka spożywczego specjalnego przeznaczenia
żywieniowego albo wyrobu medycznego
Zawartość opakowania
Kod EAN lub inny kod odpowiadający kodowi
EAN
1
2
3
4
5
412
Indapamidum
Rawel SR, tabl. powl. o przedłużonym uwalnianiu, 1,5 mg
30 szt. (3 blist.po 10 szt.)
5909990424801
413
Indapamidum
Rawel SR, tabl. powl. o przedłużonym uwalnianiu, 1,5 mg
60 szt. (6 blist.po 10 szt.)
5909990424849
414
Indapamidum
Symapamid SR, tabl. o przedłużonym uwalnianiu, 1,5 mg
30 szt. (3 blist.po 10 szt.)
5909990734993
415
Indapamidum
Tertensif SR, tabl. powl. o przedłużonym uwalnianiu, 1,5 mg
30 szt. (1 blist.po 30 szt.)
5909990738212
416
Indapamidum + Amlodipinum
Tertens-AM, tabl. o zmodyfikowanym uwalnianiu, 1,5+10 mg
30 szt.
5909991092566
417
Indapamidum + Amlodipinum
Tertens-AM, tabl. o zmodyfikowanym uwalnianiu, 1,5+5 mg
30 szt.
5909991092597
418
Insulini iniectio neutralis + Insulinum isophanum
Insuman Comb 25, zawiesina do wstrzykiwań, 100 j.m./ml
5 wkł.po 3 ml
5909990915613
419
Insulini iniectio neutralis + Insulinum isophanum
Mixtard 30 Penfill, zawiesina do wstrzykiwań we wkładzie, 100 j.m./ml
5 wkł.po 3 ml
5909990238323
420
Insulini iniectio neutralis + Insulinum isophanum
Mixtard 40 Penfill, zawiesina do wstrzykiwań we wkładzie, 100 j.m./ml
5 wkł.po 3 ml
5909990347124
421
Insulini iniectio neutralis + Insulinum isophanum
Mixtard 50 Penfill, zawiesina do wstrzykiwań we wkładzie, 100 j.m./ml
5 wkł.po 3 ml
5909990348121
422
Insulini iniectio neutralis + Insulinum isophanum
Polhumin Mix - 2, zawiesina do wstrzykiwań, 100 j.m./ml
5 wkł.po 3 ml
5909991022921
423
Insulini iniectio neutralis + Insulinum isophanum
Polhumin Mix - 3, zawiesina do wstrzykiwań, 100 j.m./ml
5 wkł.po 3 ml
5909991023027
424
Insulini iniectio neutralis + Insulinum isophanum
Polhumin Mix - 4, zawiesina do wstrzykiwań, 100 j.m./ml
5 wkł.po 3 ml
5909991023126
425
Insulini iniectio neutralis + Insulinum isophanum
Polhumin Mix - 5, zawiesina do wstrzykiwań, 100 j.m./ml
5 wkł.po 3 ml
5909991023324
426
Insulini injectio neutralis
Actrapid Penfill, roztwór do wstrzykiwań we wkładzie, 100 j.m./ml
5 wkł.po 3 ml
5909990237920
427
Insulini injectio neutralis
Insuman Rapid, roztwór do wstrzykiwań, 100 j.m./ml
5 wkł.po 3 ml
5909990914715
428
Insulinum aspartum
NovoMix 30 Penfill, zawiesina do wstrzykiwań we wkładzie, 100 j/ml
5 wkł.po 3 ml
5909990879915
429
Insulinum aspartum
NovoMix 50 Penfill, zawiesina do wstrzykiwań we wkładzie, 100 j/ml
5 wkł.po 3ml
5909990614981
430
Insulinum aspartum
NovoRapid Penfill, roztwór do wstrzykiwań we wkładzie, 100 j/ml
5 wkł.po 3 ml
5909990451814
431
Insulinum detemirum
Levemir, roztwór do wstrzykiwań we wkładzie, 100 j/ml
5 wkł.po 3 ml (Penfil)
5909990005741
432
Insulinum glargine
Abasaglar, roztwór do wstrzykiwań we wkładzie, 100 j.m./ml
10 wkł.po 3 ml
5909991201982
433
Insulinum glargine
Lantus, roztwór do wstrzykiwań, 100 j/ml
5 wstrzykiwaczy SoloStar po 3 ml
5909990617555
434
Insulinum glargine
Lantus, roztwór do wstrzykiwań, 100 j/ml
5 wkladów po 3 ml (do wstrzykiwaczy OptiPen/ClickStar)
5909990895717
435
Insulinum glargine
Toujeo, roztwór do wstrzykiwań we wstrzykiwaczu, 300 j/ml
10 wstrzykiwaczy SoloStar po 1,5 ml
5909991231538
436
Insulinum glulisinum
Apidra SoloStar, roztwór do wstrzykiwań, 100 j.m./ml
5 wstrz.po 3 ml
5909990617197
437
Insulinum glulisinum
Apidra, roztwór do wstrzykiwań, 100 j./ml
1 fiol.po 10 ml
5909990008483
438
Insulinum glulisinum
Apidra, roztwór do wstrzykiwań, 100 j./ml
5 wkł.po 3 ml OPTIPEN
5909990008575
439
Insulinum humanum
Gensulin M30 (30/70), zawiesina do wstrzykiwań, 100 j.m./ml
1 fiol.po 10 ml
5909990853014
440
Insulinum humanum
Gensulin M30 (30/70), zawiesina do wstrzykiwań, 100 j.m./ml
5 wkł.po 3 ml
5909990853113
441
Insulinum humanum
Gensulin M40 (40/60), zawiesina do wstrzykiwań, 100 j.m./ml
5 wkł.po 3 ml
5909990853311
lp.
Substancja czynna
Nazwa, postać i dawka leku, środka spożywczego specjalnego przeznaczenia
żywieniowego albo wyrobu medycznego
Zawartość opakowania
Kod EAN lub inny kod odpowiadający kodowi
EAN
1
2
3
4
5
442
Insulinum humanum
Gensulin M50 (50/50), zawiesina do wstrzykiwań, 100 j.m./ml
5 wkł.po 3 ml
5909990853519
443
Insulinum humanum
Gensulin N, zawiesina do wstrzykiwań, 100 j.m./ml
1 fiol.po 10 ml
5909990852314
444
Insulinum humanum
Gensulin N, zawiesina do wstrzykiwań, 100 j.m./ml
5 wkł.po 3 ml
5909990852413
445
Insulinum humanum
Gensulin R, roztwór do wstrzykiwań, 100 j.m./ml
1 fiol.po 10 ml
5909990852017
446
Insulinum humanum
Gensulin R, roztwór do wstrzykiwań, 100 j.m./ml
5 wkł.po 3 ml
5909990852116
447
Insulinum humanum
Humulin M3 (30/70), zawiesina do wstrzykiwań, 100 j.m./ml
5 wkł.po 3 ml
5909990246014
448
Insulinum humanum
Humulin N, zawiesina do wstrzykiwań, 100 j.m./ml
5 wkł.po 3 ml
5909990246717
449
Insulinum humanum
Humulin R, roztwór do wstrzykiwań, 100 j.m./ml
5 wkł.po 3 ml
5909990247011
5 wstrzykiwaczy SoloStar po 3 ml
5909990672448
5 wstrzykiwaczy SoloStar po 3 ml
5909990672585
5 wstrzykiwaczy SoloStar po 3 ml
5909990672363
Insuman Basal SoloStar 100 j.m./ml zawiesina do wstrzykiwań we wstrzykiwaczu,
zawiesina do wstrzykiwań, 100 j.m./ml
Insuman Comb 25 SoloStar 100 j.m./ml zawiesina do wstrzykiwań we
wstrzykiwaczu, zawiesina do wstrzykiwań, 100 j.m./ml
Insuman Rapid SoloStar 100 j.m./ml roztwór do wstrzykiwań we wstrzykiwaczu,
roztwór do wstrzykiwąń we wstrzykiwaczu, 100 j.m./ml
450
Insulinum humanum
451
Insulinum humanum
452
Insulinum humanum
453
Insulinum humanum
Polhumin N, zawiesina do wstrzykiwań, 100 j.m./ml
5 wkł.po 3 ml
5909991022525
454
Insulinum humanum
Polhumin R, roztwór do wstrzykiwań, 100 j.m./ml
5 wkł.po 3 ml
5909991022822
455
Insulinum isophanum
Insulatard Penfill, zawiesina do wstrzykiwań we wkładzie, 100 j.m./ml
5 wkł.po 3 ml
5909990348923
456
Insulinum isophanum
Insuman Basal, zawiesina do wstrzykiwań, 100 j.m./ml
5 wkł.po 3 ml
5909990915019
Humalog Mix25, zawiesina do wstrzykiwań, 100 j.m./ml
5 wkł.po 3 ml
5909990455010
Humalog Mix50, zawiesina do wstrzykiwań, 100 j.m./ml
5 wkł.po 3 ml
5909990455614
457
458
Insulinum lisprum zinci protaminati injectio +
Insulinum lisprum, injectio neutralis
Insulinum lisprum zinci protaminati injectio +
Insulinum lisprum, injectio neutralis
459
Insulinum lisprum, injectio neutralis
Humalog, roztwór do wstrzykiwań, 100 j.m./ml
5 wkł.po 3 ml
5909990692422
460
Irbesartanum
Ifirmasta, tabl. powl., 150 mg
28 szt.
5909990706280
461
Irbesartanum
Ifirmasta, tabl. powl., 300 mg
28 szt.
5909990706297
462
Irbesartanum
Irprestan, tabl. powl., 150 mg
28 szt.
5909990747085
463
Irbesartanum
Irprestan, tabl. powl., 300 mg
28 szt.
5909990747122
464
Irbesartanum
Irprestan, tabl. powl., 75 mg
28 szt.
5909990747054
465
Lacidipinum
Lacipil, tabl. powl., 2 mg
28 szt. (4 blist.po 7 szt.)
5909990650521
466
Lacidipinum
Lacipil, tabl. powl., 4 mg
28 szt. (4 blist.po 7 szt.)
5909990650620
467
Lacidipinum
Lacipil, tabl. powl., 6 mg
28 szt. (4 blist.po 7 szt.)
5909990625697
468
Lacidipinum
Lacydyna, tabl. powl., 4 mg
28 tabl.
5909991105563
469
Lacidipinum
Lacydyna, tabl. powl., 6 mg
28 tabl.
5909991105549
470
Lacidipinum
Lapixen, tabl. powl., 2 mg
56 szt.
5907695215205
lp.
Substancja czynna
Nazwa, postać i dawka leku, środka spożywczego specjalnego przeznaczenia
żywieniowego albo wyrobu medycznego
Zawartość opakowania
Kod EAN lub inny kod odpowiadający kodowi
EAN
1
2
3
4
5
471
Lacidipinum
Lapixen, tabl. powl., 2 mg
28 szt.
5909991134907
472
Lacidipinum
Lapixen, tabl. powl., 4 mg
56 szt.
5907695215212
473
Lacidipinum
Lapixen, tabl. powl., 4 mg
28 szt.
5909991134938
474
Lacidipinum
Lapixen, tabl. powl., 6 mg
56 szt.
5907695215229
475
Lacidipinum
Lapixen, tabl. powl., 6 mg
28 szt.
5909991134969
476
Losartanum
Apo-Lozart, tabl. powl., 50 mg
28 szt. (2 blist.po 14 szt.)
5909990702886
477
Losartanum
Cozaar, tabl. powl., 100 mg
28 szt. (2 blist.po 14 szt.)
5909991073428
478
Losartanum
Cozaar, tabl. powl., 50 mg
28 szt. (2 blist.po 14 szt.)
5909990674411
479
Losartanum
Lakea, tabl. powl., 50 mg
30 szt. (3 blist.po 10 szt.)
5909991108212
480
Losartanum
Loreblok, tabl. powl., 50 mg
28 szt.
5909990770601
481
Losartanum
Lorista, tabl. powl., 100 mg
28 szt. (4 blist.po 7 szt.)
5909990638659
482
Losartanum
Lorista, tabl. powl., 100 mg
28 szt.
5909991272340
483
Losartanum
Lorista, tabl. powl., 50 mg
56 szt. (4 blist.po 14 szt.)
5909990649112
484
Losartanum
Lorista, tabl. powl., 50 mg
84 szt. (6 blist.po 14 szt.)
5909990649129
485
Losartanum
Lorista, tabl. powl., 50 mg
28 szt. (4 blist.po 7 szt.)
5909990818914
486
Losartanum
Lorista, tabl. powl., 50 mg
28 szt.
5909991268404
487
Losartanum
Lorista, tabl. powl., 50 mg
56 szt.
5909991268411
488
Losartanum
Lorista, tabl. powl., 50 mg
84 szt.
5909991268428
489
Losartanum
Losacor, tabl. powl., 50 mg
30 szt. (3 blist.po 10 szt.)
5909991055110
490
Losartanum
Losagen, tabl. powl., 50 mg
28 szt. (2 blist.po 14 szt.)
5909990639885
491
Losartanum
Losartan Bluefish, tabl. powl., 50 mg
28 szt.
5909990760770
492
Losartanum
Losartan KRKA, tabl. powl., 50 mg
28 szt.
5909990956647
493
Losartanum
Losartan KRKA, tabl. powl., 50 mg
30 szt.
5909990956654
494
Losartanum
Losartanum 123ratio, tabl. powl., 50 mg
30 szt.
5909990862238
495
Losartanum
Losartic, tabl. powl., 50 mg
28 szt. (2 blist.po 14 szt.)
5909990621439
496
Losartanum
Lozap 50, tabl. powl., 50 mg
30 szt.
5909990573905
497
Losartanum
Presartan, tabl. powl., 100 mg
30 szt. (3 blist.po 10 szt.)
5909990724352
498
Losartanum
Presartan, tabl. powl., 50 mg
30 szt. (3 blist.po 10 szt.)
5909990724345
499
Losartanum
Rasoltan 50 mg, tabl. powl., 50 mg
28 szt. (2 blist.po 14 szt.)
5909990085644
500
Losartanum
Xartan, tabl. powl., 50 mg
30 szt.
5909990481118
lp.
Substancja czynna
Nazwa, postać i dawka leku, środka spożywczego specjalnego przeznaczenia
żywieniowego albo wyrobu medycznego
Zawartość opakowania
Kod EAN lub inny kod odpowiadający kodowi
EAN
1
2
3
4
5
501
Losartanum
Zeprez, tabl. powl., 50 mg
30 szt.
5909990887194
502
Losartanum + Amlodipinum
Alortia, tabl. powl., 100+10 mg
30 tabl.
5909991105853
503
Losartanum + Amlodipinum
Alortia, tabl. powl., 100+5 mg
30 tabl.
5909991105785
504
Losartanum + Amlodipinum
Alortia, tabl. powl., 50+10 mg
30 tabl.
5909991105723
505
Losartanum + Amlodipinum
Alortia, tabl. powl., 50+10 mg
60 tabl.
5909991105747
506
Losartanum + Amlodipinum
Alortia, tabl. powl., 50+10 mg
90 tabl.
5909991105761
507
Losartanum + Amlodipinum
Alortia, tabl. powl., 50+5 mg
30 tabl.
5909991105655
508
Losartanum + Amlodipinum
Alortia, tabl. powl., 50+5 mg
60 tabl.
5909991105679
509
Losartanum + Amlodipinum
Alortia, tabl. powl., 50+5 mg
90 tabl.
5909991105693
510
Losartanum + Hydrochlorothiazidum
Hyzaar Forte, tabl. powl., 100+25 mg
28 szt. (2 blist.po 14 szt.)
5909990970513
511
Losartanum + Hydrochlorothiazidum
Hyzaar, tabl. powl., 50+12,5 mg
28 szt. (2 blist.po 14 szt.)
5909990433612
512
Losartanum + Hydrochlorothiazidum
Loreblok HCT, tabl. powl., 50+12,5 mg
28 szt.
5909990778843
513
Losartanum + Hydrochlorothiazidum
Lorista H, tabl. powl., 50+12,5 mg
28 szt. (4 blist.po 7 szt.)
5909990337392
514
Losartanum + Hydrochlorothiazidum
Lorista H, tabl. powl., 50+12,5 mg
56 szt. (4 blist.po 14 szt.)
5909990686339
515
Losartanum + Hydrochlorothiazidum
Lorista H, tabl. powl., 50+12,5 mg
84 szt. (6 blist.po 14 szt.)
5909990686360
516
Losartanum + Hydrochlorothiazidum
Lorista HD, tabl. powl., 100+25 mg
28 szt. (4 blist.po 7 szt.)
5909990645565
517
Losartanum + Hydrochlorothiazidum
Lorista HL, tabl. powl., 100+12,5 mg
28 szt.
5909990816484
518
Losartanum + Hydrochlorothiazidum
Losacor HCT, tabl. powl., 50+12,5 mg
28 szt. (4 blist.po 7 szt.)
5909990729685
519
Losartanum + Hydrochlorothiazidum
Losartan HCT Bluefish, tabl. powl., 100+25 mg
28 tabl.
5909990810796
520
Losartanum + Hydrochlorothiazidum
Losartan HCT Bluefish, tabl. powl., 50+12,5 mg
28 szt.
5909990810758
521
Losartanum + Hydrochlorothiazidum
Losartan Hydrochlorothiazyd KRKA, tabl. powl., 50+12,5 mg
28 szt.
5909990822980
522
Losartanum + Hydrochlorothiazidum
Lozap HCT, tabl. powl., 50+12,5 mg
30 szt. (3 blist.po 10 szt.)
5909990611980
523
Losartanum + Hydrochlorothiazidum
Presartan H, tabl. powl., 100+25 mg
30 szt. (3 blist.po 10 szt.)
5909990721894
524
Losartanum + Hydrochlorothiazidum
Presartan H, tabl. powl., 50+12,5 mg
30 szt. (3 blist.po 10 szt.)
5909990721641
525
Losartanum + Hydrochlorothiazidum
Xartan HCT, tabl. powl., 100+25 mg
28 szt.
5909990925971
526
Losartanum + Hydrochlorothiazidum
Xartan HCT, tabl. powl., 50+12,5 mg
28 szt.
5909990925964
527
Lovastatinum
Liprox, tabl., 20 mg
28 szt.
5909990842315
528
Lovastatinum
Lovasterol, tabl., 20 mg
28 szt. (2 blist.po 14 szt.)
5909990422159
529
Lovastatinum
Lovastin, tabl., 20 mg
28 szt.
5909990756629
530
Metforminum
Avamina, tabl. powl., 1000 mg
30 szt. (3 blist.po 10 szt.)
5909990765423
lp.
Substancja czynna
Nazwa, postać i dawka leku, środka spożywczego specjalnego przeznaczenia
żywieniowego albo wyrobu medycznego
Zawartość opakowania
Kod EAN lub inny kod odpowiadający kodowi
EAN
1
2
3
4
5
531
Metforminum
Avamina, tabl. powl., 1000 mg
60 szt. (6 blist.po 10 szt.)
5909990765430
532
Metforminum
Avamina, tabl. powl., 500 mg
30 szt. (3 blist.po 10 szt.)
5909990765379
533
Metforminum
Avamina, tabl. powl., 500 mg
60 szt. (6 blist.po 10 szt.)
5909990765386
534
Metforminum
Avamina, tabl. powl., 850 mg
30 szt. (3 blist.po 10 szt.)
5909990765393
535
Metforminum
Avamina, tabl. powl., 850 mg
60 szt. (6 blist.po 10 szt.)
5909990765409
536
Metforminum
Etform 500, tabl. powl., 500 mg
60 szt. (6 blist.po 10 szt.)
5909990698141
537
Metforminum
Etform 500, tabl. powl., 500 mg
90 szt. (9 blist.po 10 szt.)
5909990698172
538
Metforminum
Etform 850, tabl. powl., 850 mg
60 szt. (6 blist.po 10 szt.)
5909990698257
539
Metforminum
Etform 850, tabl. powl., 850 mg
90 szt. (9 blist.po 10 szt.)
5909990698271
540
Metforminum
Formetic, tabl. powl., 1000 mg
30 szt. (3 blist.po 10 szt.)
5909990078974
541
Metforminum
Formetic, tabl. powl., 1000 mg
60 szt. (6 blist.po 10 szt.)
5909990078981
542
Metforminum
Formetic, tabl. powl., 1000 mg
90 szt. (9 blist.po 10 szt.)
5909990078998
543
Metforminum
Formetic, tabl. powl., 500 mg
30 szt. (3 blist.po 10 szt.)
5909990078943
544
Metforminum
Formetic, tabl. powl., 500 mg
60 szt. (6 blist.po 10 szt.)
5909990078950
545
Metforminum
Formetic, tabl. powl., 500 mg
90 szt. (9 blist.po 10 szt.)
5909990078967
546
Metforminum
Formetic, tabl. powl., 850 mg
30 szt. (3 blist.po 10 szt.)
5909990079001
547
Metforminum
Formetic, tabl. powl., 850 mg
60 szt. (6 blist.po 10 szt.)
5909990079025
548
Metforminum
Formetic, tabl. powl., 850 mg
90 szt. (9 blist.po 10 szt.)
5909990079032
549
Metforminum
Glucophage 1000 mg, tabl. powl., 1000 mg
30 szt. (2 blist.po 15 szt.)
5909990717248
550
Metforminum
Glucophage 500 mg, tabl. powl., 500 mg
30 szt.
5909990789276
551
Metforminum
Glucophage 850 mg, tabl. powl., 850 mg
30 szt.
5909990789290
552
Metforminum
Glucophage XR, tabl. o przedłużonym uwalnianiu, 1000 mg
60 szt.
5909990864461
553
Metforminum
Glucophage XR, tabl. o przedłużonym uwalnianiu, 500 mg
30 szt. (2 blist.po 15 szt.)
5909990624751
554
Metforminum
Glucophage XR, tabl. o przedłużonym uwalnianiu, 500 mg
60 szt. (4 blist.po 15 szt.)
5909990624768
555
Metforminum
Glucophage XR, tabl. o przedłużonym uwalnianiu, 750 mg
30 szt. (2 blist.po 15 szt.)
5909990213429
556
Metforminum
Glucophage XR, tabl. o przedłużonym uwalnianiu, 750 mg
60 szt. (4 blist.po 15 szt.)
5909990213436
557
Metforminum
Glucophage, tabl. powl., 850 mg
60 szt.
5909990789306
558
Metforminum
Metfogamma 1000, tabl. powl., 1000 mg
30 szt. (2 blist.po 15 szt.)
5909990654598
559
Metforminum
Metfogamma 850, tabl. powl., 850 mg
30 szt. (3 blist.po 10 szt.)
5909991032913
560
Metforminum
Metformax 1000, tabl. powl., 1000 mg
30 szt.
5909990053056
lp.
Substancja czynna
Nazwa, postać i dawka leku, środka spożywczego specjalnego przeznaczenia
żywieniowego albo wyrobu medycznego
Zawartość opakowania
Kod EAN lub inny kod odpowiadający kodowi
EAN
1
2
3
4
5
561
Metforminum
Metformax 1000, tabl. powl., 1000 mg
60 szt.
5909990933181
562
Metforminum
Metformax 1000, tabl. powl., 1000 mg
90 tabl.
5909990933198
563
Metforminum
Metformax 1000, tabl. powl., 1000 mg
120 szt.
5909991252069
564
Metforminum
Metformax 500, tabl., 500 mg
30 szt.
5909990126316
565
Metforminum
Metformax 500, tabl., 500 mg
60 szt.
5909990935253
566
Metforminum
Metformax 850, tabl., 850 mg
30 szt.
5909990450718
567
Metforminum
Metformax 850, tabl., 850 mg
60 szt.
5909990935260
568
Metforminum
Metformax SR 500, tabl. o przedłużonym uwalnianiu, 500 mg
30 szt.
5909990652112
569
Metforminum
Metformax SR 500, tabl. o przedłużonym uwalnianiu, 500 mg
60 szt.
5909990933167
570
Metforminum
Metformax SR 500, tabl. o przedłużonym uwalnianiu, 500 mg
90 szt.
5909990933174
571
Metforminum
Metformin Bluefish, tabl. powl., 1000 mg
30 szt.
5909990705894
572
Metforminum
Metformin Bluefish, tabl. powl., 500 mg
30 szt.
5909990705474
573
Metforminum
Metformin Bluefish, tabl. powl., 850 mg
30 szt.
5909990705726
574
Metforminum
Metformin Galena, tabl., 500 mg
30 szt. (3 blist.po 10 szt.)
5909990462018
575
Metforminum
Metformin Galena, tabl., 850 mg
30 szt. (2 blist.po 15 szt.)
5909990928019
576
Metforminum
Metifor, tabl., 500 mg
30 szt. (3 blist.po 10 szt.)
5909990495115
577
Metforminum
Siofor 1000, tabl. powl., 1000 mg
30 szt. (2 blist.po 15 szt.)
5909990220984
578
Metforminum
Siofor 1000, tabl. powl., 1000 mg
60 szt. (4 blist.po 15 szt.)
5909990220991
579
Metforminum
Siofor 1000, tabl. powl., 1000 mg
90 szt. (6 blist.po 15 szt.)
5909990221004
580
Metforminum
Siofor 1000, tabl. powl., 1000 mg
120 szt. (8 blist.po 15 szt.)
5909990221028
581
Metforminum
Siofor 500, tabl. powl., 500 mg
90 tabl.
4013054024331
582
Metforminum
Siofor 500, tabl. powl., 500 mg
30 szt. (2 blist.po 15 szt.)
5909990457212
583
Metforminum
Siofor 500, tabl. powl., 500 mg
60 szt. (6 blist.po 10 szt.)
5909990457229
584
Metforminum
Siofor 500, tabl. powl., 500 mg
120 szt. (12 blist.po 10 szt.)
5909990457236
585
Metforminum
Siofor 850, tabl. powl., 850 mg
90 szt.
4013054024348
586
Metforminum
Siofor 850, tabl. powl., 850 mg
30 szt. (2 blist.po 15 szt.)
5909990457311
587
Metforminum
Siofor 850, tabl. powl., 850 mg
60 tabl.
5909990457328
588
Metforminum
Siofor 850, tabl. powl., 850 mg
120 szt. (8 blist.po 15 szt.)
5909990457335
589
Mianserinum
Deprexolet, tabl. powl., 10 mg
30 szt.
5909991120948
590
Mianserinum
Deprexolet, tabl. powl., 10 mg
90 tabl.
5909991120962
lp.
Substancja czynna
Nazwa, postać i dawka leku, środka spożywczego specjalnego przeznaczenia
żywieniowego albo wyrobu medycznego
Zawartość opakowania
Kod EAN lub inny kod odpowiadający kodowi
EAN
1
2
3
4
5
591
Mianserinum
Deprexolet, tabl. powl., 30 mg
30 szt.
5909991121051
592
Mianserinum
Lerivon, tabl. powl., 10 mg
30 szt. (1 blist.po 30 szt.)
5909990157716
593
Mianserinum
Lerivon, tabl. powl., 30 mg
30 szt. (1 blist.po 30 szt.)
5909990157822
594
Mianserinum
Miansec 30, tabl. powl., 30 mg
20 szt. (1 blist.po 20 szt.)
5909991124311
595
Mianserinum
Miansec, tabl. powl., 10 mg
30 szt. (1 blist.po 30 szt.)
5909990796618
596
Mianserinum
Miansec, tabl. powl., 10 mg
90 szt. (3 blist.po 30 szt.)
5909990796625
597
Mianserinum
Miansegen, tabl. powl., 10 mg
30 szt.
5909990883813
598
Mianserinum
Miansegen, tabl. powl., 10 mg
90 szt.
5909990883820
599
Mianserinum
Miansegen, tabl. powl., 30 mg
30 szt.
5909990764242
600
Mianserinum
Miansegen, tabl. powl., 30 mg
20 szt.
5909990883929
601
Mianserinum
Miansegen, tabl. powl., 60 mg
30 szt.
5909991064525
602
Moclobemidum
Aurorix, tabl. powl., 150 mg
30 szt.
5909990094813
603
Moclobemidum
Aurorix, tabl. powl., 300 mg
30 szt.
5909990419814
604
Moclobemidum
Mobemid, tabl. powl., 150 mg
30 szt. (2 blist.po 15 szt.)
5909990966813
605
Moclobemidum
Moklar, tabl. powl., 150 mg
30 szt. (3 blist.po 10 szt.)
5909990953714
606
Paroxetinum
Arketis tabletki 20 mg, tabl., 20 mg
30 szt. (3 blist.po 10 szt.)
5909990047109
607
Paroxetinum
Parogen, tabl. powl., 20 mg
30 tabl.
5902023772368
608
Paroxetinum
Parogen, tabl. powl., 20 mg
60 tabl.
5902023772375
609
Paroxetinum
Parogen, tabl. powl., 20 mg
30 szt. (1 poj.po 30 szt.)
5909990425877
610
Paroxetinum
Parogen, tabl. powl., 20 mg
60 szt. (1 poj.po 60 szt.)
5909990425884
611
Paroxetinum
Parogen, tabl. powl., 20 mg
30 tabl.
5909997225579
612
Paroxetinum
Paroxetine Aurobindo, tabl. powl., 20 mg
30 szt.
5909990655724
613
Paroxetinum
Paroxinor, tabl. powl., 20 mg
30 szt.
5909990798346
614
Paroxetinum
Paxtin 20, tabl. powl., 20 mg
30 szt. (3 blist.po 10 szt.)
5909990010189
615
Paroxetinum
Paxtin 20, tabl. powl., 20 mg
30 szt.
5909991210861
616
Paroxetinum
Paxtin 40, tabl. powl., 40 mg
30 szt. (3 blist.po 10 szt.)
5909990010202
617
Paroxetinum
Rexetin, tabl. powl., 20 mg
30 szt.
5909991006310
618
Paroxetinum
Xetanor 20 mg, tabl. powl., 20 mg
30 szt. (3 blist.po 10 szt.)
5909990570515
619
Pilocarpinum
Pilocarpinum WZF 2%, krople do oczu, roztwór, 20 mg/ml
10 ml (2x5 ml)
5909990237524
620
Piribedilum
Pronoran, tabl. powl. o przedłużonym uwalnianiu, 50 mg
30 szt. (1 blist.po 30 szt.)
5909990846320
lp.
Substancja czynna
Nazwa, postać i dawka leku, środka spożywczego specjalnego przeznaczenia
żywieniowego albo wyrobu medycznego
Zawartość opakowania
Kod EAN lub inny kod odpowiadający kodowi
EAN
1
2
3
4
5
621
Pramipexolum
Hitoff, tabl., 0,088 mg
30 szt.
5909990804405
622
Pramipexolum
Hitoff, tabl., 0,18 mg
30 szt.
5909990804443
623
Pramipexolum
Hitoff, tabl., 0,35 mg
30 szt.
5909990804467
624
Pramipexolum
Hitoff, tabl., 0,35 mg
100 szt.
5909990804474
625
Pramipexolum
Hitoff, tabl., 0,7 mg
30 szt.
5909990804481
626
Pramipexolum
Hitoff, tabl., 0,7 mg
100 szt.
5909990804498
21 szt.
5909991238773
30 szt.
5909991238582
100 szt.
5909991238605
30 szt.
5909991238629
100 szt.
5909991238643
30 szt.
5909991238667
100 szt.
5909991238681
Oprymea 0,26 mg+ 0,52 mg + 1,05 mg tabletki o przedłużonym uwalnianiu, tabl. o
przedł. uwalnianiu, 0,26+0,52+1,05 mg
Oprymea 1,05 mg tabletki o przedłużonym uwalnianiu, tabl. o przedł. uwalnianiu,
1,05 mg
Oprymea 1,05 mg tabletki o przedłużonym uwalnianiu, tabl. o przedł. uwalnianiu,
1,05 mg
Oprymea 1,57 mg tabletki o przedłużonym uwalnianiu, tabl. o przedł. uwalnianiu,
1,57 mg
Oprymea 1,57 mg tabletki o przedłużonym uwalnianiu, tabl. o przedł. uwalnianiu,
1,57 mg
Oprymea 2,1 mg tabletki o przedłużonym uwalnianiu, tabl. o przedł. uwalnianiu, 2,1
mg
Oprymea 2,1 mg tabletki o przedłużonym uwalnianiu, tabl. o przedł. uwalnianiu, 2,1
mg
627
Pramipexolum
628
Pramipexolum
629
Pramipexolum
630
Pramipexolum
631
Pramipexolum
632
Pramipexolum
633
Pramipexolum
634
Ramiprilum + Amlodipinum
Egiramlon, kaps. twarde, 10+10 mg
30 szt.
5909990936885
635
Ramiprilum + Amlodipinum
Egiramlon, kaps. twarde, 10+5 mg
30 szt.
5909990936854
636
Ramiprilum + Amlodipinum
Egiramlon, kaps. twarde, 5+10 mg
30 szt.
5909990936809
637
Ramiprilum + Amlodipinum
Egiramlon, kaps. twarde, 5+5 mg
30 szt.
5909990936779
638
Ramiprilum + Amlodipinum
Ramizek Combi, kaps. twarde, 10+10 mg
60 szt.
5909991142728
639
Ramiprilum + Amlodipinum
Ramizek Combi, kaps. twarde, 10+5 mg
60 szt.
5909991142643
640
Ramiprilum + Amlodipinum
Ramizek Combi, kaps. twarde, 5+10 mg
60 szt.
5909991142674
641
Ramiprilum + Amlodipinum
Ramizek Combi, kaps. twarde, 5+5 mg
60 szt.
5909991142513
642
Ramiprilum + Amlodipinum
Ramizek Combi, kaps., 10+10 mg
30 kaps.
5909991142759
643
Ramiprilum + Amlodipinum
Ramizek Combi, kaps., 10+5 mg
30 kaps.
5909991142636
644
Ramiprilum + Amlodipinum
Ramizek Combi, kaps., 5+10 mg
30 kaps.
5909991142681
645
Ramiprilum + Amlodipinum
Ramizek Combi, kaps., 5+5 mg
30 kaps.
5909991142520
646
Ramiprilum + Amlodipinum
Sumilar, kaps. twarde, 10+10 mg
30 szt.
5909990988334
647
Ramiprilum + Amlodipinum
Sumilar, kaps. twarde, 10+5 mg
30 szt.
5909990988297
648
Ramiprilum + Amlodipinum
Sumilar, kaps. twarde, 5+10 mg
30 szt.
5909990988273
lp.
Substancja czynna
Nazwa, postać i dawka leku, środka spożywczego specjalnego przeznaczenia
żywieniowego albo wyrobu medycznego
Zawartość opakowania
Kod EAN lub inny kod odpowiadający kodowi
EAN
1
2
3
4
5
649
Ramiprilum + Amlodipinum
Sumilar, kaps. twarde, 5+5 mg
30 szt.
5909990988259
650
Risedronatum natricum
Risendros 35, tabl. powl., 35 mg
4 szt. (1 blist.po 4 szt.)
5909990082599
651
Risedronatum natricum
Risendros 35, tabl. powl., 35 mg
12 szt. (3 blist.po 4 szt.)
5909990082629
652
Rivaroxabanum
Xarelto, tabl. powl., 15 mg
14 szt.
5909990910601
653
Rivaroxabanum
Xarelto, tabl. powl., 15 mg
42 szt.
5909990910663
654
Rivaroxabanum
Xarelto, tabl. powl., 20 mg
14 szt.
5909990910700
655
Rivaroxabanum
Xarelto, tabl., 10 mg
10 szt.
5909990658145
656
Rivastigminum
Evertas, system transdermalny, plaster, 4,6 mg/24h
30 szt.
5909991078386
657
Rivastigminum
Evertas, system transdermalny, plaster, 9,5 mg/24h
30 szt.
5909991078454
658
Rivastigminum
Exelon, system transdermalny, 13,3 mg/24h
30 sasz.
5909991032609
659
Rivastigminum
Exelon, system transdermalny, 4,6 mg/24h
30 sasz.
5909990066704
660
Rivastigminum
Exelon, system transdermalny, 9,5 mg/24h
30 sasz.
5909990066766
661
Rivastigminum
Nimvastid, kaps. twarde, 1,5 mg
28 szt.
5909990700646
662
Rivastigminum
Nimvastid, kaps. twarde, 3 mg
28 szt.
5909990700684
663
Rivastigminum
Nimvastid, kaps. twarde, 3 mg
56 szt.
5909990700707
664
Rivastigminum
Nimvastid, kaps. twarde, 4,5 mg
28 szt.
5909990700738
665
Rivastigminum
Nimvastid, kaps. twarde, 4,5 mg
56 szt.
5909990700752
666
Rivastigminum
Nimvastid, kaps. twarde, 6 mg
28 szt.
5909990700790
667
Rivastigminum
Nimvastid, kaps. twarde, 6 mg
56 szt.
5909990700844
668
Rivastigminum
Nimvastid, tabl. ulegające rozpadowi w jamie ustnej, 1,5 mg
28 szt.
5909990700660
669
Rivastigminum
Nimvastid, tabl. ulegające rozpadowi w jamie ustnej, 3 mg
28 szt.
5909990700691
670
Rivastigminum
Nimvastid, tabl. ulegające rozpadowi w jamie ustnej, 3 mg
56 szt.
5909990700721
671
Rivastigminum
Nimvastid, tabl. ulegające rozpadowi w jamie ustnej, 4,5 mg
28 szt.
5909990700745
672
Rivastigminum
Nimvastid, tabl. ulegające rozpadowi w jamie ustnej, 4,5 mg
56 szt.
5909990700769
673
Rivastigminum
Nimvastid, tabl. ulegające rozpadowi w jamie ustnej, 6 mg
28 szt.
5909990700806
674
Rivastigminum
Nimvastid, tabl. ulegające rozpadowi w jamie ustnej, 6 mg
56 szt.
5909990700851
675
Rivastigminum
Ristidic, kaps. twarde, 1,5 mg
28 szt.
5909990782048
676
Rivastigminum
Ristidic, kaps. twarde, 1,5 mg
56 szt.
5909990782055
677
Rivastigminum
Ristidic, kaps. twarde, 3 mg
28 szt.
5909990782079
678
Rivastigminum
Ristidic, kaps. twarde, 3 mg
56 szt.
5909990782086
lp.
Substancja czynna
Nazwa, postać i dawka leku, środka spożywczego specjalnego przeznaczenia
żywieniowego albo wyrobu medycznego
Zawartość opakowania
Kod EAN lub inny kod odpowiadający kodowi
EAN
1
2
3
4
5
679
Rivastigminum
Ristidic, kaps. twarde, 4,5 mg
28 szt.
5909990782147
680
Rivastigminum
Ristidic, kaps. twarde, 4,5 mg
56 szt.
5909990782154
681
Rivastigminum
Ristidic, kaps. twarde, 6 mg
28 szt.
5909990782178
682
Rivastigminum
Ristidic, kaps. twarde, 6 mg
56 szt.
5909990782185
683
Rivastigminum
Rivaldo, kaps. twarde, 3 mg
56 szt.
5909990816255
684
Rivastigminum
Rivaldo, kaps. twarde, 4,5 mg
28 szt.
5909990816262
685
Rivastigminum
Rivaldo, kaps. twarde, 4,5 mg
56 szt.
5909990816279
686
Rivastigminum
Rivaldo, kaps. twarde, 6 mg
28 szt.
5909990816286
687
Rivastigminum
Rivaldo, kaps. twarde, 6 mg
56 szt.
5909990816293
688
Rivastigminum
Rivastigmin NeuroPharma, kaps. twarde, 1,5 mg
28 szt.
5909990982981
689
Rivastigminum
Rivastigmin NeuroPharma, kaps. twarde, 3 mg
28 szt.
5909990983162
690
Rivastigminum
Rivastigmin NeuroPharma, kaps. twarde, 3 mg
56 szt.
5909990983179
691
Rivastigminum
Rivastigmin NeuroPharma, kaps. twarde, 4,5 mg
28 szt.
5909990983308
692
Rivastigminum
Rivastigmin NeuroPharma, kaps. twarde, 4,5 mg
56 szt.
5909990983322
693
Rivastigminum
Rivastigmin NeuroPharma, kaps. twarde, 6 mg
28 szt.
5909990983506
694
Rivastigminum
Rivastigmin NeuroPharma, kaps. twarde, 6 mg
56 szt.
5909990983544
695
Rivastigminum
Rivastigmin Orion, kaps. twarde, 1,5 mg
28 szt.
5909990778898
696
Rivastigminum
Rivastigmin Orion, kaps. twarde, 3 mg
28 szt.
5909990778935
697
Rivastigminum
Rivastigmin Orion, kaps. twarde, 3 mg
56 szt.
5909990778942
698
Rivastigminum
Rivastigmin Orion, kaps. twarde, 4,5 mg
28 szt.
5909990778966
699
Rivastigminum
Rivastigmin Orion, kaps. twarde, 4,5 mg
56 szt.
5909990778973
700
Rivastigminum
Rivastigmin Orion, kaps. twarde, 6 mg
28 szt.
5909990778997
701
Rivastigminum
Rivastigmin Orion, kaps. twarde, 6 mg
56 szt.
5909990779000
702
Rivastigminum
Rivastigmine Actavis, kaps. twarde, 1,5 mg
28 szt.
5909990886258
703
Rivastigminum
Rivastigmine Actavis, kaps. twarde, 3 mg
28 szt.
5909990886296
704
Rivastigminum
Rivastigmine Actavis, kaps. twarde, 3 mg
56 szt.
5909990886302
705
Rivastigminum
Rivastigmine Actavis, kaps. twarde, 4,5 mg
28 szt.
5909990886364
706
Rivastigminum
Rivastigmine Actavis, kaps. twarde, 4,5 mg
56 szt.
5909990886371
707
Rivastigminum
Rivastigmine Actavis, kaps. twarde, 6 mg
28 szt.
5909990886401
708
Rivastigminum
Rivastigmine Actavis, kaps. twarde, 6 mg
56 szt.
5909990886425
lp.
Substancja czynna
Nazwa, postać i dawka leku, środka spożywczego specjalnego przeznaczenia
żywieniowego albo wyrobu medycznego
Zawartość opakowania
Kod EAN lub inny kod odpowiadający kodowi
EAN
1
2
3
4
5
709
Rivastigminum
Rivastigmine Mylan, kaps. twarde, 1,5 mg
28 szt.
5909990803156
710
Rivastigminum
Rivastigmine Mylan, kaps. twarde, 3 mg
28 szt.
5909990803545
711
Rivastigminum
Rivastigmine Mylan, kaps. twarde, 3 mg
56 szt.
5909990803569
712
Rivastigminum
Rivastigmine Mylan, kaps. twarde, 4,5 mg
28 szt.
5909990803781
713
Rivastigminum
Rivastigmine Mylan, kaps. twarde, 4,5 mg
56 szt.
5909990803804
714
Rivastigminum
Rivastigmine Mylan, kaps. twarde, 6 mg
28 szt.
5909990804085
715
Rivastigminum
Rivastigmine Mylan, kaps. twarde, 6 mg
56 szt.
5909990804108
716
Rivastigminum
Rivastigmine Teva, system transdermalny, plaster, 4,6 mg/24h
30 szt.
5909991078232
717
Rivastigminum
Rivastigmine Teva, system transdermalny, plaster, 9,5 mg/24h
30 szt.
5909991078263
718
Rivastigminum
Rywastygmina Apotex, system transdermalny, plaster, 4,6 mg/24 h
30 szt.
5909991067595
719
Rivastigminum
Rywastygmina Apotex, system transdermalny, plaster, 9,5 mg/24h
30 szt.
5909991067632
720
Rivastigminum
Symelon, kaps. twarde, 1,5 mg
28 szt.
5909990808199
721
Rivastigminum
Symelon, kaps. twarde, 3 mg
28 szt.
5909990808397
722
Rivastigminum
Symelon, kaps. twarde, 4,5 mg
28 szt.
5909990808427
723
Rivastigminum
Symelon, kaps. twarde, 6 mg
28 szt.
5909990808441
724
Ropinirolum
Aparxon PR, tabl. o przedłużonym uwalnianiu, 2 mg
28 szt.
5909990877683
725
Ropinirolum
Aparxon PR, tabl. o przedłużonym uwalnianiu, 4 mg
28 szt.
5909990878000
726
Ropinirolum
Aparxon PR, tabl. o przedłużonym uwalnianiu, 8 mg
28 szt.
5909990878086
727
Ropinirolum
ApoRopin, tabl. o przedłużonym uwalnianiu, 2 mg
28 szt.
5909990992607
728
Ropinirolum
ApoRopin, tabl. o przedłużonym uwalnianiu, 4 mg
28 szt.
5909990992683
729
Ropinirolum
ApoRopin, tabl. o przedłużonym uwalnianiu, 8 mg
28 szt.
5909990992775
730
Ropinirolum
Aropilo SR, tabl. o przedł. uwalnianiu, 2 mg
28 szt.
5909990998586
731
Ropinirolum
Aropilo SR, tabl. o przedł. uwalnianiu, 4 mg
28 szt.
5909990998982
732
Ropinirolum
Aropilo SR, tabl. o przedł. uwalnianiu, 8 mg
28 szt.
5909990999156
733
Ropinirolum
Aropilo, tabl. powl., 0,25 mg
210 szt.
5909990731954
734
Ropinirolum
Aropilo, tabl. powl., 0,5 mg
21 szt.
5909990731985
735
Ropinirolum
Aropilo, tabl. powl., 1 mg
21 szt.
5909990732074
736
Ropinirolum
Aropilo, tabl. powl., 2 mg
21 szt.
5909990732227
737
Ropinirolum
Aropilo, tabl. powl., 5 mg
21 szt.
5909990732333
738
Ropinirolum
Ceurolex SR, tabl. o przedłużonym uwalnianiu, 2 mg
28 szt.
5909991049294
lp.
Substancja czynna
Nazwa, postać i dawka leku, środka spożywczego specjalnego przeznaczenia
żywieniowego albo wyrobu medycznego
Zawartość opakowania
Kod EAN lub inny kod odpowiadający kodowi
EAN
1
2
3
4
5
739
Ropinirolum
Ceurolex SR, tabl. o przedłużonym uwalnianiu, 4 mg
28 szt.
5909991049355
740
Ropinirolum
Ceurolex SR, tabl. o przedłużonym uwalnianiu, 8 mg
28 szt.
5909991049393
741
Ropinirolum
Nironovo SR, tabl. o przedł. uwalnianiu, 2 mg
28 szt.
5909990990085
742
Ropinirolum
Nironovo SR, tabl. o przedł. uwalnianiu, 4 mg
28 szt.
5909990990092
743
Ropinirolum
Nironovo SR, tabl. o przedł. uwalnianiu, 8 mg
28 szt.
5909990990108
744
Ropinirolum
Polpix SR, tabl. o przedł. uwalnianiu, 2 mg
28 szt.
5909990988198
745
Ropinirolum
Polpix SR, tabl. o przedł. uwalnianiu, 4 mg
28 szt.
5909990988204
746
Ropinirolum
Polpix SR, tabl. o przedł. uwalnianiu, 8 mg
28 szt.
5909990988242
747
Ropinirolum
Repirol SR, tabl. doustne o przedłużonym uwalnianiu, 2 mg
28 szt.
5909990983582
748
Ropinirolum
Repirol SR, tabl. doustne o przedłużonym uwalnianiu, 4 mg
28 szt.
5909990983803
749
Ropinirolum
Repirol SR, tabl. doustne o przedłużonym uwalnianiu, 8 mg
28 szt.
5909990983971
750
Ropinirolum
Requip, tabl. powl., 0,5 mg
21 szt. (1 blist.po 21 szt.)
5909990013685
751
Ropinirolum
Requip, tabl. powl., 1 mg
21 szt. (1 blist.po 21 szt.)
5909990013890
752
Ropinirolum
Requip, tabl. powl., 2 mg
21 szt. (1 blist.po 21 szt.)
5909990013586
753
Ropinirolum
Requip, tabl. powl., 5 mg
21 szt. (1 blist.po 21 szt.)
5909990013968
754
Ropinirolum
Requip-Modutab, tabl. o przedłużonym uwalnianiu, 2 mg
28 szt. (2 blist.po 14 szt.)
5909990644728
755
Ropinirolum
Requip-Modutab, tabl. o przedłużonym uwalnianiu, 4 mg
28 szt. (2 blist.po 14 szt.)
5909990644612
756
Ropinirolum
Requip-Modutab, tabl. o przedłużonym uwalnianiu, 8 mg
28 szt. (2 blist.po 14 szt.)
5909990644636
757
Ropinirolum
Rolpryna SR, tabl. o przedł. uwalnianiu, 2 mg
84 szt.
5909991033781
758
Ropinirolum
Rolpryna SR, tabl. o przedł. uwalnianiu, 4 mg
84 szt.
5909991033798
759
Ropinirolum
Rolpryna SR, tabl. o przedł. uwalnianiu, 8 mg
84 szt.
5909991033804
760
Ropinirolum
Rolpryna SR, tabl. o przedłużonym uwalnianiu, 2 mg
28 szt.
5909990855766
761
Ropinirolum
Rolpryna SR, tabl. o przedłużonym uwalnianiu, 4 mg
28 szt.
5909990855773
762
Ropinirolum
Rolpryna SR, tabl. o przedłużonym uwalnianiu, 8 mg
28 szt.
5909990855780
763
Ropinirolum
Ropodrin, tabl. o przedłużonym uwalnianiu, 2 mg
28 tabl.
5909990963874
764
Ropinirolum
Ropodrin, tabl. o przedłużonym uwalnianiu, 4 mg
28 tabl.
5909990964239
765
Ropinirolum
Ropodrin, tabl. o przedłużonym uwalnianiu, 8 mg
28 tabl.
5909990964321
766
Rosuvastatinum
Ridlip, tabl. powl., 10 mg
28 szt.
5909991000141
767
Rosuvastatinum
Ridlip, tabl. powl., 20 mg
28 szt.
5909991000158
768
Rosuvastatinum
Ridlip, tabl. powl., 40 mg
28 szt.
5909991000165
lp.
Substancja czynna
Nazwa, postać i dawka leku, środka spożywczego specjalnego przeznaczenia
żywieniowego albo wyrobu medycznego
Zawartość opakowania
Kod EAN lub inny kod odpowiadający kodowi
EAN
1
2
3
4
5
769
Rosuvastatinum
Ridlip, tabl. powl., 5 mg
28 szt.
5909991000103
770
Rosuvastatinum
Romazic, tabl. powl., 20 mg
30 szt.
5909990919659
771
Rosuvastatinum
Rosutrox, tabl. powl., 10 mg
28 szt.
5909991085674
772
Rosuvastatinum
Rosutrox, tabl. powl., 10 mg
56 szt.
5909991085698
773
Rosuvastatinum
Rosutrox, tabl. powl., 20 mg
28 szt.
5909991085759
774
Rosuvastatinum
Rosutrox, tabl. powl., 20 mg
56 szt.
5909991085773
775
Rosuvastatinum
Rosutrox, tabl. powl., 40 mg
28 szt.
5909991085841
776
Rosuvastatinum
Rosutrox, tabl. powl., 40 mg
56 szt.
5909991085865
777
Rosuvastatinum
Rosutrox, tabl. powl., 5 mg
28 szt.
5909991085599
778
Rosuvastatinum
Rosutrox, tabl. powl., 5 mg
56 szt.
5909991085636
779
Rosuvastatinum
Roswera, tabl. powl., 15 mg
56 szt.
5909990895403
780
Rosuvastatinum
Roswera, tabl. powl., 30 mg
56 szt.
5909990895687
781
Rosuvastatinum
Roswera, tabl., 10 mg
28 szt.
5909990895250
782
Rosuvastatinum
Roswera, tabl., 15 mg
28 szt.
5909990895380
783
Rosuvastatinum
Roswera, tabl., 20 mg
28 szt.
5909990895533
784
Rosuvastatinum
Roswera, tabl., 30 mg
28 szt.
5909990895663
785
Rosuvastatinum
Roswera, tabl., 40 mg
28 szt.
5909990895786
786
Rosuvastatinum
Roswera, tabl., 5 mg
28 szt.
5909990895106
787
Rosuvastatinum
Suvardio, tabl. powl., 10 mg
28 szt.
5909990791743
788
Rosuvastatinum
Suvardio, tabl. powl., 20 mg
28 szt.
5909990791873
789
Rosuvastatinum
Zahron, tabl. powl., 10 mg
28 szt.
5909990802623
790
Rosuvastatinum
Zahron, tabl. powl., 10 mg
56 szt.
5909990802647
791
Rosuvastatinum
Zahron, tabl. powl., 20 mg
28 szt.
5909990802685
792
Rosuvastatinum
Zahron, tabl. powl., 20 mg
56 szt.
5909990802708
793
Rosuvastatinum
Zahron, tabl. powl., 40 mg
28 szt.
5909990802753
794
Rosuvastatinum
Zahron, tabl. powl., 40 mg
56 szt.
5909990802777
795
Rosuvastatinum
Zahron, tabl. powl., 5 mg
28 szt.
5909990802562
796
Rosuvastatinum
Zahron, tabl. powl., 5 mg
56 szt.
5909990802586
797
Rosuvastatinum
Zaranta, tabl. powl., 10 mg
28 szt. (4 blist.po 7 szt.)
5909990777785
798
Rosuvastatinum
Zaranta, tabl. powl., 20 mg
28 szt. (4 blist.po 7 szt.)
5909990777839
lp.
Substancja czynna
Nazwa, postać i dawka leku, środka spożywczego specjalnego przeznaczenia
żywieniowego albo wyrobu medycznego
Zawartość opakowania
Kod EAN lub inny kod odpowiadający kodowi
EAN
1
2
3
4
5
799
Sertralinum
ApoSerta, tabl. powl., 100 mg
30 szt.
5909991106904
800
Sertralinum
ApoSerta, tabl. powl., 50 mg
30 szt.
5909991106898
801
Sertralinum
Asentra, tabl. powl., 100 mg
28 szt.
5909990963317
802
Sertralinum
Asentra, tabl. powl., 50 mg
28 szt.
5909990963218
803
Sertralinum
Asertin 100, tabl. powl., 100 mg
30 szt. (3 blist.po 10 szt.)
5909990422685
804
Sertralinum
Asertin 50, tabl. powl., 50 mg
30 szt. (3 blist.po 10 szt.)
5909990422692
805
Sertralinum
Miravil, tabl. powl., 100 mg
30 szt.
5909990804368
806
Sertralinum
Miravil, tabl. powl., 50 mg
30 szt.
5909990804344
807
Sertralinum
Sertagen, tabl. powl., 100 mg
28 szt.
5909990046621
808
Sertralinum
Sertagen, tabl. powl., 50 mg
28 szt.
5909990046690
809
Sertralinum
Sertralina KRKA, tabl. powl., 100 mg
30 szt.
5909990919987
810
Sertralinum
Sertralina KRKA, tabl. powl., 50 mg
30 szt.
5909990919888
811
Sertralinum
Sertraline Aurobindo 50 mg tabletki powlekane, tabl. powl., 50 mg
30 szt. (3 blist.po 10 szt.)
5909990636136
812
Sertralinum
Sertranorm, tabl. powl., 100 mg
30 szt.
5909990663163
813
Sertralinum
Sertranorm, tabl. powl., 50 mg
30 szt.
5909990663040
814
Sertralinum
Setaloft 100 mg, tabl. powl., 100 mg
30 szt. (3 blist.po 10 szt.)
5909990571963
815
Sertralinum
Setaloft 50 mg, tabl. powl., 50 mg
30 szt. (3 blist.po 10 szt.)
5909990571925
816
Sertralinum
Stimuloton, tabl. powl., 50 mg
30 szt. (3 blist.po 10 szt.)
5909990994816
817
Sertralinum
Zoloft, tabl. powl., 100 mg
28 szt. (2 blist.po 14 szt.)
5909990753215
818
Sertralinum
Zoloft, tabl. powl., 50 mg
28 szt. (2 blist.po 14 szt.)
5909990753116
819
Sertralinum
Zotral, tabl. powl., 100 mg
28 szt. (4 blist.po 7 szt.)
5909990569472
820
Sertralinum
Zotral, tabl. powl., 50 mg
28 szt. (2 blist.po 14 szt.)
5909990013982
821
Simvastatinum
Apo-Simva 10, tabl. powl., 10 mg
30 szt. (3 blist.po 10 szt.)
5909990618279
822
Simvastatinum
Apo-Simva 20, tabl. powl., 20 mg
30 szt. (3 blist.po 10 szt.)
5909990618286
823
Simvastatinum
Apo-Simva 40, tabl. powl., 40 mg
30 szt. (3 blist.po 10 szt.)
5909990618293
824
Simvastatinum
Simcovas, tabl. powl., 20 mg
28 szt. (2 blist.po 14 szt.)
5909990649532
825
Simvastatinum
Simcovas, tabl. powl., 20 mg
30 szt.
5909991048488
826
Simvastatinum
Simcovas, tabl. powl., 40 mg
28 szt. (2 blist.po 14 szt.)
5909990649655
827
Simvastatinum
Simcovas, tabl. powl., 40 mg
30 szt.
5909991048495
828
Simvastatinum
Simgal, tabl. powl., 10 mg
28 szt. (2 blist.po 14 szt.)
5909990860210
lp.
Substancja czynna
Nazwa, postać i dawka leku, środka spożywczego specjalnego przeznaczenia
żywieniowego albo wyrobu medycznego
Zawartość opakowania
Kod EAN lub inny kod odpowiadający kodowi
EAN
1
2
3
4
5
829
Simvastatinum
Simgal, tabl. powl., 20 mg
28 szt. (2 blist.po 14 szt.)
5909990860319
830
Simvastatinum
Simgal, tabl. powl., 40 mg
28 szt. (2 blist.po 14 szt.)
5909990860418
831
Simvastatinum
Simorion, tabl. powl., 10 mg
28 szt.
5909990793853
832
Simvastatinum
Simorion, tabl. powl., 20 mg
28 szt.
5909990794140
833
Simvastatinum
Simorion, tabl. powl., 20 mg
98 szt.
5909990794157
834
Simvastatinum
Simorion, tabl. powl., 40 mg
28 szt.
5909990794089
835
Simvastatinum
Simratio 10, tabl. powl., 10 mg
28 szt. (2 blist.po 14 szt.)
5909991019723
836
Simvastatinum
Simratio 20, tabl. powl., 20 mg
28 szt. (2 blist.po 14 szt.)
5909991019822
837
Simvastatinum
Simratio 40, tabl. powl., 40 mg
28 szt. (2 blist.po 14 szt.)
5909991019945
838
Simvastatinum
Simvacard 10, tabl. powl., 10 mg
28 szt. (2 blist.po 14 szt.)
5909990940110
839
Simvastatinum
Simvacard 20, tabl. powl., 20 mg
28 szt. (2 blist.po 14 szt.)
5909990940219
840
Simvastatinum
Simvacard 40, tabl. powl., 40 mg
28 szt. (2 blist.po 14 szt.)
5909990940318
841
Simvastatinum
Simvachol, tabl. powl., 10 mg
28 szt. (2 blist.po 14 szt.)
5909990941025
842
Simvastatinum
Simvachol, tabl. powl., 20 mg
28 szt. (2 blist.po 14 szt.)
5909990941124
843
Simvastatinum
Simvachol, tabl. powl., 40 mg
28 szt. (2 blist.po 14 szt.)
5909990941223
844
Simvastatinum
Simvacor, tabl. powl., 10 mg
30 szt. (3 blist.po 10 szt.)
5909990336623
845
Simvastatinum
Simvacor, tabl. powl., 20 mg
30 szt. (3 blist.po 10 szt.)
5909990336630
846
Simvastatinum
Simvagamma 10, tabl. powl., 10 mg
30 szt. (3 blist.po 10 szt.)
5909991146016
847
Simvastatinum
Simvagamma 20, tabl. powl., 20 mg
30 szt. (3 blist.po 10 szt.)
5909991146115
848
Simvastatinum
Simvagamma 40, tabl. powl., 40 mg
30 szt. (3 blist.po 10 szt.)
5909991146214
849
Simvastatinum
Simvagen 20, tabl. powl., 20 mg
28 szt. (2 blist.po 14 szt.)
5909990743650
850
Simvastatinum
Simvagen 40, tabl. powl., 40 mg
28 szt. (2 blist.po 14 szt.)
5909990743667
851
Simvastatinum
SimvaHEXAL 10, tabl. powl., 10 mg
30 szt. (3 blist.po 10 szt.)
5909990623273
852
Simvastatinum
SimvaHEXAL 20, tabl. powl., 20 mg
30 szt. (3 blist.po 10 szt.)
5909990623297
853
Simvastatinum
SimvaHEXAL 40, tabl. powl., 40 mg
30 szt. (3 blist.po 10 szt.)
5909990623334
854
Simvastatinum
Simvastatin Bluefish, tabl. powl., 10 mg
28 szt.
5909990723591
855
Simvastatinum
Simvastatin Bluefish, tabl. powl., 20 mg
28 szt.
5909990723812
856
Simvastatinum
Simvastatin Bluefish, tabl. powl., 20 mg
30 szt.
5909990723829
857
Simvastatinum
Simvastatin Bluefish, tabl. powl., 40 mg
28 szt.
5909990724031
858
Simvastatinum
Simvastatin Genoptim, tabl. powl., 20 mg
28 szt.
5907553016012
lp.
Substancja czynna
Nazwa, postać i dawka leku, środka spożywczego specjalnego przeznaczenia
żywieniowego albo wyrobu medycznego
Zawartość opakowania
Kod EAN lub inny kod odpowiadający kodowi
EAN
1
2
3
4
5
859
Simvastatinum
Simvastatin Genoptim, tabl. powl., 40 mg
28 szt.
5907553016029
860
Simvastatinum
Simvastatin Krka, tabl. powl., 10 mg
28 szt.
5909990436316
861
Simvastatinum
Simvastatin Krka, tabl. powl., 20 mg
28 szt.
5909990436415
862
Simvastatinum
Simvastatinum Accord, tabl. powl., 10 mg
28 szt.
5909990706396
863
Simvastatinum
Simvastatinum Accord, tabl. powl., 10 mg
30 szt.
5909990706402
864
Simvastatinum
Simvastatinum Accord, tabl. powl., 10 mg
100 szt.
5909990706464
865
Simvastatinum
Simvastatinum Accord, tabl. powl., 20 mg
28 szt.
5909990706532
866
Simvastatinum
Simvastatinum Accord, tabl. powl., 20 mg
30 szt.
5909990706549
867
Simvastatinum
Simvastatinum Accord, tabl. powl., 20 mg
100 szt.
5909990706594
868
Simvastatinum
Simvastatinum Accord, tabl. powl., 40 mg
28 szt.
5909990706631
869
Simvastatinum
Simvastatinum Accord, tabl. powl., 40 mg
30 szt.
5909990706648
870
Simvastatinum
Simvastatinum Accord, tabl. powl., 40 mg
100 szt.
5909990706693
871
Simvastatinum
Simvasterol, tabl. powl., 10 mg
28 szt. (2 blist.po 14 szt.)
5909990927616
872
Simvastatinum
Simvasterol, tabl. powl., 20 mg
28 szt. (2 blist.po 14 szt.)
5909990927715
873
Simvastatinum
Simvasterol, tabl. powl., 40 mg
28 szt. (4 blist.po 7 szt.)
5909990927838
874
Simvastatinum
Sistat, tabl. powl., 10 mg
28 szt.
5909991261139
875
Simvastatinum
Sistat, tabl. powl., 20 mg
28 szt.
5909991261184
876
Simvastatinum
Sistat, tabl. powl., 40 mg
28 szt.
5909991261238
877
Simvastatinum
Vasilip, tabl. powl., 10 mg
28 szt.
5909990914012
878
Simvastatinum
Vasilip, tabl. powl., 20 mg
28 szt.
5909990914111
879
Simvastatinum
Vasilip, tabl. powl., 40 mg
28 szt.
5909990982714
880
Simvastatinum
Vastan, tabl. powl., 10 mg
28 szt. (2 blist.po 14 szt.)
5909991073114
881
Simvastatinum
Vastan, tabl. powl., 20 mg
28 szt. (2 blist.po 14 szt.)
5909991073213
882
Simvastatinum
Ximve, tabl. powl., 10 mg
30 szt. (3 blist.po 10 szt.)
5909990935116
883
Simvastatinum
Ximve, tabl. powl., 20 mg
28 szt. (2 blist.po 14 szt.)
5909990055722
884
Simvastatinum
Ximve, tabl. powl., 20 mg
30 szt. (3 blist.po 10 szt.)
5909990935215
885
Simvastatinum
Ximve, tabl. powl., 40 mg
30 szt. (3 blist.po 10 szt.)
5909990935314
886
Simvastatinum
Zocor 10, tabl. powl., 10 mg
28 szt. (2 blist.po 14 szt.)
5909990365913
887
Simvastatinum
Zocor 20, tabl. powl., 20 mg
28 szt. (2 blist.po 14 szt.)
5909990366026
888
Simvastatinum
Zocor 40, tabl. powl., 40 mg
28 szt. (2 blist.po 14 szt.)
5909990769124
lp.
Substancja czynna
Nazwa, postać i dawka leku, środka spożywczego specjalnego przeznaczenia
żywieniowego albo wyrobu medycznego
Zawartość opakowania
Kod EAN lub inny kod odpowiadający kodowi
EAN
1
2
3
4
5
889
Sotalolum
Biosotal 40, tabl., 40 mg
60 szt. (6 blist.po 10 szt.)
5909990365715
890
Sotalolum
Biosotal 80, tabl., 80 mg
30 szt. (3 blist.po 10 szt.)
5909990365616
891
Sotalolum
SotaHEXAL 160, tabl., 160 mg
20 szt. (2 blist.po 10 szt.)
5909990309115
892
Sotalolum
SotaHEXAL 40, tabl., 40 mg
20 szt. (2 blist.po 10 szt.)
5909991014711
893
Sotalolum
SotaHEXAL 80, tabl., 80 mg
20 szt. (2 blist.po 10 szt.)
5909990309016
894
Spironolactonum
Finospir, tabl., 100 mg
30 szt.
5909990965977
895
Spironolactonum
Finospir, tabl., 25 mg
30 szt.
5909990965854
896
Spironolactonum
Finospir, tabl., 25 mg
100 szt.
5909990965861
897
Spironolactonum
Finospir, tabl., 50 mg
30 szt.
5909990965878
898
Spironolactonum
Finospir, tabl., 50 mg
100 szt.
5909990965885
899
Spironolactonum
Spironol 100, tabl. powl., 100 mg
20 szt.
5909990673124
900
Spironolactonum
Spironol, tabl. powl., 50 mg
30 szt.
5909991244651
901
Spironolactonum
Spironol, tabl. powl., 50 mg
60 szt.
5909991244668
902
Spironolactonum
Spironol, tabl., 25 mg
20 szt.
5909990110216
903
Spironolactonum
Spironol, tabl., 25 mg
100 szt.
5909990110223
904
Spironolactonum
Verospiron, kaps. twarde, 100 mg
30 szt.
5909990488513
905
Spironolactonum
Verospiron, kaps. twarde, 50 mg
30 szt.
5909990488414
906
Spironolactonum
Verospiron, tabl., 25 mg
20 szt.
5909990117215
907
Tafluprostum
Taflotan, krople do oczu, roztwór, 15 µg/ml
30 szt. (3 sasz.po 10 poj.)
5909990675944
908
Telmisartanum
Actelsar, tabl., 40 mg
28 szt.
5909990891832
909
Telmisartanum
Actelsar, tabl., 80 mg
28 szt.
5909990891863
910
Telmisartanum
Micardis, tabl., 40 mg
28 szt.
5909990440726
911
Telmisartanum
Micardis, tabl., 80 mg
14 szt.
5909990440818
912
Telmisartanum
Micardis, tabl., 80 mg
28 szt.
5909990440825
913
Telmisartanum
Polsart, tabl., 40 mg
28 szt.
5909990936670
914
Telmisartanum
Polsart, tabl., 80 mg
28 szt.
5909990936700
915
Telmisartanum
Pritor, tabl., 40 mg
28 szt.
5909990463428
916
Telmisartanum
Pritor, tabl., 80 mg
28 szt.
5909990463527
917
Telmisartanum
Telmabax, tabl., 40 mg
28 szt.
5909991060220
918
Telmisartanum
Telmabax, tabl., 80 mg
28 szt.
5909991060268
lp.
Substancja czynna
Nazwa, postać i dawka leku, środka spożywczego specjalnego przeznaczenia
żywieniowego albo wyrobu medycznego
Zawartość opakowania
Kod EAN lub inny kod odpowiadający kodowi
EAN
1
2
3
4
5
919
Telmisartanum
Telmisartan Apotex, tabl., 40 mg
28 szt.
5909990992058
920
Telmisartanum
Telmisartan Apotex, tabl., 80 mg
28 szt.
5909990992065
921
Telmisartanum
Telmisartan EGIS, tabl. powl., 40 mg
28 szt.
5909991036768
922
Telmisartanum
Telmisartan EGIS, tabl. powl., 80 mg
28 szt.
5909991036867
923
Telmisartanum
Telmisartan EGIS, tabl. powl., 80 mg
28 szt.
5909991229801
924
Telmisartanum
Telmisartan Mylan, tabl., 80 mg
28 tabl.
5909991018436
925
Telmisartanum
Telmisartan Sandoz, tabl., 40 mg
28 szt.
5909990840472
926
Telmisartanum
Telmisartan Sandoz, tabl., 80 mg
28 szt.
5909990840557
927
Telmisartanum
Telmisartanum 123ratio, tabl., 40 mg
28 szt.
5909990821839
928
Telmisartanum
Telmisartanum 123ratio, tabl., 80 mg
28 szt.
5909990821792
929
Telmisartanum
Telmix, tabl., 40 mg
28 szt.
5909990974863
930
Telmisartanum
Telmix, tabl., 40 mg
56 tabl.
5909990974887
931
Telmisartanum
Telmix, tabl., 80 mg
28 szt.
5909990974979
932
Telmisartanum
Telmix, tabl., 80 mg
56 tabl.
5909990974993
933
Telmisartanum
Telmizek, tabl., 40 mg
28 szt.
5909990902002
934
Telmisartanum
Telmizek, tabl., 80 mg
28 szt.
5909990902095
935
Telmisartanum
Tezeo, tabl., 40 mg
28 tabl.
5909990818082
936
Telmisartanum
Tezeo, tabl., 40 mg
56 szt.
5909991086626
937
Telmisartanum
Tezeo, tabl., 80 mg
28 tabl.
5909990818150
938
Telmisartanum
Tezeo, tabl., 80 mg
56 szt.
5909991086633
939
Telmisartanum
Tolura 40 mg tabletki, tabl. powl., 40 mg
28 tabl.
5909997077604
940
Telmisartanum
Tolura 80 mg tabletki, tabl. powl., 80 mg
28 tabl.
5909997077673
941
Telmisartanum
Tolura, tabl., 40 mg
56 tabl.
5909997077628
942
Telmisartanum
Tolura, tabl., 40 mg
84 szt.
5909997077635
943
Telmisartanum
Tolura, tabl., 80 mg
56 tabl.
5909997077697
944
Telmisartanum
Tolura, tabl., 80 mg
84 szt.
5909997077703
945
Telmisartanum
Zanacodar, tabl., 40 mg
28 szt.
5909990941841
946
Telmisartanum
Zanacodar, tabl., 80 mg
28 szt.
5909990941926
947
Telmisartanum + Hydrochlorothiazidum
Actelsar HCT, tabl., 80+12,5 mg
28 szt.
5909991056247
948
Telmisartanum + Hydrochlorothiazidum
Actelsar HCT, tabl., 80+25 mg
28 szt.
5909991056773
lp.
Substancja czynna
Nazwa, postać i dawka leku, środka spożywczego specjalnego przeznaczenia
żywieniowego albo wyrobu medycznego
Zawartość opakowania
Kod EAN lub inny kod odpowiadający kodowi
EAN
1
2
3
4
5
949
Telmisartanum + Hydrochlorothiazidum
Gisartan, tabl., 40+12,5 mg
28 szt.
5909991079802
950
Telmisartanum + Hydrochlorothiazidum
Gisartan, tabl., 80+12,5 mg
28 szt.
5909991080051
951
Telmisartanum + Hydrochlorothiazidum
Gisartan, tabl., 80+25 mg
28 szt.
5909991080174
952
Telmisartanum + Hydrochlorothiazidum
MicardisPlus, tabl., 80+12,5 mg
28 szt.
5909991020026
953
Telmisartanum + Hydrochlorothiazidum
MicardisPlus, tabl., 80+25 mg
14 szt.
5909990653010
954
Telmisartanum + Hydrochlorothiazidum
MicardisPlus, tabl., 80+25 mg
28 szt.
5909990653027
955
Telmisartanum + Hydrochlorothiazidum
Polsart Plus, tabl., 40+12,5 mg
28 szt.
5909991079451
956
Telmisartanum + Hydrochlorothiazidum
Polsart Plus, tabl., 80+12,5 mg
28 szt.
5909991079598
957
Telmisartanum + Hydrochlorothiazidum
Polsart Plus, tabl., 80+25 mg
28 szt.
5909991079703
958
Telmisartanum + Hydrochlorothiazidum
PritorPlus, tabl., 40+12,5 mg
28 szt.
5909991068325
959
Telmisartanum + Hydrochlorothiazidum
PritorPlus, tabl., 80+12,5 mg
28 szt.
5909991068424
960
Telmisartanum + Hydrochlorothiazidum
PritorPlus, tabl., 80+25 mg
28 szt.
5909990644834
961
Telmisartanum + Hydrochlorothiazidum
Telmisartan/Hydrochlorothiazide Billev, tabl., 40+12,5 mg
30 szt.
5909991085209
962
Telmisartanum + Hydrochlorothiazidum
Telmisartan/Hydrochlorothiazide Billev, tabl., 40+12,5 mg
60 szt.
5909991085247
963
Telmisartanum + Hydrochlorothiazidum
Telmisartan/Hydrochlorothiazide Billev, tabl., 80+12,5 mg
30 szt.
5909991085339
964
Telmisartanum + Hydrochlorothiazidum
Telmisartan/Hydrochlorothiazide Billev, tabl., 80+12,5 mg
60 szt.
5909991085353
965
Telmisartanum + Hydrochlorothiazidum
Telmisartan/Hydrochlorothiazide Billev, tabl., 80+25 mg
30 szt.
5909991085469
966
Telmisartanum + Hydrochlorothiazidum
Telmisartan/Hydrochlorothiazide Billev, tabl., 80+25 mg
60 szt.
5909991085483
967
Telmisartanum + Hydrochlorothiazidum
Telmisartan/hydrochlorothiazide EGIS, tabl., 40+12,5 mg
28 szt.
5909991073732
968
Telmisartanum + Hydrochlorothiazidum
Telmisartan/hydrochlorothiazide EGIS, tabl., 80+12,5 mg
28 szt.
5909991073848
969
Telmisartanum + Hydrochlorothiazidum
Telmisartan/hydrochlorothiazide EGIS, tabl., 80+25 mg
28 szt.
5909991073909
970
Telmisartanum + Hydrochlorothiazidum
Telmizek HCT, tabl., 40+12,5 mg
28 szt.
5909991082338
971
Telmisartanum + Hydrochlorothiazidum
Telmizek HCT, tabl., 80+12,5 mg
28 szt.
5909991082529
972
Telmisartanum + Hydrochlorothiazidum
Telmizek HCT, tabl., 80+25 mg
28 szt.
5909991082598
973
Telmisartanum + Hydrochlorothiazidum
Tezeo HCT, tabl., 40+12,5 mg
28 szt.
5909991095994
974
Telmisartanum + Hydrochlorothiazidum
Tezeo HCT, tabl., 40+12,5 mg
56 szt.
5909991096007
975
Telmisartanum + Hydrochlorothiazidum
Tezeo HCT, tabl., 80+12,5 mg
28 szt.
5909991096038
976
Telmisartanum + Hydrochlorothiazidum
Tezeo HCT, tabl., 80+12,5 mg
56 szt.
5909991096045
977
Telmisartanum + Hydrochlorothiazidum
Tezeo HCT, tabl., 80+25 mg
28 szt.
5909991096069
978
Telmisartanum + Hydrochlorothiazidum
Tezeo HCT, tabl., 80+25 mg
56 szt.
5909991096076
lp.
Substancja czynna
Nazwa, postać i dawka leku, środka spożywczego specjalnego przeznaczenia
żywieniowego albo wyrobu medycznego
Zawartość opakowania
Kod EAN lub inny kod odpowiadający kodowi
EAN
1
2
3
4
5
979
Telmisartanum + Hydrochlorothiazidum
Tolucombi, tabl., 40+12,5 mg
28 szt.
5909991045180
980
Telmisartanum + Hydrochlorothiazidum
Tolucombi, tabl., 40+12,5 mg
56 szt.
5909991045203
981
Telmisartanum + Hydrochlorothiazidum
Tolucombi, tabl., 40+12,5 mg
84 szt.
5909991045265
982
Telmisartanum + Hydrochlorothiazidum
Tolucombi, tabl., 80+12,5 mg
28 szt.
5909991045692
983
Telmisartanum + Hydrochlorothiazidum
Tolucombi, tabl., 80+12,5 mg
56 szt.
5909991045722
984
Telmisartanum + Hydrochlorothiazidum
Tolucombi, tabl., 80+12,5 mg
84 szt.
5909991045746
985
Telmisartanum + Hydrochlorothiazidum
Tolucombi, tabl., 80+25 mg
28 szt.
5909991045807
986
Telmisartanum + Hydrochlorothiazidum
Tolucombi, tabl., 80+25 mg
56 szt.
5909991045852
987
Telmisartanum + Hydrochlorothiazidum
Tolucombi, tabl., 80+25 mg
84 szt.
5909991045876
988
Telmisartanum + Hydrochlorothiazidum
Zanacodar Combi, tabl., 40+12,5 mg
28 szt.
5909991226381
989
Telmisartanum + Hydrochlorothiazidum
Zanacodar Combi, tabl., 80+12,5 mg
28 szt.
5909991226398
990
Telmisartanum + Hydrochlorothiazidum
Zanacodar Combi, tabl., 80+25 mg
28 szt.
5909991226404
991
Terazosinum
Hytrin, tabl., 10 mg
28 szt. (2 blist.po 14 szt.)
5909990768011
992
Terazosinum
Hytrin, tabl., 2 mg
28 szt. (2 blist.po 14 szt.)
5909990767816
993
Terazosinum
Hytrin, tabl., 5 mg
28 szt. (2 blist.po 14 szt.)
5909990767915
994
Terazosinum
Kornam, tabl., 2 mg
30 szt. (3 blist.po 10 szt.)
5909990484119
995
Terazosinum
Kornam, tabl., 5 mg
30 szt. (3 blist.po 10 szt.)
5909990484317
996
Ticlopidinum
Aclotin, tabl. powl., 0,25 g
60 szt. (3 blist.po 20 szt.)
5909990334971
997
Ticlopidinum
Aclotin, tabl. powl., 0,25 g
20 szt. (1 blist.po 20 szt.)
5909990667116
998
Ticlopidinum
Apo-Clodin, tabl. powl., 250 mg
60 szt. (1 but.po 60 szt.)
5909990646616
999
Ticlopidinum
Apo-Clodin, tabl. powl., 250 mg
30 szt. (1 but.po 30 szt.)
5909990938315
1000
Ticlopidinum
Iclopid, tabl. powl., 250 mg
60 szt.
5909990044986
1001
Ticlopidinum
Iclopid, tabl. powl., 250 mg
20 szt.
5909991029333
1002
Ticlopidinum
Ifapidin, tabl. powl., 250 mg
60 szt. (6 blist.po 10 szt.)
5909990694846
1003
Ticlopidinum
Ifapidin, tabl. powl., 250 mg
20 szt. (2 blist.po 10 szt.)
5909990694853
1004
Timololum
Cusimolol 0,5%, krople do oczu, roztwór, 5 mg/ml
1 but.po 5 ml
5909990187713
1005
Timololum
Oftensin, krople do oczu, roztwór, 2,5 mg/ml
5 ml
5909990073610
1006
Timololum
Oftensin, krople do oczu, roztwór, 5 mg/ml
5 ml
5909990073719
1007
Tiotropii bromidum
Spiriva Respimat, roztwór do inhalacji, 2,5 µg/dawkę odmierzoną
1 wkł.po 30 dawek leczniczych (60 dawek odmierzonych) + 1 inhalator
Respimat
5909990735839
1008
Tiotropii bromidum
Spiriva, proszek do inhalacji w kaps. twardych, 18 µg/dawkę inhalacyjną
30 szt. (3 blist.po 10 szt.)
5909990985111
lp.
Substancja czynna
Nazwa, postać i dawka leku, środka spożywczego specjalnego przeznaczenia
żywieniowego albo wyrobu medycznego
Zawartość opakowania
Kod EAN lub inny kod odpowiadający kodowi
EAN
1
2
3
4
5
1009
Tiotropii bromidum
Spiriva, proszek do inhalacji w kaps. twardych, 18 µg/dawkę inhalacyjną
30 szt. (3 blist.po 10 szt. + HandiHaler)
5909990985128
1010
Trazodonum
Trittico CR, tabl. o przedłużonym uwalnianiu, 150 mg
60 szt. (6 blist.po 10 szt.)
5909990715497
1011
Trazodonum
Trittico CR, tabl. o przedłużonym uwalnianiu, 150 mg
20 szt. (2 blist.po 10 szt.)
5909990918720
1012
Trazodonum
Trittico CR, tabl. o przedłużonym uwalnianiu, 75 mg
30 szt. (2 blist.po 15 szt.)
5909990918621
1013
Umeclidinii bromidum
Incruse, proszek do inhalacji, 55 µg
30 daw.
5909991108953
1014
Valsartanum
Apo-Valsart, tabl. powl., 160 mg
28 tabl.
5909990870905
1015
Valsartanum
Apo-Valsart, tabl. powl., 80 mg
28 tabl.
5909990870561
1016
Valsartanum
Avasart, tabl. powl., 160 mg
28 szt.. (4 blist.po 7 szt.)
5909990773763
1017
Valsartanum
Avasart, tabl. powl., 80 mg
28 szt.. (4 blist.po 7 szt.)
5909990773695
1018
Valsartanum
Axudan, tabl. powl., 160 mg
28 szt.
5909990831067
1019
Valsartanum
Axudan, tabl. powl., 160 mg
56 szt.
5909990831081
1020
Valsartanum
Axudan, tabl. powl., 160 mg
28 szt.
5909991225971
1021
Valsartanum
Axudan, tabl. powl., 160 mg
28 szt.
5909991230395
1022
Valsartanum
Axudan, tabl. powl., 320 mg
28 szt.
5909990831159
1023
Valsartanum
Axudan, tabl. powl., 80 mg
28 szt.
5909990830961
1024
Valsartanum
Axudan, tabl. powl., 80 mg
56 szt.
5909990830985
1025
Valsartanum
Axudan, tabl. powl., 80 mg
28 szt.
5909991225988
1026
Valsartanum
Bespres, tabl. powl., 160 mg
28 szt. (2 blist.po 14 szt.)
5909990751877
1027
Valsartanum
Bespres, tabl. powl., 80 mg
28 szt. (2 blist.po 14 szt.)
5909990751594
1028
Valsartanum
Diovan, tabl. powl., 160 mg
28 szt. (2 blist.po 14 szt.)
5909990929214
1029
Valsartanum
Diovan, tabl. powl., 160 mg
14 szt. (1 blist.po 14 szt.)
5909990929238
1030
Valsartanum
Diovan, tabl. powl., 80 mg
28 szt. (2 blist.po 14 szt.)
5909990929115
1031
Valsartanum
Ivisart, tabl., 160 mg
28 szt. (4 blist.po 7 szt.)
5909990686254
1032
Valsartanum
Nortivan, tabl. powl., 160 mg
28 szt.
5909990726844
1033
Valsartanum
Nortivan, tabl. powl., 80 mg
28 szt.
5909990726776
1034
Valsartanum
Tensart, tabl. powl., 160 mg
28 szt. (4 blist.po 7 szt.)
5909990682065
1035
Valsartanum
Tensart, tabl. powl., 80 mg
28 szt. (4 blist.po 7 szt.)
5909990681877
1036
Valsartanum
Valsacor 160 mg tabletki powlekane, tabl. powl., 160 mg
28 szt. (4 blist.po 7 szt.)
5909990074969
1037
Valsartanum
Valsacor 160 mg tabletki, tabl. powl., 160 mg
90 szt.
5909990818990
1038
Valsartanum
Valsacor 160, tabl. powl., 160 mg
60 szt.
5909990818983
lp.
Substancja czynna
Nazwa, postać i dawka leku, środka spożywczego specjalnego przeznaczenia
żywieniowego albo wyrobu medycznego
Zawartość opakowania
Kod EAN lub inny kod odpowiadający kodowi
EAN
1
2
3
4
5
1039
Valsartanum
Valsacor 320 mg tabletki powlekane, tabl. powl., 320 mg
28 szt.
5909990779147
1040
Valsartanum
Valsacor 320 mg tabletki powlekane, tabl. powl., 320 mg
28 szt.
5909991216306
1041
Valsartanum
Valsacor 320 mg tabletki powlekane, tabl. powl., 320 mg
28 szt.
5909991261801
1042
Valsartanum
Valsacor 80 mg tabletki powlekane, tabl. powl., 80 mg
28 szt. (4 blist.po 7 szt.)
5909990074945
1043
Valsartanum
Valsacor 80 mg tabletki powlekane, tabl. powl., 80 mg
90 szt.
5909990818860
1044
Valsartanum
Valsacor 80, tabl. powl., 80 mg
60 szt.
5909990818853
1045
Valsartanum
Valsargen, kaps. twarde, 160 mg
28 szt.
5909990857081
1046
Valsartanum
Valsargen, kaps. twarde, 80 mg
28 szt.
5909990856954
1047
Valsartanum
Valsartan 123ratio, kaps. twarde, 160 mg
28 szt.
5909990810697
1048
Valsartanum
Valsartan 123ratio, kaps. twarde, 80 mg
28 szt.
5909990810635
1049
Valsartanum
Valsartan Aurobindo, tabl. powl., 160 mg
28 szt.
5909990986057
1050
Valsartanum
Valsotens, tabl. powl., 160 mg
28 szt.
5909990693276
1051
Valsartanum
Valtap, tabl. powl., 160 mg
28 szt.
5909990804580
1052
Valsartanum
Valtap, tabl. powl., 160 mg
56 szt.
5909991088118
1053
Valsartanum
Valtap, tabl. powl., 80 mg
28 szt.
5909990804542
1054
Valsartanum
Valtap, tabl. powl., 80 mg
56 szt.
5909991088101
1055
Valsartanum
Valzek, tabl., 160 mg
28 tabl.
5909991202330
1056
Valsartanum
Valzek, tabl., 80 mg
28 tabl.
5909991202286
1057
Valsartanum
Vanatex, tabl. powl., 160 mg
28 szt.
5909990827480
1058
Valsartanum
Vanatex, tabl. powl., 80 mg
28 szt.
5909990827459
1059
Valsartanum
Walsartan KRKA, tabl. powl., 160 mg
28 szt.
5909991003081
1060
Valsartanum
Walsartan KRKA, tabl. powl., 80 mg
28 szt.
5909991002794
1061
Valsartanum + Hydrochlorothiazidum
ApoValsart HCT, tabl. powl., 160+25 mg
28 szt.
5909991028688
1062
Valsartanum + Hydrochlorothiazidum
Awalten, tabl. powl., 160+12,5 mg
28 szt.
5909991077341
1063
Valsartanum + Hydrochlorothiazidum
Awalten, tabl. powl., 160+12,5 mg
56 szt.
5909991077372
1064
Valsartanum + Hydrochlorothiazidum
Awalten, tabl. powl., 160+25 mg
28 szt.
5909991242893
1065
Valsartanum + Hydrochlorothiazidum
Awalten, tabl. powl., 160+25 mg
56 szt.
5909991242916
1066
Valsartanum + Hydrochlorothiazidum
Awalten, tabl. powl., 320+12,5 mg
28 szt.
5909991077655
1067
Valsartanum + Hydrochlorothiazidum
Awalten, tabl. powl., 320+25 mg
28 szt.
5909991077792
1068
Valsartanum + Hydrochlorothiazidum
Awalten, tabl. powl., 80+12,5 mg
28 szt.
5909991242787
lp.
Substancja czynna
Nazwa, postać i dawka leku, środka spożywczego specjalnego przeznaczenia
żywieniowego albo wyrobu medycznego
Zawartość opakowania
Kod EAN lub inny kod odpowiadający kodowi
EAN
1
2
3
4
5
1069
Valsartanum + Hydrochlorothiazidum
Axudan HCT, tabl. powl., 160+12,5 mg
28 szt.
5909990829989
1070
Valsartanum + Hydrochlorothiazidum
Axudan HCT, tabl. powl., 160+12,5 mg
56 szt.
5909990830008
1071
Valsartanum + Hydrochlorothiazidum
Axudan HCT, tabl. powl., 160+12,5 mg
28 szt.
5909991230234
1072
Valsartanum + Hydrochlorothiazidum
Axudan HCT, tabl. powl., 160+25 mg
28 szt.
5909990830107
1073
Valsartanum + Hydrochlorothiazidum
Axudan HCT, tabl. powl., 160+25 mg
56 szt.
5909990830138
1074
Valsartanum + Hydrochlorothiazidum
Axudan HCT, tabl. powl., 160+25 mg
28 szt.
5909991230333
1075
Valsartanum + Hydrochlorothiazidum
Axudan HCT, tabl. powl., 320+12,5 mg
28 szt.
5909990830176
1076
Valsartanum + Hydrochlorothiazidum
Axudan HCT, tabl. powl., 320+25 mg
28 szt.
5909990830244
1077
Valsartanum + Hydrochlorothiazidum
Axudan HCT, tabl. powl., 80+12,5 mg
28 szt.
5909990829927
1078
Valsartanum + Hydrochlorothiazidum
Axudan HCT, tabl. powl., 80+12,5 mg
56 szt.
5909990829941
1079
Valsartanum + Hydrochlorothiazidum
Co-Bespres, tabl. powl., 160+12,5 mg
28 szt.
5909990874255
1080
Valsartanum + Hydrochlorothiazidum
Co-Bespres, tabl. powl., 160+25 mg
14 szt. (1 blist.po 14 szt.)
5909990740857
1081
Valsartanum + Hydrochlorothiazidum
Co-Bespres, tabl. powl., 160+25 mg
28 szt. (2 blist.po 14 szt.)
5909990740864
1082
Valsartanum + Hydrochlorothiazidum
Co-Bespres, tabl. powl., 160+25 mg
28 szt.
5909991282028
1083
Valsartanum + Hydrochlorothiazidum
Co-Bespres, tabl. powl., 80+12,5 mg
28 szt. (2 blist.po 14 szt.)
5909990740833
1084
Valsartanum + Hydrochlorothiazidum
Co-Diovan, tabl. powl., 160+25 mg
14 szt. (1 blist.po 14 szt.)
5909991062927
1085
Valsartanum + Hydrochlorothiazidum
Co-Nortivan, tabl. powl., 160+12,5 mg
28 szt.
5909990772452
1086
Valsartanum + Hydrochlorothiazidum
Co-Nortivan, tabl. powl., 160+25 mg
28 szt.
5909990772506
1087
Valsartanum + Hydrochlorothiazidum
Co-Nortivan, tabl. powl., 80+12,5 mg
28 szt.
5909990772292
1088
Valsartanum + Hydrochlorothiazidum
Co-Valsacor, tabl. powl., 160+12,5 mg
28 szt. (2 blist.po 14 szt.)
5909990740246
1089
Valsartanum + Hydrochlorothiazidum
Co-Valsacor, tabl. powl., 160+12,5 mg
56 tabl.
5909990740253
1090
Valsartanum + Hydrochlorothiazidum
Co-Valsacor, tabl. powl., 160+12,5 mg
98 szt.
5909990740260
1091
Valsartanum + Hydrochlorothiazidum
Co-Valsacor, tabl. powl., 160+25 mg
28 szt. (2 blist.po 14 szt.)
5909990740277
1092
Valsartanum + Hydrochlorothiazidum
Co-Valsacor, tabl. powl., 160+25 mg
56 tabl.
5909990740284
1093
Valsartanum + Hydrochlorothiazidum
Co-Valsacor, tabl. powl., 160+25 mg
98 szt.
5909990740291
1094
Valsartanum + Hydrochlorothiazidum
Co-valsacor, tabl. powl., 320+12,5 mg
28 szt.
5909990847464
1095
Valsartanum + Hydrochlorothiazidum
Co-valsacor, tabl. powl., 320+25 mg
28 szt.
5909990847501
1096
Valsartanum + Hydrochlorothiazidum
Co-Valsacor, tabl. powl., 80+12,5 mg
28 tabl.
5909990740192
1097
Valsartanum + Hydrochlorothiazidum
Co-Valsacor, tabl. powl., 80+12,5 mg
56 tabl.
5909990740208
1098
Valsartanum + Hydrochlorothiazidum
Co-Valsacor, tabl. powl., 80+12,5 mg
98 szt.
5909990740239
lp.
Substancja czynna
Nazwa, postać i dawka leku, środka spożywczego specjalnego przeznaczenia
żywieniowego albo wyrobu medycznego
Zawartość opakowania
Kod EAN lub inny kod odpowiadający kodowi
EAN
1
2
3
4
5
1099
Valsartanum + Hydrochlorothiazidum
Tensart HCT, tabl. powl., 160+12,5 mg
28 szt. (2 blist.po 14 szt.)
5909990704132
1100
Valsartanum + Hydrochlorothiazidum
Tensart HCT, tabl. powl., 160+25 mg
28 szt. (2 blist.po 14 szt.)
5909990704262
1101
Valsartanum + Hydrochlorothiazidum
Valsartan + hydrochlorothiazide Aurobindo, tabl. powl., 160+25 mg
28 szt.
5909991077495
1102
Valsartanum + Hydrochlorothiazidum
Valsartan + hydrochlorothiazide Krka, tabl. powl., 160+12,5 mg
28 szt.
5909990847600
1103
Valsartanum + Hydrochlorothiazidum
Valsartan + hydrochlorothiazide Krka, tabl. powl., 160+25 mg
28 szt.
5909990847655
1104
Valsartanum + Hydrochlorothiazidum
Valsartan HCT Mylan, tabl. powl., 160+12,5 mg
28 szt.
5909991045500
1105
Valsartanum + Hydrochlorothiazidum
Valsartan HCT Mylan, tabl. powl., 160+25 mg
14 szt.
5909991046750
1106
Valsartanum + Hydrochlorothiazidum
Valsartan HCT Mylan, tabl. powl., 160+25 mg
28 szt.
5909991046767
1107
Valsartanum + Hydrochlorothiazidum
Valsotens HCT, tabl. powl., 160+12,5 mg
28 szt.
5909990877386
1108
Valsartanum + Hydrochlorothiazidum
Valsotens HCT, tabl. powl., 160+25 mg
28 szt.
5909990877201
1109
Valsartanum + Hydrochlorothiazidum
Valtap HCT, tabl. powl., 160+12,5 mg
28 szt.
5909990801961
1110
Valsartanum + Hydrochlorothiazidum
Valtap HCT, tabl. powl., 160+12,5 mg
56 szt.
5909991067557
1111
Valsartanum + Hydrochlorothiazidum
Valtap HCT, tabl. powl., 160+25 mg
28 szt.
5909990802005
1112
Valsartanum + Hydrochlorothiazidum
Valtap HCT, tabl. powl., 160+25 mg
14 szt.
5909990813995
1113
Valsartanum + Hydrochlorothiazidum
Valtap HCT, tabl. powl., 160+25 mg
56 szt.
5909991067564
1114
Valsartanum + Hydrochlorothiazidum
Vanatex HCT, tabl. powl., 160+12,5 mg
28 szt.
5909990862375
1115
Valsartanum + Hydrochlorothiazidum
Vanatex HCT, tabl. powl., 160+25 mg
28 szt.
5909990862399
1116
Valsartanum + Hydrochlorothiazidum
Vanatex HCT, tabl. powl., 80+12,5 mg
28 szt.
5909990862351
1117
Venlafaxinum
Alventa, kaps. o przedłużonym uwalnianiu, 150 mg
60 tabl.
5909991197735
1118
Venlafaxinum
Alventa, kaps. o przedłużonym uwalnianiu, 75 mg
60 tabl.
5909991197728
1119
Venlafaxinum
Alventa, kaps. o przedłużonym uwalnianiu, twarde, 150 mg
28 szt.
5909990047956
1120
Venlafaxinum
Alventa, kaps. o przedłużonym uwalnianiu, twarde, 150 mg
28 szt.
5909991265717
1121
Venlafaxinum
Alventa, kaps. o przedłużonym uwalnianiu, twarde, 37,5 mg
28 szt. (2 blist.po 14 szt.)
5909990047901
1122
Venlafaxinum
Alventa, kaps. o przedłużonym uwalnianiu, twarde, 75 mg
28 szt.
5909990047895
1123
Venlafaxinum
Alventa, kaps. o przedłużonym uwalnianiu, twarde, 75 mg
28 szt.
5909991265694
1124
Venlafaxinum
Axyven, tabl. o przedłużonym uwalnianiu, 150 mg
28 szt. (2 blist.po 14 szt.)
5909990660650
1125
Venlafaxinum
Axyven, tabl. o przedłużonym uwalnianiu, 37,5 mg
28 szt. (2 blist.po 14 szt.)
5909990660636
1126
Venlafaxinum
Axyven, tabl. o przedłużonym uwalnianiu, 75 mg
28 szt. (2 blist.po 14 szt.)
5909990660643
1127
Venlafaxinum
Efectin ER 150, kaps. o przedłużonym uwalnianiu, twarde, 150 mg
28 szt. (2 blist.po 14 szt.)
5909990494019
1128
Venlafaxinum
Efectin ER 75, kaps. o przedłużonym uwalnianiu, twarde, 75 mg
28 szt. (2 blist.po 14 szt.)
5909990493913
lp.
Substancja czynna
Nazwa, postać i dawka leku, środka spożywczego specjalnego przeznaczenia
żywieniowego albo wyrobu medycznego
Zawartość opakowania
Kod EAN lub inny kod odpowiadający kodowi
EAN
1
2
3
4
5
1129
Venlafaxinum
Efevelon SR, kaps. o przedłużonym uwalnianiu, twarde, 150 mg
28 szt.
5909990715374
1130
Venlafaxinum
Efevelon SR, kaps. o przedłużonym uwalnianiu, twarde, 37,5 mg
28 szt.
5909990715299
1131
Venlafaxinum
Efevelon SR, kaps. o przedłużonym uwalnianiu, twarde, 75 mg
28 szt.
5909990715350
1132
Venlafaxinum
Faxigen XL 150 mg, kaps. o przedłużonym uwalnianiu, twarde, 150 mg
28 szt.
5909990721528
1133
Venlafaxinum
Faxigen XL 37,5 mg, kaps. o przedłużonym uwalnianiu, twarde, 37,5 mg
28 szt.
5909990721498
1134
Venlafaxinum
Faxigen XL 75 mg, kaps. o przedłużonym uwalnianiu, twarde, 75 mg
28 szt.
5909990721504
1135
Venlafaxinum
Faxolet ER, kaps. o przedłużonym uwalnianiu, twarde, 150 mg
28 szt.
5909990691883
1136
Venlafaxinum
Faxolet ER, kaps. o przedłużonym uwalnianiu, twarde, 37,5 mg
28 szt.
5909990691760
1137
Venlafaxinum
Faxolet ER, kaps. o przedłużonym uwalnianiu, twarde, 75 mg
28 szt.
5909990691906
1138
Venlafaxinum
Lafactin, kaps. o przedłużonym uwalnianiu, 37,5 mg
28 szt.
5909990673728
1139
Venlafaxinum
Lafactin, kaps. o przedłużonym uwalnianiu, twarde, 150 mg
28 szt.
5909990673803
1140
Venlafaxinum
Lafactin, kaps. o przedłużonym uwalnianiu, twarde, 75 mg
28 szt.
5909990673766
1141
Venlafaxinum
Olwexya, kaps. o przedłużonym uwalnianiu, 75 mg
28 szt.
5909990663507
1142
Venlafaxinum
Oriven, kaps. o przedłużonym uwalnianiu, twarde, 150 mg
28 szt.
5909990795826
1143
Venlafaxinum
Oriven, kaps. o przedłużonym uwalnianiu, twarde, 150 mg
98 szt.
5909990795833
1144
Venlafaxinum
Oriven, kaps. o przedłużonym uwalnianiu, twarde, 37,5 mg
28 szt.
5909990795802
1145
Venlafaxinum
Oriven, kaps. o przedłużonym uwalnianiu, twarde, 37,5 mg
98 szt.
5909990795819
1146
Venlafaxinum
Oriven, kaps. o przedłużonym uwalnianiu, twarde, 75 mg
28 szt.
5909990795789
1147
Venlafaxinum
Oriven, kaps. o przedłużonym uwalnianiu, twarde, 75 mg
98 szt.
5909990795796
1148
Venlafaxinum
Prefaxine, kaps. o przedłużonym uwalnianiu, twarde, 150 mg
28 szt. (4 blist.po 7 szt.)
5909990727520
1149
Venlafaxinum
Prefaxine, kaps. o przedłużonym uwalnianiu, twarde, 37,5 mg
28 szt. (4 blist.po 7 szt.)
5909990727490
1150
Venlafaxinum
Prefaxine, kaps. o przedłużonym uwalnianiu, twarde, 75 mg
28 szt. (4 blist.po 7 szt.)
5909990727506
1151
Venlafaxinum
Symfaxin ER, kaps. o przedłużonym uwalnianiu, twarde, 150 mg
28 szt.
5909991092030
1152
Venlafaxinum
Symfaxin ER, kaps. o przedłużonym uwalnianiu, twarde, 75 mg
28 szt.
5909991091996
1153
Venlafaxinum
Symfaxin ER, kapsułki o przedłużonym uwalnianiu, twarde, 37,5 mg
28 kaps.
5909991135096
1154
Venlafaxinum
Velafax XL, kaps. o zmodyfikowanym uwalnianiu, 150 mg
28 szt. (2 blist.po 14 szt.)
5909990626724
1155
Venlafaxinum
Velafax XL, kaps. o zmodyfikowanym uwalnianiu, 75 mg
28 szt. (2 blist.po 14 szt.)
5909990626670
1156
Venlafaxinum
Velafax, tabl., 37,5 mg
28 szt.
5909991093815
1157
Venlafaxinum
Velafax, tabl., 37,5 mg
56 szt.
5909991093822
1158
Venlafaxinum
Velafax, tabl., 75 mg
28 szt.
5909991093914
lp.
Substancja czynna
Nazwa, postać i dawka leku, środka spożywczego specjalnego przeznaczenia
żywieniowego albo wyrobu medycznego
Zawartość opakowania
Kod EAN lub inny kod odpowiadający kodowi
EAN
1
2
3
4
5
1159
Venlafaxinum
Velafax, tabl., 75 mg
56 szt.
5909991093921
1160
Venlafaxinum
Velaxin ER 150 mg, kaps. o przedłużonym uwalnianiu, twarde, 150 mg
28 szt. (2 blist.po 14 szt.)
5909990056293
1161
Venlafaxinum
Velaxin ER 37,5 mg, kaps. o przedłużonym uwalnianiu, twarde, 37,5 mg
28 szt. (2 blist.po 14 szt.)
5909990055982
1162
Venlafaxinum
Velaxin ER 75 mg, kaps. o przedłużonym uwalnianiu, twarde, 75 mg
28 szt. (2 blist.po 14 szt.)
5909990056279
1163
Venlafaxinum
Venlafaxine Bluefish XL, kaps. o przedłużonym uwalnianiu, twarde, 150 mg
28 szt.
5909990767625
1164
Venlafaxinum
Venlafaxine Bluefish XL, kaps. o przedłużonym uwalnianiu, twarde, 75 mg
28 szt.
5909990767601
1165
Venlafaxinum
Venlectine, kaps. o przedłużonym uwalnianiu, 150 mg
28 szt. (4 blist.po 7 szt.)
5909990424672
1166
Venlafaxinum
Venlectine, kaps. o przedłużonym uwalnianiu, 37,5 mg
28 szt. (4 blist.po 7 szt.)
5909990040971
1167
Venlafaxinum
Venlectine, kaps. o przedłużonym uwalnianiu, 75 mg
28 szt. (4 blist.po 7 szt.)
5909990040995