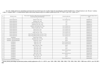
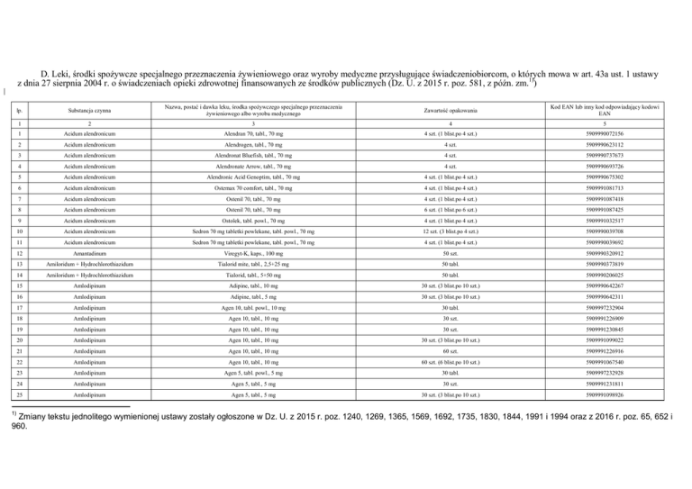
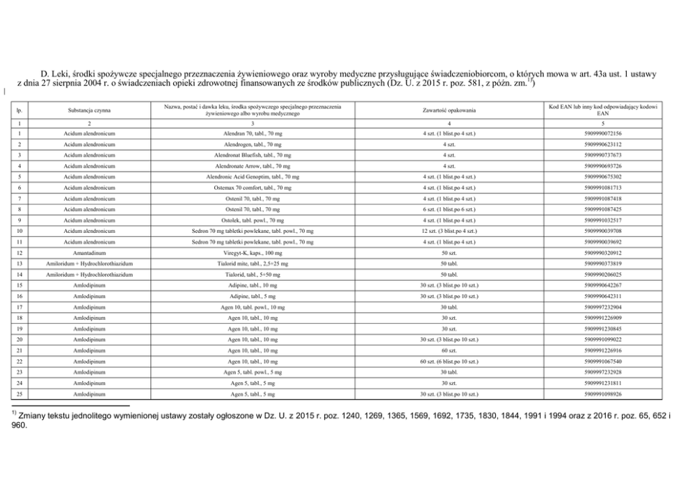
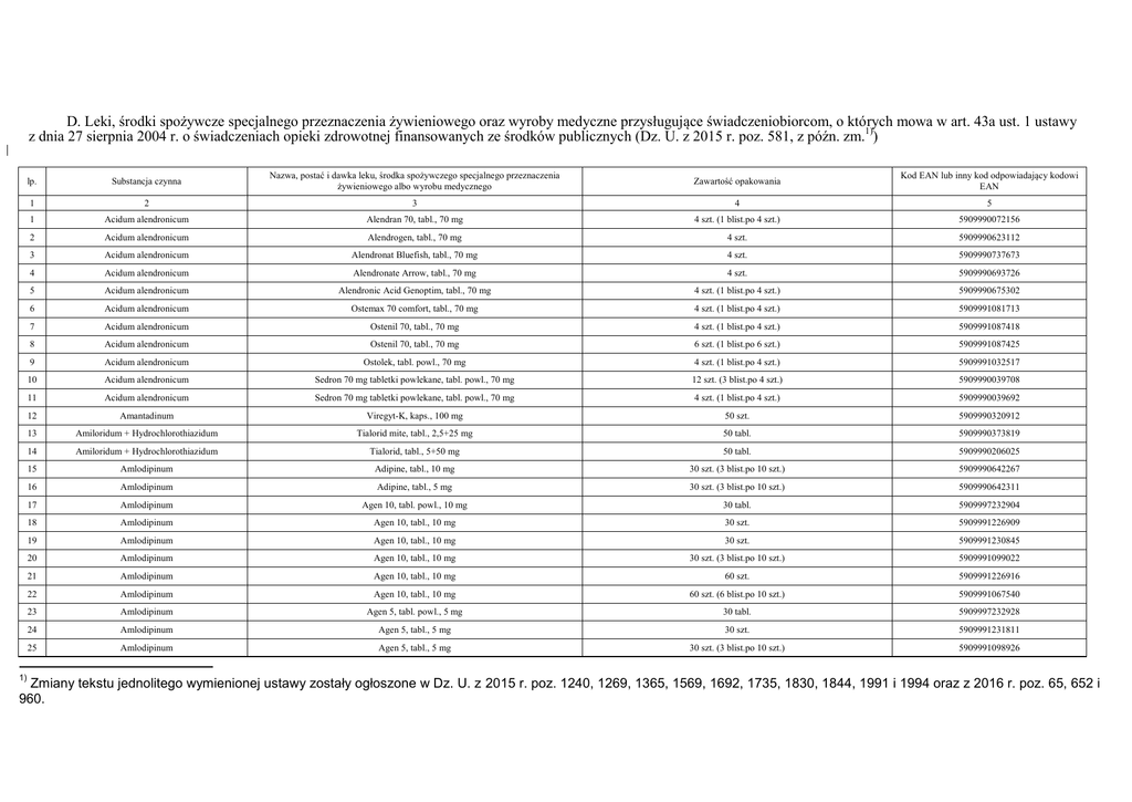
D. Leki, środki spożywcze specjalnego przeznaczenia

Transkrypt

D. Leki, środki spożywcze specjalnego przeznaczenia
D. Leki, środki spożywcze specjalnego przeznaczenia żywieniowego oraz wyroby medyczne przysługujące świadczeniobiorcom, o których mowa w art. 43a ust. 1 ustawy
z dnia 27 sierpnia 2004 r. o świadczeniach opieki zdrowotnej finansowanych ze środków publicznych (Dz. U. z 2015 r. poz. 581, z późn. zm.1))
lp.
1)
Substancja czynna
Nazwa, postać i dawka leku, środka spożywczego specjalnego przeznaczenia
żywieniowego albo wyrobu medycznego
Zawartość opakowania
Kod EAN lub inny kod odpowiadający kodowi
EAN
1
2
3
4
5
1
Acidum alendronicum
Alendran 70, tabl., 70 mg
4 szt. (1 blist.po 4 szt.)
5909990072156
2
Acidum alendronicum
Alendrogen, tabl., 70 mg
4 szt.
5909990623112
3
Acidum alendronicum
Alendronat Bluefish, tabl., 70 mg
4 szt.
5909990737673
4
Acidum alendronicum
Alendronate Arrow, tabl., 70 mg
4 szt.
5909990693726
5
Acidum alendronicum
Alendronic Acid Genoptim, tabl., 70 mg
4 szt. (1 blist.po 4 szt.)
5909990675302
6
Acidum alendronicum
Ostemax 70 comfort, tabl., 70 mg
4 szt. (1 blist.po 4 szt.)
5909991081713
7
Acidum alendronicum
Ostenil 70, tabl., 70 mg
4 szt. (1 blist.po 4 szt.)
5909991087418
8
Acidum alendronicum
Ostenil 70, tabl., 70 mg
6 szt. (1 blist.po 6 szt.)
5909991087425
9
Acidum alendronicum
Ostolek, tabl. powl., 70 mg
4 szt. (1 blist.po 4 szt.)
5909991032517
10
Acidum alendronicum
Sedron 70 mg tabletki powlekane, tabl. powl., 70 mg
12 szt. (3 blist.po 4 szt.)
5909990039708
11
Acidum alendronicum
Sedron 70 mg tabletki powlekane, tabl. powl., 70 mg
4 szt. (1 blist.po 4 szt.)
5909990039692
12
Amantadinum
Viregyt-K, kaps., 100 mg
50 szt.
5909990320912
13
Amiloridum + Hydrochlorothiazidum
Tialorid mite, tabl., 2,5+25 mg
50 tabl.
5909990373819
14
Amiloridum + Hydrochlorothiazidum
Tialorid, tabl., 5+50 mg
50 tabl.
5909990206025
15
Amlodipinum
Adipine, tabl., 10 mg
30 szt. (3 blist.po 10 szt.)
5909990642267
16
Amlodipinum
Adipine, tabl., 5 mg
30 szt. (3 blist.po 10 szt.)
5909990642311
17
Amlodipinum
Agen 10, tabl. powl., 10 mg
30 tabl.
5909997232904
18
Amlodipinum
Agen 10, tabl., 10 mg
30 szt.
5909991226909
19
Amlodipinum
Agen 10, tabl., 10 mg
30 szt.
5909991230845
20
Amlodipinum
Agen 10, tabl., 10 mg
30 szt. (3 blist.po 10 szt.)
5909991099022
21
Amlodipinum
Agen 10, tabl., 10 mg
60 szt.
5909991226916
22
Amlodipinum
Agen 10, tabl., 10 mg
60 szt. (6 blist.po 10 szt.)
5909991067540
23
Amlodipinum
Agen 5, tabl. powl., 5 mg
30 tabl.
5909997232928
24
Amlodipinum
Agen 5, tabl., 5 mg
30 szt.
5909991231811
25
Amlodipinum
Agen 5, tabl., 5 mg
30 szt. (3 blist.po 10 szt.)
5909991098926
Zmiany tekstu jednolitego wymienionej ustawy zostały ogłoszone w Dz. U. z 2015 r. poz. 1240, 1269, 1365, 1569, 1692, 1735, 1830, 1844, 1991 i 1994 oraz z 2016 r. poz. 65, 652 i
960.
lp.
Substancja czynna
Nazwa, postać i dawka leku, środka spożywczego specjalnego przeznaczenia
żywieniowego albo wyrobu medycznego
Zawartość opakowania
Kod EAN lub inny kod odpowiadający kodowi
EAN
1
2
3
4
5
26
Amlodipinum
Agen 5, tabl., 5 mg
60 szt. (6 blist.po 10 szt.)
5909991067533
27
Amlodipinum
Aldan, tabl., 10 mg
30 szt. (3 blist.po 10 szt.)
5909991008734
28
Amlodipinum
Aldan, tabl., 5 mg
30 szt. (3 blist.po 10 szt.)
5909991008635
29
Amlodipinum
Alneta, tabl., 10 mg
30 szt.
5909991068073
30
Amlodipinum
Alneta, tabl., 10 mg
60 tabl.
5909991068097
31
Amlodipinum
Alneta, tabl., 10 mg
90 tabl.
5909991068141
32
Amlodipinum
Alneta, tabl., 5 mg
30 szt.
5909991067977
33
Amlodipinum
Alneta, tabl., 5 mg
60 tabl.
5909991067991
34
Amlodipinum
Alneta, tabl., 5 mg
90 tabl.
5909991068035
35
Amlodipinum
Amlaxopin, tabl., 10 mg
30 szt.
5909990752720
36
Amlodipinum
Amlaxopin, tabl., 5 mg
30 szt.
5909990752690
37
Amlodipinum
Amlodipine Aurobindo, tabl., 10 mg
30 szt.
5909990955008
38
Amlodipinum
Amlodipine Aurobindo, tabl., 5 mg
30 szt.
5909990954254
39
Amlodipinum
Amlodipine Bluefish, tabl., 10 mg
30 szt.
5909990800551
40
Amlodipinum
Amlodipine Bluefish, tabl., 5 mg
30 szt.
5909990800469
41
Amlodipinum
Amlodipinum 123ratio, Amlodipine Teva, tabl., 10 mg
30 szt. (3 blist.po 10 szt.)
5909990721603
42
Amlodipinum
Amlodipinum 123ratio, Amlodipine Teva, tabl., 5 mg
30 szt. (3 blist.po 10 szt.)
5909990721580
43
Amlodipinum
Amlodipinum 123ratio, tabl., 10 mg
30 szt.
5909991225650
44
Amlodipinum
Amlomyl, tabl., 10 mg
30 szt.
5909990842698
45
Amlodipinum
Amlomyl, tabl., 5 mg
30 szt.
5909990842476
46
Amlodipinum
Amlonor, tabl., 10 mg
30 szt. (3 blist.po 10 szt.)
5909990642625
47
Amlodipinum
Amlonor, tabl., 5 mg
30 szt. (3 blist.po 10 szt.)
5909990642618
48
Amlodipinum
Amlopin 10 mg, tabl., 10 mg
30 szt.
5909997213699
49
Amlodipinum
Amlopin 10 mg, tabl., 10 mg
30 szt.
5909997218090
50
Amlodipinum
Amlopin 10 mg, tabl., 10 mg
30 szt. (3 blist.po 10 szt.)
5909990048977
51
Amlodipinum
Amlopin 10 mg, tabl., 10 mg
30 tabl.
5909997231501
52
Amlodipinum
Amlopin 5 mg, tabl., 5 mg
30 szt.
5909991200732
53
Amlodipinum
Amlopin 5 mg, tabl., 5 mg
30 szt.
5909997213675
54
Amlodipinum
Amlopin 5 mg, tabl., 5 mg
30 szt.
5909997218113
55
Amlodipinum
Amlopin 5 mg, tabl., 5 mg
30 szt. (3 blist.po 10 szt.)
5909990048939
lp.
Substancja czynna
Nazwa, postać i dawka leku, środka spożywczego specjalnego przeznaczenia
żywieniowego albo wyrobu medycznego
Zawartość opakowania
Kod EAN lub inny kod odpowiadający kodowi
EAN
1
2
3
4
5
56
Amlodipinum
Amlozek, tabl., 10 mg
30 szt.
5909990799817
57
Amlodipinum
Amlozek, tabl., 5 mg
30 szt.
5909990799718
58
Amlodipinum
Apo-Amlo 10, tabl., 10 mg
30 szt.
5909991236687
59
Amlodipinum
Apo-Amlo 10, tabl., 10 mg
30 szt. (3 blist.po 10 szt.)
5909990565993
60
Amlodipinum
Apo-Amlo 5, tabl., 5 mg
30 szt. (3 blist.po 10 szt.)
5909990565986
61
Amlodipinum
Cardilopin, tabl., 10 mg
30 szt. (3 blist.po 10 szt.)
5909990907519
62
Amlodipinum
Cardilopin, tabl., 2,5 mg
30 szt. (3 blist.po 10 szt.)
5909990907311
63
Amlodipinum
Cardilopin, tabl., 5 mg
30 szt. (3 blist.po 10 szt.)
5909990907410
64
Amlodipinum
Damloc, tabl., 10 mg
30 szt.
5909991261375
65
Amlodipinum
Damloc, tabl., 5 mg
30 szt.
5909991261337
66
Amlodipinum
Finamlox, tabl., 10 mg
30 szt.
5909990794461
67
Amlodipinum
Finamlox, tabl., 5 mg
30 tabl.
5909990794430
68
Amlodipinum
Normodipine, tabl., 10 mg
30 szt.
5909990993116
69
Amlodipinum
Normodipine, tabl., 5 mg
30 szt.
5909990993017
70
Amlodipinum
Tenox, tabl., 10 mg
30 szt. (3 blist.po 10 szt.)
5909990963119
71
Amlodipinum
Tenox, tabl., 5 mg
30 szt. (3 blist.po 10 szt.)
5909990963010
72
Amlodipinum
Tenox, tabl., 5 mg
90 szt. (9 blist.po 10 szt.)
5909990421824
73
Amlodipinum
Vilpin, tabl., 10 mg
28 szt.
5909991283797
74
Amlodipinum
Vilpin, tabl., 10 mg
30 szt. (3 blist.po 10 szt.)
5909991042912
75
Amlodipinum
Vilpin, tabl., 5 mg
30 szt. (3 blist.po 10 szt.)
5909990621217
76
Apixabanum
Eliquis, tabl. powl., 2,5 mg
20 tabl.
5909990861040
77
Atorvastatinum
Apo-Atorva, tabl. powl., 10 mg
30 szt.
5909990787586
78
Atorvastatinum
Apo-Atorva, tabl. powl., 20 mg
30 szt.
5909990787609
79
Atorvastatinum
Apo-Atorva, tabl. powl., 40 mg
30 szt.
5909990787647
80
Atorvastatinum
Atoris, tabl. powl., 10 mg
30 szt.
5909990991815
81
Atorvastatinum
Atoris, tabl. powl., 10 mg
90 szt. (9 blist.po 10 szt.)
5909990336647
82
Atorvastatinum
Atoris, tabl. powl., 20 mg
30 szt.
5909990991914
83
Atorvastatinum
Atoris, tabl. powl., 20 mg
60 tabl.
5909991013806
84
Atorvastatinum
Atoris, tabl. powl., 20 mg
90 szt.
5909990419173
85
Atorvastatinum
Atoris, tabl. powl., 30 mg
30 szt.
5909990885282
lp.
Substancja czynna
Nazwa, postać i dawka leku, środka spożywczego specjalnego przeznaczenia
żywieniowego albo wyrobu medycznego
Zawartość opakowania
Kod EAN lub inny kod odpowiadający kodowi
EAN
1
2
3
4
5
86
Atorvastatinum
Atoris, tabl. powl., 30 mg
60 tabl.
5909990885299
87
Atorvastatinum
Atoris, tabl. powl., 40 mg
30 szt.
5909990623464
88
Atorvastatinum
Atoris, tabl. powl., 40 mg
60 tabl.
5909990623471
89
Atorvastatinum
Atoris, tabl. powl., 40 mg
90 szt. (9 blist.po 10 szt.)
5909990623488
90
Atorvastatinum
Atoris, tabl. powl., 60 mg
30 szt.
5909990885336
91
Atorvastatinum
Atoris, tabl. powl., 80 mg
30 szt.
5909990885374
92
Atorvastatinum
Atorvagen, tabl. powl., 20 mg
30 szt.
5909990938926
93
Atorvastatinum
Atorvagen, tabl. powl., 40 mg
30 szt.
5909990938995
94
Atorvastatinum
Atorvastatin Bluefish, tabl. powl., 10 mg
30 szt.
5909990887262
95
Atorvastatinum
Atorvastatin Bluefish, tabl. powl., 20 mg
30 szt.
5909990887279
96
Atorvastatinum
Atorvastatin Bluefish, tabl. powl., 40 mg
30 szt.
5909990887286
97
Atorvastatinum
Atorvastatin Genoptim, tabl. powl., 10 mg
30 szt.
5909990900053
98
Atorvastatinum
Atorvastatin Genoptim, tabl. powl., 20 mg
30 szt.
5909990899920
99
Atorvastatinum
Atorvastatin Genoptim, tabl. powl., 40 mg
30 szt.
5909990900275
100
Atorvastatinum
Atorvastatin Genoptim, tabl. powl., 80 mg
30 tabl.
5909990900459
101
Atorvastatinum
Atorvastatin Vitama, tabl. powl., 10 mg
30 szt.
5909991200527
102
Atorvastatinum
Atorvastatin Vitama, tabl. powl., 20 mg
30 szt.
5909991200787
103
Atorvastatinum
Atorvastatin Vitama, tabl. powl., 40 mg
30 szt.
5909991201050
104
Atorvastatinum
Atorvastatinum 123ratio, tabl. powl., 10 mg
30 szt.
5909990848904
105
Atorvastatinum
Atorvastatinum 123ratio, tabl. powl., 20 mg
30 szt.
5909990849086
106
Atorvastatinum
Atorvastatinum 123ratio, tabl. powl., 40 mg
30 szt.
5909990849246
107
Atorvastatinum
Atorvasterol, tabl. powl., 10 mg
30 szt.
5909990077847
108
Atorvastatinum
Atorvasterol, tabl. powl., 20 mg
30 szt.
5909990077939
109
Atorvastatinum
Atorvasterol, tabl. powl., 40 mg
30 szt.
5909990078028
110
Atorvastatinum
Atorvasterol, tabl. powl., 80 mg
30 szt.
5909991041298
111
Atorvastatinum
Atorvox, tabl. powl., 10 mg
30 szt. (3 blist.po 10 szt.)
5909990573400
112
Atorvastatinum
Atorvox, tabl. powl., 20 mg
30 szt. (3 blist.po 10 szt.)
5909990573530
113
Atorvastatinum
Atorvox, tabl. powl., 40 mg
30 szt. (3 blist.po 10 szt.)
5909990573547
114
Atorvastatinum
Atractin, tabl. powl., 10 mg
30 szt. (3 blist.po 10 szt.)
5909990078141
115
Atorvastatinum
Atractin, tabl. powl., 20 mg
30 szt. (3 blist.po 10 szt.)
5909990078264
lp.
Substancja czynna
Nazwa, postać i dawka leku, środka spożywczego specjalnego przeznaczenia
żywieniowego albo wyrobu medycznego
Zawartość opakowania
Kod EAN lub inny kod odpowiadający kodowi
EAN
1
2
3
4
5
116
Atorvastatinum
Atractin, tabl. powl., 40 mg
30 szt. (3 blist.po 10 szt.)
5909990078356
117
Atorvastatinum
Atrox 10, tabl. powl., 10 mg
30 szt. (3 blist.po 10 szt.)
5909991124618
118
Atorvastatinum
Atrox 10, tabl. powl., 10 mg
60 tabl.
5907695215137
119
Atorvastatinum
Atrox 20, tabl. powl., 20 mg
30 szt. (3 blist.po 10 szt.)
5909991124717
120
Atorvastatinum
Atrox 20, tabl. powl., 20 mg
60 tabl.
5907695215144
121
Atorvastatinum
Atrox 40, tabl. powl., 40 mg
30 szt. (3 blist.po 10 szt.)
5909991124816
122
Atorvastatinum
Atrox 40, tabl. powl., 40 mg
60 tabl.
5907695215151
123
Atorvastatinum
Atrox, tabl. powl., 80 mg
30 szt.
5909991011383
124
Atorvastatinum
Corator, tabl. powl., 10 mg
30 szt. (2 blist.po 15 szt.)
5909991150914
125
Atorvastatinum
Corator, tabl. powl., 20 mg
30 szt. (3 blist.po 10 szt.)
5909991151010
126
Atorvastatinum
Corator, tabl. powl., 40 mg
30 szt. (3 blist.po 10 szt.)
5909991151119
127
Atorvastatinum
Lambrinex, tabl. powl., 10 mg
30 szt.
5909990905508
128
Atorvastatinum
Lambrinex, tabl. powl., 20 mg
30 szt.
5909990905638
129
Atorvastatinum
Lambrinex, tabl. powl., 40 mg
30 szt.
5909990905782
130
Atorvastatinum
Larus, tabl. powl., 10 mg
30 szt. (3 blist.po 10 szt.)
5909990078530
131
Atorvastatinum
Larus, tabl. powl., 20 mg
30 szt. (3 blist.po 10 szt.)
5909990078707
132
Atorvastatinum
Larus, tabl. powl., 40 mg
30 szt. (3 blist.po 10 szt.)
5909990078790
133
Atorvastatinum
Pharmastatin, tabl. powl., 10 mg
30 szt.
5909990745807
134
Atorvastatinum
Pharmastatin, tabl. powl., 20 mg
30 szt.
5909990745579
135
Atorvastatinum
Pharmastatin, tabl. powl., 40 mg
30 szt.
5909990745340
136
Atorvastatinum
Storvas CRT, tabl. powl., 10 mg
30 szt.
5909991042097
137
Atorvastatinum
Storvas CRT, tabl. powl., 20 mg
30 szt.
5909991042103
138
Atorvastatinum
Storvas CRT, tabl. powl., 40 mg
30 szt.
5909991042134
139
Atorvastatinum
Storvas CRT, tabl. powl., 80 mg
30 szt.
5909991042141
140
Atorvastatinum
Torvacard 10, tabl. powl., 10 mg
30 szt. (3 blist.po 10 szt.)
5909990338290
141
Atorvastatinum
Torvacard 20, tabl. powl., 20 mg
30 szt. (3 blist.po 10 szt.)
5909990338368
142
Atorvastatinum
Torvacard 40, tabl. powl., 40 mg
30 szt. (3 blist.po 10 szt.)
5909990338436
143
Atorvastatinum
Torvacard 40, tabl. powl., 40 mg
90 szt. (9 blist.po 10 szt.)
5909990338443
144
Atorvastatinum
Torvacard, tabl. powl., 80 mg
30 tabl.
5909990957071
145
Atorvastatinum
Torvalipin, tabl. powl., 10 mg
30 szt. (3 blist.po 10 szt.)
5909990053179
lp.
Substancja czynna
Nazwa, postać i dawka leku, środka spożywczego specjalnego przeznaczenia
żywieniowego albo wyrobu medycznego
Zawartość opakowania
Kod EAN lub inny kod odpowiadający kodowi
EAN
1
2
3
4
5
146
Atorvastatinum
Torvalipin, tabl. powl., 20 mg
30 szt. (3 blist.po 10 szt.)
5909990053230
147
Atorvastatinum
Torvalipin, tabl. powl., 40 mg
30 szt. (3 blist.po 10 szt.)
5909990053278
148
Atorvastatinum
Tulip 40 mg, tabl. powl., 40 mg
30 szt.
5909990810161
149
Atorvastatinum
Tulip 40 mg, tabl. powl., 40 mg
60 tabl.
5909990810178
150
Atorvastatinum
Tulip 40 mg, tabl. powl., 40 mg
90 tabl.
5909990810185
151
Atorvastatinum
Tulip 80 mg, tabl. powl., 80 mg
30 szt.
5909990810208
152
Atorvastatinum
Tulip, tabl. powl., 10 mg
30 szt. (3 blist.po 10 szt.)
5909990998814
153
Atorvastatinum
Tulip, tabl. powl., 10 mg
60 szt. (6 blist.po 10 szt.)
5909990998821
154
Atorvastatinum
Tulip, tabl. powl., 10 mg
90 szt. (9 blist.po 10 szt.)
5909990998838
155
Atorvastatinum
Tulip, tabl. powl., 20 mg
30 szt. (3 blist.po 10 szt.)
5909990998913
156
Atorvastatinum
Tulip, tabl. powl., 20 mg
60 szt. (6 blist.po 10 szt.)
5909990998920
157
Atorvastatinum
Tulip, tabl. powl., 20 mg
90 szt. (9 blist.po 10 szt.)
5909990998937
158
Betaxololum
Betoptic S, krople do oczu, zawiesina, 2,5 mg/ml
10 ml
5909990186525
159
Betaxololum
Betoptic S, krople do oczu, zawiesina, 2,5 mg/ml
5 ml
5909990186518
160
Betaxololum
Optibetol 0,5%, krople do oczu, roztwór, 5 mg/ml
5 ml (but.)
5909990925513
161
Biperidenum
Akineton, tabl., 2 mg
50 szt.
5909990503834
162
Biperidenum
Akineton, tabl., 2 mg
50 szt.
5909991199913
163
Biperidenum
Akineton, tabl., 2 mg
50 szt.
5909991216405
164
Biperidenum
Akineton, tabl., 2 mg
50 szt.
5909991260620
165
Biperidenum
Akineton, tabl., 2 mg
50 szt.
5909997076140
166
Biperidenum
Akineton, tabl., 2 mg
50 szt. (5 blist.po 10 szt.)
5909990193219
167
Biperidenum
Akineton, tabl., 2 mg
50 tabl.
5902023772306
168
Biperidenum
Akineton, tabl., 2 mg
50 tabl.
5909990500604
169
Budesonidum
Benodil, zawiesina do nebulizacji, 0,125 mg/ml
20 amp.po 2 ml
5909991283629
170
Budesonidum
Benodil, zawiesina do nebulizacji, 0,25 mg/ml
20 amp.po 2 ml
5909991283650
171
Budesonidum
Benodil, zawiesina do nebulizacji, 0,5 mg/ml
20 amp.po 2 ml
5909991283698
172
Budesonidum
Budelin Novolizer 200, proszek do inhalacji, 200 µg/dawkę inhalacyjną
1 poj.po 2,18 g proszku (200 daw.)
5909991033248
173
Budesonidum
Budelin Novolizer 200, proszek do inhalacji, 200 µg/dawkę inhalacyjną
1 poj.po 2,18 g proszku (200 daw.) + inhal. Novolizer
5909991033224
174
Budesonidum
Budesonide Easyhaler, proszek do inhalacji, 100 µg/dawkę
1 inh.po 200 daw. + opak. ochronne (zestaw startowy)
5909990337354
175
Budesonidum
Budesonide Easyhaler, proszek do inhalacji, 200 µg/dawkę
1 inh.po 200 daw. + opak. ochronne (zestaw startowy)
5909990337323
lp.
Substancja czynna
Nazwa, postać i dawka leku, środka spożywczego specjalnego przeznaczenia
żywieniowego albo wyrobu medycznego
Zawartość opakowania
Kod EAN lub inny kod odpowiadający kodowi
EAN
1
2
3
4
5
176
Budesonidum
Budesonide Easyhaler, proszek do inhalacji, 400 µg/dawkę
1 inh.po 100 daw. + opak. ochronne (zestaw startowy)
5909990337286
177
Budesonidum
60 kaps.
5909991204082
178
Budesonidum
60 kaps.
5909991203986
179
Budesonidum
Budiair, aerozol inhalacyjny, roztwór, 200 µg/dawkę odmierzoną
1 poj.po 200 daw. odmierzonych + inh.
5909990335169
180
Budesonidum
Budiair, aerozol inhalacyjny, roztwór, 200 µg/dawkę odmierzoną
1 poj.po 200 daw. odmierzonych + inh. z komorą inhalacyjną Jet
5909990335176
181
Budesonidum
Miflonide, proszek do inhalacji w kaps. twardych, 200 µg
60 szt. (6 blist.po 10 szt.)
5909990926213
182
Budesonidum
Miflonide, proszek do inhalacji w kaps. twardych, 400 µg
60 szt. (6 blist.po 10 szt.)
5909990926312
183
Budesonidum
Nebbud, zawiesina do nebulizacji, 0,25 mg/2 ml
20 szt.
5909991107925
184
Budesonidum
Nebbud, zawiesina do nebulizacji, 0,25 mg/ml
20 amp. po 2 ml
5909991005696
185
Budesonidum
Nebbud, zawiesina do nebulizacji, 0,5 mg/ml
20 amp. po 2 ml
5909991005733
186
Budesonidum
Pulmicort Turbuhaler, proszek do inhalacji, 100 µg/dawkę inhalacyjną
1 poj.po 200 daw.
5909990677313
187
Budesonidum
Pulmicort Turbuhaler, proszek do inhalacji, 200 µg/dawkę inhalacyjną
1 poj.po 100 daw.
5909990677412
188
Budesonidum
Pulmicort, zawiesina do nebulizacji, 0,125 mg/ml
20 poj.po 2 ml
5909990445615
189
Budesonidum
Pulmicort, zawiesina do nebulizacji, 0,25 mg/ml
20 poj.po 2 ml
5909990445714
190
Budesonidum
Pulmicort, zawiesina do nebulizacji, 0,5 mg/ml
20 poj.po 2 ml
5909990445813
191
Budesonidum
Pulmicort, zawiesina do nebulizacji, 0,5 mg/ml
20 poj.po 2 ml
5909991233099
192
Budesonidum
Pulmicort, zawiesina do nebulizacji, 0,5 mg/ml
20 poj.po 2 ml
5909991269784
193
Budesonidum
Ribuspir, aerozol inhalacyjny, roztwór, 200 µg/dawkę odmierzoną
1 poj.po 200 daw. odmierzonych + inh.
5909990335183
194
Budesonidum
Ribuspir, aerozol inhalacyjny, roztwór, 200 µg/dawkę odmierzoną
1 poj.po 200 daw. odmierzonych + inh. z komorą inhalacyjną Jet
5909990335190
195
Buspironum
Spamilan, tabl., 10 mg
60 szt.
5909997201450
196
Buspironum
Spamilan, tabl., 10 mg
60 szt.
5909997213538
197
Buspironum
Spamilan, tabl., 10 mg
60 szt. (6 blist.po 10 szt.)
5909990073603
Budezonid LEK-AM, proszek do inhalacji w kaps. twardych, 200 µg/dawkę
inhalacyjną
Budezonid LEK-AM, proszek do inhalacji w kaps. twardych, 400 µg/dawkę
inhalacyjną
198
Buspironum
Spamilan, tabl., 5 mg
60 szt. (6 blist.po 10 szt.)
5909990073597
199
Candesartanum cilexetilum
Atacand, tabl., 16 mg
28 szt. (2 blist.po 14 szt.)
5909990430123
200
Candesartanum cilexetilum
Atacand, tabl., 8 mg
14 szt. (1 blist.po 14 szt.)
5909990430017
201
Candesartanum cilexetilum
Atacand, tabl., 8 mg
28 szt. (2 blist.po 14 szt.)
5909990430024
202
Candesartanum cilexetilum
Candepres, tabl., 16 mg
28 szt. (4 blist.po 7 szt.)
5909990739653
203
Candesartanum cilexetilum
Candepres, tabl., 32 mg
28 tabl.
5909990739707
204
Candesartanum cilexetilum
Candepres, tabl., 8 mg
28 szt. (4 blist.po 7 szt.)
5909990739592
205
Candesartanum cilexetilum
Carzap, tabl., 16 mg
28 tabl.
5909990937172
lp.
Substancja czynna
Nazwa, postać i dawka leku, środka spożywczego specjalnego przeznaczenia
żywieniowego albo wyrobu medycznego
Zawartość opakowania
Kod EAN lub inny kod odpowiadający kodowi
EAN
1
2
3
4
5
206
Candesartanum cilexetilum
Carzap, tabl., 16 mg
56 szt.
5909990937196
207
Candesartanum cilexetilum
Carzap, tabl., 32 mg
28 tabl.
5909990937264
208
Candesartanum cilexetilum
Carzap, tabl., 8 mg
28 tabl.
5909990937080
209
Candesartanum cilexetilum
Carzap, tabl., 8 mg
56 szt.
5909990937103
210
Candesartanum cilexetilum
Kandesar, tabl., 16 mg
28 szt.
5909990962945
211
Candesartanum cilexetilum
Kandesar, tabl., 8 mg
28 szt.
5909990962839
212
Candesartanum cilexetilum
Kangen, tabl., 16 mg
28 szt.
5909991020507
213
Candesartanum cilexetilum
Kangen, tabl., 8 mg
28 szt.
5909991020309
214
Candesartanum cilexetilum
Karbis, tabl., 16 mg
28 szt.
5909990772193
215
Candesartanum cilexetilum
Karbis, tabl., 16 mg
56 tabl.
5909990772209
216
Candesartanum cilexetilum
Karbis, tabl., 32 mg
28 tabl.
5909990772230
217
Candesartanum cilexetilum
Karbis, tabl., 8 mg
28 szt.
5909990772162
218
Candesartanum cilexetilum
Karbis, tabl., 8 mg
56 tabl.
5909990772179
219
Candesartanum cilexetilum
Ranacand, tabl., 16 mg
28 szt.
5909990801350
220
221
222
223
224
225
226
227
228
229
230
231
232
Candesartanum cilexetilum
Candesartanum cilexetilum +
Hydrochlorothiazidum
Candesartanum cilexetilum +
Hydrochlorothiazidum
Candesartanum cilexetilum +
Hydrochlorothiazidum
Candesartanum cilexetilum +
Hydrochlorothiazidum
Candesartanum cilexetilum +
Hydrochlorothiazidum
Candesartanum cilexetilum +
Hydrochlorothiazidum
Candesartanum cilexetilum +
Hydrochlorothiazidum
Candesartanum cilexetilum +
Hydrochlorothiazidum
Candesartanum cilexetilum +
Hydrochlorothiazidum
Candesartanum cilexetilum +
Hydrochlorothiazidum
Candesartanum cilexetilum +
Hydrochlorothiazidum
Candesartanum cilexetilum +
Hydrochlorothiazidum
Ranacand, tabl., 8 mg
28 szt.
5909990801367
Candepres HCT, tabl., 16+12,5 mg
28 tabl.
5909990800629
Candepres HCT, tabl., 32+12,5 mg
28 szt.
5909991063702
Candepres HCT, tabl., 32+25 mg
28 szt.
5909991064051
Candepres HCT, tabl., 8+12,5 mg
28 szt.
5909990800360
Candesartan + HCT Genoptim, tabl., 16+12,5 mg
28 tabl.
5909991190699
Candesartan + HCT Genoptim, tabl., 8+12,5 mg
28 tabl.
5909991190552
Carzap HCT, tabl., 16+12,5 mg
28 tabl.
5909990957255
Carzap HCT, tabl., 16+12,5 mg
56 szt.
5909990957279
Carzap HCT, tabl., 8+12,5 mg
28 tabl.
5909990957170
Carzap HCT, tabl., 8+12,5 mg
56 szt.
5909990957194
Karbicombi, tabl. powl., 16+12,5 mg
56 tabl.
5909990865185
Karbicombi, tabl. powl., 32+12,5 mg
28 tabl.
5909990865222
lp.
Substancja czynna
1
2
Candesartanum cilexetilum +
Hydrochlorothiazidum
Candesartanum cilexetilum +
Hydrochlorothiazidum
Candesartanum cilexetilum +
Hydrochlorothiazidum
Candesartanum cilexetilum +
Hydrochlorothiazidum
Candesartanum cilexetilum +
Hydrochlorothiazidum
Candesartanum cilexetilum +
Hydrochlorothiazidum
233
234
235
236
237
238
Nazwa, postać i dawka leku, środka spożywczego specjalnego przeznaczenia
żywieniowego albo wyrobu medycznego
Zawartość opakowania
Kod EAN lub inny kod odpowiadający kodowi
EAN
3
4
5
Karbicombi, tabl. powl., 32+25 mg
28 tabl.
5909990865260
Karbicombi, tabl. powl., 8+12,5 mg
28 szt.
5909990865130
Karbicombi, tabl. powl., 8+12,5 mg
56 tabl.
5909990865147
Karbicombi, tabl., 16+12,5 mg
28 szt.
5909990865178
Karbicombi, tabl., 16+12,5 mg
84 szt.
5909991136840
Karbicombi, tabl., 8+12,5 mg
84 szt.
5909991136833
239
Carvedilolum
Atram 12,5, tabl., 12,5 mg
30 szt. (2 blist.po 15 szt.)
5909990570430
240
Carvedilolum
Atram 25, tabl., 25 mg
30 szt. (3 blist.po 10 szt.)
5909990570409
241
Carvedilolum
Atram 6,25, tabl., 6,25 mg
30 szt. (2 blist.po 15 szt.)
5909990570454
242
Carvedilolum
Avedol, tabl. powl., 12,5 mg
30 szt. (3 blist.po 10 szt.)
5909990074099
243
Carvedilolum
Avedol, tabl. powl., 25 mg
30 szt. (3 blist.po 10 szt.)
5909990074129
244
Carvedilolum
Avedol, tabl. powl., 6,25 mg
30 szt. (3 blist.po 10 szt.)
5909990074051
245
Carvedilolum
Carvedilol-ratiopharm, tabl., 12,5 mg
30 szt. (3 blist.po 10 szt.)
5909990727148
246
Carvedilolum
Carvedilol-ratiopharm, tabl., 25 mg
30 szt. (3 blist.po 10 szt.)
5909990727193
247
Carvedilolum
Carvedilol-ratiopharm, tabl., 6,25 mg
30 szt. (3 blist.po 10 szt.)
5909990727100
248
Carvedilolum
Carvedilolum 123ratio, tabl., 12,5 mg
30 szt. (3 blist.po 10 szt.)
5909990338856
249
Carvedilolum
Carvedilolum 123ratio, tabl., 25 mg
30 tabl. (3 blist.po 10 szt.)
5909990338931
250
Carvedilolum
Carvedilolum 123ratio, tabl., 6,25 mg
30 szt. (3 blist.po 10 szt.)
5909990338788
251
Carvedilolum
Carvetrend, tabl., 12,5 mg
30 szt. (2 blist.po 15 szt.)
5909991017019
252
Carvedilolum
Carvetrend, tabl., 25 mg
30 szt. (1 blist.po 30 szt.)
5909991017118
253
Carvedilolum
Carvetrend, tabl., 3,125 mg
30 szt. (2 blist.po 15 szt.)
5909991016814
254
Carvedilolum
Carvetrend, tabl., 6,25 mg
30 szt. (2 blist.po 15 szt.)
5909991016913
255
Carvedilolum
Coryol 12,5 mg, tabl., 12,5 mg
30 szt.
5909990216505
256
Carvedilolum
Coryol 25 mg, tabl., 25 mg
30 szt.
5909990216567
257
Carvedilolum
Coryol 3,125 mg, tabl., 3,125 mg
30 szt.
5909990216604
258
Carvedilolum
Coryol, tabl., 6,25 mg
30 szt.
5909990983315
259
Carvedilolum
Dilatrend, tabl., 25 mg
30 szt. (3 blist.po 10 szt.)
5909990717613
260
Carvedilolum
Dilatrend, tabl., 6,25 mg
30 szt. (3 blist.po 10 szt.)
5909990716111
261
Carvedilolum
Hypoten, tabl. powl., 12,5 mg
100 szt. (10 blist.po 10 szt.)
5909990048496
lp.
Substancja czynna
Nazwa, postać i dawka leku, środka spożywczego specjalnego przeznaczenia
żywieniowego albo wyrobu medycznego
Zawartość opakowania
Kod EAN lub inny kod odpowiadający kodowi
EAN
1
2
3
4
5
262
Carvedilolum
Hypoten, tabl. powl., 12,5 mg
30 szt. (3 blist.po 10 szt.)
5909990048489
263
Carvedilolum
Hypoten, tabl. powl., 25 mg
100 szt. (10 blist.po 10 szt.)
5909990048540
264
Carvedilolum
Hypoten, tabl. powl., 25 mg
30 szt. (3 blist.po 10 szt.)
5909990048502
265
Carvedilolum
Hypoten, tabl. powl., 6,25 mg
100 szt. (10 blist.po 10 szt.)
5909990048472
266
Carvedilolum
Hypoten, tabl. powl., 6,25 mg
30 szt. (3 blist.po 10 szt.)
5909990048465
267
Carvedilolum
Symtrend, tabl. powl., 12,5 mg
30 szt. (3 blist.po 10 szt.)
5909990074754
268
Carvedilolum
Symtrend, tabl. powl., 25 mg
30 szt. (3 blist.po 10 szt.)
5909990074662
269
Carvedilolum
Symtrend, tabl. powl., 6,25 mg
30 szt. (3 blist.po 10 szt.)
5909990074792
270
Carvedilolum
Vivacor, tabl., 12,5 mg
30 szt. (3 blist.po 10 szt.)
5909990687909
271
Carvedilolum
Vivacor, tabl., 12,5 mg
60 szt. (6 blist.po 10 szt.)
5909990687930
272
Carvedilolum
Vivacor, tabl., 25 mg
30 szt. (3 blist.po 10 szt.)
5909990687862
273
Carvedilolum
Vivacor, tabl., 25 mg
60 szt. (6 blist.po 10 szt.)
5909990687879
274
Carvedilolum
Vivacor, tabl., 6,25 mg
30 szt. (3 blist.po 10 szt.)
5909990687886
275
Carvedilolum
Vivacor, tabl., 6,25 mg
60 szt. (6 blist.po 10 szt.)
5909990687893
276
Ciprofibratum
Lipanor, kaps., 100 mg
30 kaps. (3 blist.po 10 szt.)
5909990376612
277
Clonidinum
Iporel, tabl., 75 µg
50 szt.
5909990282814
278
Clopamidum
Clopamid VP, tabl., 20 mg
20 szt. (1 blist.po 20 szt.)
5909990141012
279
Clopidogrelum
Agregex, tabl. powl., 75 mg
28 szt.
5909991251949
280
Clopidogrelum
Agregex, tabl. powl., 75 mg
28 szt. (4 blist.po 7 szt.)
5909990754748
281
Clopidogrelum
Areplex, tabl. powl., 75 mg
28 szt. (2 blist.po 14 szt.)
5909991167011
282
Clopidogrelum
Carder, tabl. powl., 75 mg
28 szt. (2 blist.po 14 szt.)
5909990760244
283
Clopidogrelum
Clopidix, tabl. powl., 75 mg
28 szt. (2 blist.po 14 szt.)
5909990625826
284
Clopidogrelum
Clopidogrel Apotex, tabl. powl., 75 mg
28 szt.
5909990774401
285
Clopidogrelum
Clopidogrel Genoptim, tabl. powl., 75 mg
28 tabl.
5909990762194
286
Clopidogrelum
Clopidogrel KRKA, tabl. powl., 75 mg
28 szt.
5909991029388
287
Clopidogrelum
Clopidogrel Teva, tabl. powl., 75 mg
28 szt.
5909990718245
288
Clopidogrelum
Grepid, tabl. powl., 75 mg
28 szt.
5909990727667
289
Clopidogrelum
Pegorel, tabl. powl., 75 mg
28 szt.
5909990793730
290
Clopidogrelum
Plavocorin, tabl. powl., 75 mg
28 szt. (2 blist.po 14 szt.)
5909990762729
291
Clopidogrelum
Trombex, tabl. powl., 75 mg
28 szt.
5909990821921
lp.
Substancja czynna
Nazwa, postać i dawka leku, środka spożywczego specjalnego przeznaczenia
żywieniowego albo wyrobu medycznego
Zawartość opakowania
Kod EAN lub inny kod odpowiadający kodowi
EAN
1
2
3
4
5
292
Clopidogrelum
Vixam, tabl., 75 mg
30 szt.
5909990866533
293
Clopidogrelum
Zyllt, tabl. powl., 75 mg
28 szt.
5909991109219
294
Dabigatranum etexilatum
Pradaxa, kaps. twarde, 110 mg
10 szt.
5909990641253
295
Dabigatranum etexilatum
Pradaxa, kaps. twarde, 110 mg
30 szt.
5909990641260
296
Dabigatranum etexilatum
Pradaxa, kaps. twarde, 150 mg
30 kaps.
5909990887453
297
Dabigatranum etexilatum
Pradaxa, kaps. twarde, 75 mg
10 szt.
5909990641215
298
Dabigatranum etexilatum
Pradaxa, kaps. twarde, 75 mg
30 szt.
5909990641222
299
Denosumabum
Prolia, roztwór do wstrzykiwań, 60 mg/1 ml
1 amp.-strz.po 1 ml
5909990761647
300
Donepezilum
Apo-Doperil, tabl. powl., 10 mg
28 szt.
5909990770045
301
Donepezilum
Apo-Doperil, tabl. powl., 5 mg
28 szt.
5909990770038
302
Donepezilum
Cogiton 10, tabl. powl., 10 mg
28 szt.
5909991024413
303
Donepezilum
Cogiton 10, tabl. powl., 10 mg
56 szt.
5909991024420
304
Donepezilum
Cogiton 5, tabl. powl., 5 mg
28 szt.
5909991024314
305
Donepezilum
Donecept, tabl. powl., 10 mg
28 szt.
5909991266509
306
Donepezilum
Donecept, tabl. powl., 10 mg
28 szt. (4 blist.po 7 szt.)
5909990689873
307
Donepezilum
Donecept, tabl. powl., 5 mg
28 szt. (4 blist.po 7 szt.)
5909990689781
308
Donepezilum
Donectil ODT, tabl. ulegające rozpadowi w jamie ustnej, 10 mg
30 szt.
5909990851492
309
Donepezilum
Donectil ODT, tabl. ulegające rozpadowi w jamie ustnej, 5 mg
30 szt.
5909990851478
310
Donepezilum
Donectil, tabl. powl., 10 mg
28 szt. (2 blist.po 14 szt.)
5909990683666
311
Donepezilum
Donectil, tabl. powl., 5 mg
28 szt. (2 blist.po 14 szt.)
5909990683581
312
Donepezilum
Donepesan, tabl. powl., 10 mg
30 szt.
5909991095246
313
Donepezilum
Donepesan, tabl. powl., 5 mg
30 szt.
5909991095109
314
Donepezilum
Donepestan, tabl. powl., 10 mg
84 szt.
5909990825738
315
Donepezilum
Donepestan, tabl. powl., 5 mg
84 szt.
5909990825622
316
Donepezilum
Donepex, tabl. powl., 10 mg
28 szt.
5909991056018
317
Donepezilum
Donepex, tabl. powl., 5 mg
28 szt.
5909991055912
318
Donepezilum
Donepezil Bluefish, tabl. powl., 10 mg
28 szt.
5909990814138
319
Donepezilum
Donepezil Bluefish, tabl. powl., 5 mg
28 szt.
5909990814077
320
Donepezilum
Donepezil Hydrochloride Accord, tabl. powl., 10 mg
98 szt.
5909990825745
321
Donepezilum
Donepezil Hydrochloride Accord, tabl. powl., 5 mg
98 szt.
5909990825639
lp.
Substancja czynna
Nazwa, postać i dawka leku, środka spożywczego specjalnego przeznaczenia
żywieniowego albo wyrobu medycznego
Zawartość opakowania
Kod EAN lub inny kod odpowiadający kodowi
EAN
1
2
3
4
5
322
Donepezilum
Donepezil Polfarmex, tabl., 10 mg
28 szt.
5909990877669
323
Donepezilum
Donepezil Polfarmex, tabl., 5 mg
28 szt.
5909990877553
324
Donepezilum
Doneprion, tabl. powl., 10 mg
28 tabl.
5909990776900
325
Donepezilum
Doneprion, tabl. powl., 5 mg
28 szt.
5909990776870
326
Donepezilum
Donestad, tabl. powl., 10 mg
28 szt.
5909990800353
327
Donepezilum
Donestad, tabl. powl., 5 mg
28 szt.
5909990800308
328
Donepezilum
Donesyn, tabl. powl., 10 mg
28 szt. (2 blist.po 14 szt.)
5909990657360
329
Donepezilum
Donesyn, tabl. powl., 5 mg
28 szt. (2 blist.po 14 szt.)
5909990657353
330
Donepezilum
Pamigen, tabl. powl., 10 mg
28 szt. (2 blist.po 14 szt.)
5909990726936
331
Donepezilum
Pamigen, tabl. powl., 5 mg
28 szt. (2 blist.po 14 szt.)
5909990726929
332
Donepezilum
Ricordo, tabl. ulegające rozpadowi w jamie ustnej, 10 mg
28 szt.
5909990798940
333
Donepezilum
Ricordo, tabl. ulegające rozpadowi w jamie ustnej, 5 mg
28 szt.
5909990798933
334
Donepezilum
Symepezil, tabl. powl., 10 mg
28 szt. (2 blist.po 14 szt.)
5909990662203
335
Donepezilum
Symepezil, tabl. powl., 5 mg
28 szt. (2 blist.po 14 szt.)
5909990662104
336
Donepezilum
Yasnal Q-Tab, tabl. ulegające rozpadowi w jamie ustnej, 10 mg
28 szt.
5909990850204
337
Donepezilum
Yasnal Q-Tab, tabl. ulegające rozpadowi w jamie ustnej, 5 mg
28 szt.
5909990850075
338
Donepezilum
Yasnal, tabl. powl., 10 mg
28 szt.
5909990993314
339
Donepezilum
Yasnal, tabl. powl., 5 mg
28 szt.
5909990993215
340
Doxazosinum
Apo-Doxan 1, tabl., 1 mg
30 szt.
5909990969517
341
Doxazosinum
Apo-Doxan 2, tabl., 2 mg
30 szt.
5909990969616
342
Doxazosinum
Apo-Doxan 4, tabl., 4 mg
30 szt.
5909990969715
343
Doxazosinum
Apo-Doxan 4, tabl., 4 mg
60 szt.
5909991271367
344
Doxazosinum
Cardura XL, tabl. o zmodyfikowanym uwalnianiu, 4 mg
30 tabl.
5909990431410
345
Doxazosinum
Cardura XL, tabl. o zmodyfikowanym uwalnianiu, 8 mg
30 szt.
5909990431519
346
Doxazosinum
Doxagen, tabl. o przedłużonym uwalnianiu, 4 mg
30 szt. (3 blist.po 10 szt.)
5909990037957
347
Doxazosinum
Doxalong, tabl. o przedłużonym uwalnianiu, 4 mg
30 szt.
5909990790951
348
Doxazosinum
Doxalong, tabl. o przedłużonym uwalnianiu, 4 mg
90 szt.
5909990884582
349
Doxazosinum
Doxanorm, tabl., 1 mg
30 szt. (3 blist.po 10 szt.)
5909990854318
350
Doxazosinum
Doxanorm, tabl., 2 mg
30 szt. (3 blist.po 10 szt.)
5909990854417
351
Doxazosinum
Doxanorm, tabl., 4 mg
30 szt. (3 blist.po 10 szt.)
5909990854516
lp.
Substancja czynna
Nazwa, postać i dawka leku, środka spożywczego specjalnego przeznaczenia
żywieniowego albo wyrobu medycznego
Zawartość opakowania
Kod EAN lub inny kod odpowiadający kodowi
EAN
1
2
3
4
5
352
Doxazosinum
Doxar, tabl., 1 mg
30 szt. (3 blist.po 10 szt.)
5909990484911
353
Doxazosinum
Doxar, tabl., 2 mg
28 szt.
5909991276492
354
Doxazosinum
Doxar, tabl., 2 mg
30 szt. (3 blist.po 10 szt.)
5909990485017
355
Doxazosinum
Doxar, tabl., 4 mg
120 tabl.
5908289660289
356
Doxazosinum
Doxar, tabl., 4 mg
28 szt.
5909991276508
357
Doxazosinum
Doxar, tabl., 4 mg
30 szt. (3 blist.po 10 szt.)
5909990485116
358
Doxazosinum
Doxonex, tabl., 2 mg
30 szt. (3 blist.po 10 szt.)
5909991149611
359
Doxazosinum
Doxonex, tabl., 4 mg
30 szt. (3 blist.po 10 szt.)
5909991149710
360
Doxazosinum
Dozox, tabl., 4 mg
30 tabl.
5901720140005
361
Doxazosinum
Dozox, tabl., 4 mg
90 tabl.
5901720140012
362
Doxazosinum
Kamiren XL, tabl. o zmodyfikowanym uwalnianiu, 4 mg
30 szt. (3 blist.po 10 szt.)
5909990022571
363
Doxazosinum
Kamiren XL, tabl. o zmodyfikowanym uwalnianiu, 4 mg
60 szt.
5909991013820
364
Doxazosinum
Kamiren, tabl., 2 mg
30 szt. (3 blist.po 10 szt.)
5909990491315
365
Doxazosinum
Kamiren, tabl., 4 mg
30 szt. (3 blist.po 10 szt.)
5909990491414
366
Doxazosinum
Zoxon 1, tabl., 1 mg
30 szt. (2 blist.po 15 szt.)
5909990903320
367
Doxazosinum
Zoxon 2, tabl., 2 mg
30 szt. (3 blist.po 10 szt.)
5909990903429
368
Doxazosinum
Zoxon 4, tabl., 4 mg
30 szt. (3 blist.po 10 szt.)
5909990903511
369
Doxazosinum
Zoxon 4, tabl., 4 mg
90 szt. (9 blist.po 10 szt.)
5909990080267
370
Eprosartanum
Teveten, tabl. powl., 600 mg
14 szt. (1 blist.po 14 szt.)
5909990868414
371
Ezetimibum
Ezetrol, tabl., 10 mg
28 szt.
5909990221066
372
Felodipinum
Plendil, tabl. o przedłużonym uwalnianiu, 10 mg
28 szt.
5909990344918
373
Felodipinum
Plendil, tabl. o przedłużonym uwalnianiu, 5 mg
28 szt.
5909990344819
374
Fenofibratum
Apo-Feno 200 M, kaps. twarde, 200 mg
30 szt.
5909990909414
375
Fenofibratum
Biofibrat, kaps. twarde, 200 mg
30 szt.
5909990754496
376
Fenofibratum
Biofibrat, kaps. twarde, 267 mg
30 szt.
5909990754526
377
Fenofibratum
Fenardin, kaps. twarde, 160 mg
30 szt. (3 blist.po 10)
5909990713974
378
Fenofibratum
Fenardin, kaps. twarde, 267 mg
30 szt. (3 blist.po 10 szt.)
5909990611065
379
Fenofibratum
Grofibrat 200, kaps., 200 mg
30 szt.
5909990492114
380
Fenofibratum
Grofibrat S, tabl. powl., 160 mg
30 tabl.
5909991212339
381
Fenofibratum
Grofibrat S, tabl. powl., 215 mg
30 tabl.
5909991201173
lp.
Substancja czynna
Nazwa, postać i dawka leku, środka spożywczego specjalnego przeznaczenia
żywieniowego albo wyrobu medycznego
Zawartość opakowania
Kod EAN lub inny kod odpowiadający kodowi
EAN
1
2
3
4
5
382
Fenofibratum
Grofibrat, kaps., 100 mg
50 szt.
5909990109814
383
Fenofibratum
Lipanthyl 200M, kaps., 200 mg
30 szt. (2 blist.po 15 szt.)
5909990687947
384
Fenofibratum
Lipanthyl 267M, kaps. twarde, 267 mg
30 szt.
5909997204659
385
Fenofibratum
Lipanthyl 267M, kaps., 267 mg
30 szt.
5909990492817
386
Fenofibratum
Lipanthyl Supra 160, tabl. powl., 160 mg
30 szt. (3 blist.po 10 szt.)
5909990903917
387
Fenofibratum
Lipanthyl Supra 215 mg, tabl. powl., 215 mg
30 szt. (3 blist.po 10 szt.)
5909990431342
388
Fenoterolum + Ipratropii bromidum
Berodual N, aerozol inhalacyjny, roztwór, 50+21 µg/dawkę inhalacyjną
1 poj.a 200 dawek
5909990917815
389
Fenoterolum + Ipratropii bromidum
Berodual, roztwór do nebulizacji, 0,5+0,25 mg/ml
20 ml
5909990101917
390
Fluoxetinum
Andepin, kaps. twarde, 20 mg
30 szt. (3 blist.po 10 szt.)
5909991065515
391
Fluoxetinum
Bioxetin, tabl., 20 mg
30 szt.
5909990372317
392
Fluoxetinum
Deprexetin, kaps., 20 mg
30 szt. (3 blist.po 10 szt.)
5909990747610
393
Fluoxetinum
Fluoksetyna EGIS, kaps. twarde, 20 mg
28 szt.
5909990776955
394
Fluoxetinum
Fluoxetin Polpharma, kaps. twarde, 20 mg
30 szt. (3 blist.po 10 szt.)
5909990770311
395
Fluoxetinum
Fluxemed, kaps. twarde, 20 mg
30 szt. (3 blist.po 10 szt.)
5909990742509
396
Fluoxetinum
Seronil, kaps. twarde, 20 mg
100 szt. (10 blist.po 10 szt.)
5909990374427
397
Fluoxetinum
Seronil, kaps. twarde, 20 mg
30 szt. (3 blist.po 10 szt.)
5909990374410
398
Fluoxetinum
Seronil, tabl. powl., 10 mg
100 szt. (10 blist.po 10 szt.)
5909990374328
399
Fluoxetinum
Seronil, tabl. powl., 10 mg
30 szt. (3 blist.po 10 szt.)
5909990374311
400
Fluvoxaminum
Fevarin, tabl. powl., 100 mg
30 szt.
5909990347827
401
Fluvoxaminum
Fevarin, tabl. powl., 50 mg
60 szt.
5909990347728
402
Glycopyrronii bromidum
Seebri Breezhaler, proszek do inhalacji w kaps. twardej, 44 µg
30x1 kapsułka (dawka pojedyncza) + 1 inhalator
5909991000882
403
Indacaterolum
Onbrez Breezhaler, proszek do inhalacji w kaps. twardej, 150 µg
30 szt. + inhalator
5909990738397
404
Indacaterolum
Onbrez Breezhaler, proszek do inhalacji w kaps. twardej, 300 µg
30 szt. + inhalator
5909990738472
405
Indapamidum
Diuresin SR, tabl. powl. o przedłużonym uwalnianiu, 1,5 mg
30 szt. (3 blist.po 10 szt.)
5909990975815
406
Indapamidum
Indapamide KRKA, tabl. o przedłużonym uwalnianiu, 1,5 mg
30 szt.
5909990957125
407
Indapamidum
Indapamide SR Genoptim, tabl. o przedłużonym uwalnianiu, 1,5 mg
30 tabl.
5909990799398
408
Indapamidum
Indapamide SR Mercapharm, tabl. powl. o przedłużonym uwalnianiu, 1,5 mg
30 szt.
5909991271671
409
Indapamidum
Indapamide SR, tabl. o przedłużonym uwalnianiu, 1,5 mg
30 szt.
5909990644933
410
Indapamidum
Indapamidum 123ratio, tabl. o przedłużonym uwalnianiu, 1,5 mg
30 szt. (3 blist.po 10 szt.)
5909990586806
411
Indapamidum
Indapen SR, tabl. o przedłużonym uwalnianiu, 1,5 mg
30 tabl. (3 blist.po 10 szt.)
5909990665907
lp.
Substancja czynna
Nazwa, postać i dawka leku, środka spożywczego specjalnego przeznaczenia
żywieniowego albo wyrobu medycznego
Zawartość opakowania
Kod EAN lub inny kod odpowiadający kodowi
EAN
1
2
3
4
5
412
Indapamidum
Indapen, tabl. powl., 2,5 mg
20 szt.
5909990863013
413
Indapamidum
Indapres, tabl. powl., 2,5 mg
30 szt.
5909990223121
414
Indapamidum
Indipam SR, tabl. o przedłużonym uwalnianiu, 1,5 mg
30 szt. (3 blist.po 10 szt.)
5909990702534
415
Indapamidum
Indix SR, tabl. o przedł. uwalnianiu, 1,5 mg
30 szt.
5909991025014
416
Indapamidum
Ipres long 1,5, tabl. o przedłużonym uwalnianiu, 1,5 mg
30 szt. (3 blist.po 10 szt.)
5909990012688
417
Indapamidum
Ivipamid, tabl. o przedłużonym uwalnianiu, 1,5 mg
30 szt.
5909990834730
418
Indapamidum
Opamid, tabl. o przedłużonym uwalnianiu, 1,5 mg
30 szt. (3 blist.po 10 szt.)
5909990770182
419
Indapamidum
Rawel SR, tabl. powl. o przedłużonym uwalnianiu, 1,5 mg
30 szt. (3 blist.po 10 szt.)
5909990424801
420
Indapamidum
Rawel SR, tabl. powl. o przedłużonym uwalnianiu, 1,5 mg
60 szt. (6 blist.po 10 szt.)
5909990424849
421
Indapamidum
Symapamid SR, tabl. o przedłużonym uwalnianiu, 1,5 mg
30 szt. (3 blist.po 10 szt.)
5909990734993
422
Indapamidum
Tertensif SR, tabl. powl. o przedłużonym uwalnianiu, 1,5 mg
30 szt. (1 blist.po 30 szt.)
5909990738212
423
Indapamidum + Amlodipinum
Tertens-AM, tabl. o zmodyfikowanym uwalnianiu, 1,5+10 mg
30 szt.
5909991092566
424
Indapamidum + Amlodipinum
Tertens-AM, tabl. o zmodyfikowanym uwalnianiu, 1,5+5 mg
30 szt.
5909991092597
425
Insulinum detemirum
Levemir, roztwór do wstrzykiwań we wkładzie, 100 j/ml
5 wkł.po 3 ml (Penfil)
5909990005741
426
Insulinum glargine
Abasaglar, roztwór do wstrzykiwań we wkładzie, 100 j.m./ml
10 wkł.po 3 ml
5909991201982
427
Insulinum glargine
Lantus, roztwór do wstrzykiwań, 100 j/ml
5 wkladów po 3 ml (do wstrzykiwaczy OptiPen/ClickStar)
5909990895717
428
Insulinum glargine
Lantus, roztwór do wstrzykiwań, 100 j/ml
5 wstrzykiwaczy SoloStar po 3 ml
5909990617555
429
Irbesartanum
Ifirmasta, tabl. powl., 150 mg
28 szt.
5909990706280
430
Irbesartanum
Ifirmasta, tabl. powl., 300 mg
28 szt.
5909990706297
431
Irbesartanum
Irprestan, tabl. powl., 150 mg
28 szt.
5909990747085
432
Irbesartanum
Irprestan, tabl. powl., 300 mg
28 szt.
5909990747122
433
Irbesartanum
Irprestan, tabl. powl., 75 mg
28 szt.
5909990747054
434
Lacidipinum
Lacipil, tabl. powl., 2 mg
28 szt. (4 blist.po 7 szt.)
5909990650521
435
Lacidipinum
Lacipil, tabl. powl., 4 mg
28 szt. (4 blist.po 7 szt.)
5909990650620
436
Lacidipinum
Lacipil, tabl. powl., 6 mg
28 szt. (4 blist.po 7 szt.)
5909990625697
437
Lacidipinum
Lacydyna, tabl. powl., 4 mg
28 tabl.
5909991105563
438
Lacidipinum
Lacydyna, tabl. powl., 6 mg
28 tabl.
5909991105549
439
Lacidipinum
Lapixen, tabl. powl., 2 mg
28 szt.
5909991134907
440
Lacidipinum
Lapixen, tabl. powl., 2 mg
56 szt.
5907695215205
441
Lacidipinum
Lapixen, tabl. powl., 4 mg
28 szt.
5909991134938
lp.
Substancja czynna
Nazwa, postać i dawka leku, środka spożywczego specjalnego przeznaczenia
żywieniowego albo wyrobu medycznego
Zawartość opakowania
Kod EAN lub inny kod odpowiadający kodowi
EAN
1
2
3
4
5
442
Lacidipinum
Lapixen, tabl. powl., 4 mg
56 szt.
5907695215212
443
Lacidipinum
Lapixen, tabl. powl., 6 mg
28 szt.
5909991134969
444
Lacidipinum
Lapixen, tabl. powl., 6 mg
56 szt.
5907695215229
445
Losartanum
Apo-Lozart, tabl. powl., 50 mg
28 szt. (2 blist.po 14 szt.)
5909990702886
446
Losartanum
Cozaar, tabl. powl., 100 mg
28 szt. (2 blist.po 14 szt.)
5909991073428
447
Losartanum
Cozaar, tabl. powl., 50 mg
28 szt. (2 blist.po 14 szt.)
5909990674411
448
Losartanum
Lakea, tabl. powl., 50 mg
30 szt. (3 blist.po 10 szt.)
5909991108212
449
Losartanum
Loreblok, tabl. powl., 50 mg
28 szt.
5909990770601
450
Losartanum
Lorista, tabl. powl., 100 mg
28 szt.
5909991272340
451
Losartanum
Lorista, tabl. powl., 100 mg
28 szt. (4 blist.po 7 szt.)
5909990638659
452
Losartanum
Lorista, tabl. powl., 50 mg
28 szt.
5909991268404
453
Losartanum
Lorista, tabl. powl., 50 mg
28 szt. (4 blist.po 7 szt.)
5909990818914
454
Losartanum
Lorista, tabl. powl., 50 mg
56 szt.
5909991268411
455
Losartanum
Lorista, tabl. powl., 50 mg
56 szt. (4 blist.po 14 szt.)
5909990649112
456
Losartanum
Lorista, tabl. powl., 50 mg
84 szt.
5909991268428
457
Losartanum
Lorista, tabl. powl., 50 mg
84 szt. (6 blist.po 14 szt.)
5909990649129
458
Losartanum
Losacor, tabl. powl., 50 mg
30 szt. (3 blist.po 10 szt.)
5909991055110
459
Losartanum
Losagen, tabl. powl., 50 mg
28 szt. (2 blist.po 14 szt.)
5909990639885
460
Losartanum
Losartan Bluefish, tabl. powl., 50 mg
28 szt.
5909990760770
461
Losartanum
Losartan KRKA, tabl. powl., 50 mg
28 szt.
5909990956647
462
Losartanum
Losartan KRKA, tabl. powl., 50 mg
30 szt.
5909990956654
463
Losartanum
Losartanum 123ratio, tabl. powl., 50 mg
30 szt.
5909990862238
464
Losartanum
Losartic, tabl. powl., 50 mg
28 szt. (2 blist.po 14 szt.)
5909990621439
465
Losartanum
Lozap 50, tabl. powl., 50 mg
30 szt.
5909990573905
466
Losartanum
Presartan, tabl. powl., 100 mg
30 szt. (3 blist.po 10 szt.)
5909990724352
467
Losartanum
Presartan, tabl. powl., 50 mg
30 szt. (3 blist.po 10 szt.)
5909990724345
468
Losartanum
Rasoltan 50 mg, tabl. powl., 50 mg
28 szt. (2 blist.po 14 szt.)
5909990085644
469
Losartanum
Sarve 50 mg, tabl. powl., 50 mg
28 szt. (2 blist.po 14 szt.)
5909990045594
470
Losartanum
Xartan, tabl. powl., 50 mg
30 szt.
5909990481118
471
Losartanum
Zeprez, tabl. powl., 50 mg
30 szt.
5909990887194
lp.
Substancja czynna
Nazwa, postać i dawka leku, środka spożywczego specjalnego przeznaczenia
żywieniowego albo wyrobu medycznego
Zawartość opakowania
Kod EAN lub inny kod odpowiadający kodowi
EAN
1
2
3
4
5
472
Losartanum + Amlodipinum
Alortia, tabl. powl., 100+10 mg
30 tabl.
5909991105853
473
Losartanum + Amlodipinum
Alortia, tabl. powl., 100+5 mg
30 tabl.
5909991105785
474
Losartanum + Amlodipinum
Alortia, tabl. powl., 50+10 mg
30 tabl.
5909991105723
475
Losartanum + Amlodipinum
Alortia, tabl. powl., 50+10 mg
60 tabl.
5909991105747
476
Losartanum + Amlodipinum
Alortia, tabl. powl., 50+10 mg
90 tabl.
5909991105761
477
Losartanum + Amlodipinum
Alortia, tabl. powl., 50+5 mg
30 tabl.
5909991105655
478
Losartanum + Amlodipinum
Alortia, tabl. powl., 50+5 mg
60 tabl.
5909991105679
479
Losartanum + Amlodipinum
Alortia, tabl. powl., 50+5 mg
90 tabl.
5909991105693
480
Losartanum + Hydrochlorothiazidum
Hyzaar Forte, tabl. powl., 100+25 mg
28 szt. (2 blist.po 14 szt.)
5909990970513
481
Losartanum + Hydrochlorothiazidum
Hyzaar, tabl. powl., 50+12,5 mg
28 szt. (2 blist.po 14 szt.)
5909990433612
482
Losartanum + Hydrochlorothiazidum
Loreblok HCT, tabl. powl., 50+12,5 mg
28 szt.
5909990778843
483
Losartanum + Hydrochlorothiazidum
Lorista H, tabl. powl., 50+12,5 mg
28 szt. (4 blist.po 7 szt.)
5909990337392
484
Losartanum + Hydrochlorothiazidum
Lorista H, tabl. powl., 50+12,5 mg
56 szt. (4 blist.po 14 szt.)
5909990686339
485
Losartanum + Hydrochlorothiazidum
Lorista H, tabl. powl., 50+12,5 mg
84 szt. (6 blist.po 14 szt.)
5909990686360
486
Losartanum + Hydrochlorothiazidum
Lorista HD, tabl. powl., 100+25 mg
28 szt. (4 blist.po 7 szt.)
5909990645565
487
Losartanum + Hydrochlorothiazidum
Lorista HL, tabl. powl., 100+12,5 mg
28 szt.
5909990816484
488
Losartanum + Hydrochlorothiazidum
Losacor HCT, tabl. powl., 50+12,5 mg
28 szt. (4 blist.po 7 szt.)
5909990729685
489
Losartanum + Hydrochlorothiazidum
Losartan HCT Bluefish, tabl. powl., 100+25 mg
28 tabl.
5909990810796
490
Losartanum + Hydrochlorothiazidum
Losartan HCT Bluefish, tabl. powl., 50+12,5 mg
28 szt.
5909990810758
491
Losartanum + Hydrochlorothiazidum
Losartan Hydrochlorothiazyd KRKA, tabl. powl., 50+12,5 mg
28 szt.
5909990822980
492
Losartanum + Hydrochlorothiazidum
Lozap HCT, tabl. powl., 50+12,5 mg
30 szt. (3 blist.po 10 szt.)
5909990611980
493
Losartanum + Hydrochlorothiazidum
Presartan H, tabl. powl., 100+25 mg
30 szt. (3 blist.po 10 szt.)
5909990721894
494
Losartanum + Hydrochlorothiazidum
Presartan H, tabl. powl., 50+12,5 mg
30 szt. (3 blist.po 10 szt.)
5909990721641
495
Losartanum + Hydrochlorothiazidum
Xartan HCT, tabl. powl., 100+25 mg
28 szt.
5909990925971
496
Losartanum + Hydrochlorothiazidum
Xartan HCT, tabl. powl., 50+12,5 mg
28 szt.
5909990925964
497
Lovastatinum
Liprox, tabl., 20 mg
28 szt.
5909990842315
498
Lovastatinum
Lovasterol, tabl., 20 mg
28 szt. (2 blist.po 14 szt.)
5909990422159
499
Lovastatinum
Lovastin, tabl., 20 mg
28 szt.
5909990756629
500
Metforminum
Avamina, tabl. powl., 1000 mg
30 szt. (3 blist.po 10 szt.)
5909990765423
501
Metforminum
Avamina, tabl. powl., 1000 mg
60 szt. (6 blist.po 10 szt.)
5909990765430
lp.
Substancja czynna
Nazwa, postać i dawka leku, środka spożywczego specjalnego przeznaczenia
żywieniowego albo wyrobu medycznego
Zawartość opakowania
Kod EAN lub inny kod odpowiadający kodowi
EAN
1
2
3
4
5
502
Metforminum
Avamina, tabl. powl., 500 mg
30 szt. (3 blist.po 10 szt.)
5909990765379
503
Metforminum
Avamina, tabl. powl., 500 mg
60 szt. (6 blist.po 10 szt.)
5909990765386
504
Metforminum
Avamina, tabl. powl., 850 mg
30 szt. (3 blist.po 10 szt.)
5909990765393
505
Metforminum
Avamina, tabl. powl., 850 mg
60 szt. (6 blist.po 10 szt.)
5909990765409
506
Metforminum
Etform 500, tabl. powl., 500 mg
60 szt. (6 blist.po 10 szt.)
5909990698141
507
Metforminum
Etform 500, tabl. powl., 500 mg
90 szt. (9 blist.po 10 szt.)
5909990698172
508
Metforminum
Etform 850, tabl. powl., 850 mg
60 szt. (6 blist.po 10 szt.)
5909990698257
509
Metforminum
Etform 850, tabl. powl., 850 mg
90 szt. (9 blist.po 10 szt.)
5909990698271
510
Metforminum
Formetic, tabl. powl., 1000 mg
30 szt. (3 blist.po 10 szt.)
5909990078974
511
Metforminum
Formetic, tabl. powl., 1000 mg
60 szt. (6 blist.po 10 szt.)
5909990078981
512
Metforminum
Formetic, tabl. powl., 1000 mg
90 szt. (9 blist.po 10 szt.)
5909990078998
513
Metforminum
Formetic, tabl. powl., 500 mg
30 szt. (3 blist.po 10 szt.)
5909990078943
514
Metforminum
Formetic, tabl. powl., 500 mg
60 szt. (6 blist.po 10 szt.)
5909990078950
515
Metforminum
Formetic, tabl. powl., 500 mg
90 szt. (9 blist.po 10 szt.)
5909990078967
516
Metforminum
Formetic, tabl. powl., 850 mg
30 szt. (3 blist.po 10 szt.)
5909990079001
517
Metforminum
Formetic, tabl. powl., 850 mg
60 szt. (6 blist.po 10 szt.)
5909990079025
518
Metforminum
Formetic, tabl. powl., 850 mg
90 szt. (9 blist.po 10 szt.)
5909990079032
519
Metforminum
Glucophage 1000 mg, tabl. powl., 1000 mg
30 szt. (2 blist.po 15 szt.)
5909990717248
520
Metforminum
Glucophage 500 mg, tabl. powl., 500 mg
30 szt.
5909990789276
521
Metforminum
Glucophage 850 mg, tabl. powl., 850 mg
30 szt.
5909990789290
522
Metforminum
Glucophage XR, tabl. o przedłużonym uwalnianiu, 1000 mg
60 szt.
5909990864461
523
Metforminum
Glucophage XR, tabl. o przedłużonym uwalnianiu, 500 mg
30 szt. (2 blist.po 15 szt.)
5909990624751
524
Metforminum
Glucophage XR, tabl. o przedłużonym uwalnianiu, 500 mg
60 szt. (4 blist.po 15 szt.)
5909990624768
525
Metforminum
Glucophage XR, tabl. o przedłużonym uwalnianiu, 750 mg
30 szt. (2 blist.po 15 szt.)
5909990213429
526
Metforminum
Glucophage XR, tabl. o przedłużonym uwalnianiu, 750 mg
60 szt. (4 blist.po 15 szt.)
5909990213436
527
Metforminum
Glucophage, tabl. powl., 850 mg
60 szt.
5909990789306
528
Metforminum
Metfogamma 1000, tabl. powl., 1000 mg
30 szt. (2 blist.po 15 szt.)
5909990654598
529
Metforminum
Metfogamma 850, tabl. powl., 850 mg
30 szt. (3 blist.po 10 szt.)
5909991032913
530
Metforminum
Metformax 1000, tabl. powl., 1000 mg
120 szt.
5909991252069
531
Metforminum
Metformax 1000, tabl. powl., 1000 mg
30 szt.
5909990053056
lp.
Substancja czynna
Nazwa, postać i dawka leku, środka spożywczego specjalnego przeznaczenia
żywieniowego albo wyrobu medycznego
Zawartość opakowania
Kod EAN lub inny kod odpowiadający kodowi
EAN
1
2
3
4
5
532
Metforminum
Metformax 1000, tabl. powl., 1000 mg
60 szt.
5909990933181
533
Metforminum
Metformax 1000, tabl. powl., 1000 mg
90 tabl.
5909990933198
534
Metforminum
Metformax 500, tabl., 500 mg
30 szt.
5909990126316
535
Metforminum
Metformax 500, tabl., 500 mg
60 szt.
5909990935253
536
Metforminum
Metformax 850, tabl., 850 mg
30 szt.
5909990450718
537
Metforminum
Metformax 850, tabl., 850 mg
60 szt.
5909990935260
538
Metforminum
Metformax SR 500, tabl. o przedłużonym uwalnianiu, 500 mg
30 szt.
5909990652112
539
Metforminum
Metformax SR 500, tabl. o przedłużonym uwalnianiu, 500 mg
60 szt.
5909990933167
540
Metforminum
Metformax SR 500, tabl. o przedłużonym uwalnianiu, 500 mg
90 szt.
5909990933174
541
Metforminum
Metformin Bluefish, tabl. powl., 1000 mg
30 szt.
5909990705894
542
Metforminum
Metformin Bluefish, tabl. powl., 500 mg
30 szt.
5909990705474
543
Metforminum
Metformin Bluefish, tabl. powl., 850 mg
30 szt.
5909990705726
544
Metforminum
Metformin Galena, tabl., 500 mg
30 szt. (3 blist.po 10 szt.)
5909990462018
545
Metforminum
Metformin Galena, tabl., 850 mg
30 szt. (2 blist.po 15 szt.)
5909990928019
546
Metforminum
Metifor, tabl., 500 mg
30 szt. (3 blist.po 10 szt.)
5909990495115
547
Metforminum
Siofor 1000, tabl. powl., 1000 mg
120 szt. (8 blist.po 15 szt.)
5909990221028
548
Metforminum
Siofor 1000, tabl. powl., 1000 mg
30 szt. (2 blist.po 15 szt.)
5909990220984
549
Metforminum
Siofor 1000, tabl. powl., 1000 mg
60 szt. (4 blist.po 15 szt.)
5909990220991
550
Metforminum
Siofor 1000, tabl. powl., 1000 mg
90 szt. (6 blist.po 15 szt.)
5909990221004
551
Metforminum
Siofor 500, tabl. powl., 500 mg
120 szt. (12 blist.po 10 szt.)
5909990457236
552
Metforminum
Siofor 500, tabl. powl., 500 mg
30 szt. (2 blist.po 15 szt.)
5909990457212
553
Metforminum
Siofor 500, tabl. powl., 500 mg
60 szt. (6 blist.po 10 szt.)
5909990457229
554
Metforminum
Siofor 500, tabl. powl., 500 mg
90 tabl.
4013054024331
555
Metforminum
Siofor 850, tabl. powl., 850 mg
120 szt. (8 blist.po 15 szt.)
5909990457335
556
Metforminum
Siofor 850, tabl. powl., 850 mg
30 szt. (2 blist.po 15 szt.)
5909990457311
557
Metforminum
Siofor 850, tabl. powl., 850 mg
60 tabl.
5909990457328
558
Metforminum
Siofor 850, tabl. powl., 850 mg
90 szt.
4013054024348
559
Mianserinum
Deprexolet, tabl. powl., 10 mg
30 szt.
5909991120948
560
Mianserinum
Deprexolet, tabl. powl., 10 mg
90 tabl.
5909991120962
561
Mianserinum
Deprexolet, tabl. powl., 30 mg
30 szt.
5909991121051
lp.
Substancja czynna
Nazwa, postać i dawka leku, środka spożywczego specjalnego przeznaczenia
żywieniowego albo wyrobu medycznego
Zawartość opakowania
Kod EAN lub inny kod odpowiadający kodowi
EAN
1
2
3
4
5
562
Mianserinum
Lerivon, tabl. powl., 10 mg
30 szt. (1 blist.po 30 szt.)
5909990157716
563
Mianserinum
Lerivon, tabl. powl., 30 mg
30 szt. (1 blist.po 30 szt.)
5909990157822
564
Mianserinum
Miansec 30, tabl. powl., 30 mg
20 szt. (1 blist.po 20 szt.)
5909991124311
565
Mianserinum
Miansec, tabl. powl., 10 mg
30 szt. (1 blist.po 30 szt.)
5909990796618
566
Mianserinum
Miansec, tabl. powl., 10 mg
90 szt. (3 blist.po 30 szt.)
5909990796625
567
Mianserinum
Miansegen, tabl. powl., 10 mg
30 szt.
5909990883813
568
Mianserinum
Miansegen, tabl. powl., 10 mg
90 szt.
5909990883820
569
Mianserinum
Miansegen, tabl. powl., 30 mg
20 szt.
5909990883929
570
Mianserinum
Miansegen, tabl. powl., 30 mg
30 szt.
5909990764242
571
Mianserinum
Miansegen, tabl. powl., 60 mg
30 szt.
5909991064525
572
Moclobemidum
Aurorix, tabl. powl., 150 mg
30 szt.
5909990094813
573
Moclobemidum
Aurorix, tabl. powl., 300 mg
30 szt.
5909990419814
574
Moclobemidum
Mobemid, tabl. powl., 150 mg
30 szt. (2 blist.po 15 szt.)
5909990966813
575
Moclobemidum
Moklar, tabl. powl., 150 mg
30 szt. (3 blist.po 10 szt.)
5909990953714
576
Naproxenum
Anapran EC, tabl. dojel., 250 mg
60 szt.
5909991054991
577
Naproxenum
Anapran EC, tabl. dojel., 500 mg
60 szt.
5909991055066
578
Naproxenum
Anapran, tabl. powl., 275 mg
20 szt. (2 blist.po 10 szt.)
5909990615438
579
Naproxenum
Anapran, tabl. powl., 275 mg
60 szt.
5909990948536
580
Naproxenum
Anapran, tabl. powl., 550 mg
20 szt. (2 blist.po 10 szt.)
5909990624515
581
Naproxenum
Anapran, tabl. powl., 550 mg
60 szt.
5909990948543
582
Naproxenum
Apo-Napro, tabl., 250 mg
30 szt.
5909990661404
583
Naproxenum
Apo-Napro, tabl., 250 mg
90 szt.
5909990661435
584
Naproxenum
Apo-Napro, tabl., 500 mg
30 szt.
5909990661442
585
Naproxenum
Apo-Napro, tabl., 500 mg
30 tabl.
5909997213224
586
Naproxenum
Nalgesin Forte, tabl. powl., 550 mg
10 szt.
5909991023782
587
Naproxenum
Nalgesin Forte, tabl. powl., 550 mg
20 szt.
5909991023799
588
Naproxenum
Nalgesin Forte, tabl. powl., 550 mg
30 szt.
5909991023805
589
Naproxenum
Nalgesin Forte, tabl. powl., 550 mg
60 szt.
5909991023836
590
Naproxenum
Naproxen 250 Hasco, tabl., 250 mg
30 szt.
5909991040529
591
Naproxenum
Naproxen 250 Hasco, tabl., 250 mg
50 szt.
5909991040536
lp.
Substancja czynna
Nazwa, postać i dawka leku, środka spożywczego specjalnego przeznaczenia
żywieniowego albo wyrobu medycznego
Zawartość opakowania
Kod EAN lub inny kod odpowiadający kodowi
EAN
1
2
3
4
5
592
Naproxenum
Naproxen 500 Hasco, tabl., 500 mg
15 szt.
5909990644179
593
Naproxenum
Naproxen 500 Hasco, tabl., 500 mg
30 tabl.
5909990644186
594
Naproxenum
Naproxen Hasco, czopki, 250 mg
10 szt.
5909990914319
595
Naproxenum
Naproxen Hasco, czopki, 500 mg
10 szt.
5909990914418
596
Naproxenum
Naproxen Polfarmex, tabl., 250 mg
30 szt. (3 blist.po 10 szt.)
5909990860692
597
Naproxenum
Naproxen Polfarmex, tabl., 250 mg
50 szt. (5 blist.po 10 szt.)
5909990466726
598
Naproxenum
Naproxen Polfarmex, tabl., 500 mg
20 szt. (2 blist.po 10 szt.)
5909990466818
599
Naproxenum
Naproxen Polfarmex, tabl., 500 mg
30 szt. (3 blist.po 10 szt.)
5909990860685
600
Naproxenum
Pabi-Naproxen, tabl., 250 mg
50 szt. (5 blist.po 10 szt.)
5909990133215
601
Naproxenum
Pabi-Naproxen, tabl., 500 mg
20 szt. (2 blist.po 10 szt.)
5909990133314
602
Paroxetinum
Arketis tabletki 20 mg, tabl., 20 mg
30 szt. (3 blist.po 10 szt.)
5909990047109
603
Paroxetinum
Parogen, tabl. powl., 20 mg
30 szt. (1 poj.po 30 szt.)
5909990425877
604
Paroxetinum
Parogen, tabl. powl., 20 mg
30 tabl.
5902023772368
605
Paroxetinum
Parogen, tabl. powl., 20 mg
30 tabl.
5909997225579
606
Paroxetinum
Parogen, tabl. powl., 20 mg
60 szt. (1 poj.po 60 szt.)
5909990425884
607
Paroxetinum
Parogen, tabl. powl., 20 mg
60 tabl.
5902023772375
608
Paroxetinum
Paroxetine Aurobindo, tabl. powl., 20 mg
30 szt.
5909990655724
609
Paroxetinum
Paroxinor, tabl. powl., 20 mg
30 szt.
5909990798346
610
Paroxetinum
Paxtin 20, tabl. powl., 20 mg
30 szt.
5909991210861
611
Paroxetinum
Paxtin 20, tabl. powl., 20 mg
30 szt. (3 blist.po 10 szt.)
5909990010189
612
Paroxetinum
Paxtin 40, tabl. powl., 40 mg
30 szt. (3 blist.po 10 szt.)
5909990010202
613
Paroxetinum
Rexetin, tabl. powl., 20 mg
30 szt.
5909991006310
614
Paroxetinum
Xetanor 20 mg, tabl. powl., 20 mg
30 szt. (3 blist.po 10 szt.)
5909990570515
615
Pilocarpinum
Pilocarpinum WZF 2%, krople do oczu, roztwór, 20 mg/ml
10 ml (2x5 ml)
5909990237524
616
Piribedilum
Pronoran, tabl. powl. o przedłużonym uwalnianiu, 50 mg
30 szt. (1 blist.po 30 szt.)
5909990846320
617
Ramiprilum + Amlodipinum
Egiramlon, kaps. twarde, 10+10 mg
30 szt.
5909990936885
618
Ramiprilum + Amlodipinum
Egiramlon, kaps. twarde, 10+5 mg
30 szt.
5909990936854
619
Ramiprilum + Amlodipinum
Egiramlon, kaps. twarde, 5+10 mg
30 szt.
5909990936809
620
Ramiprilum + Amlodipinum
Egiramlon, kaps. twarde, 5+5 mg
30 szt.
5909990936779
621
Ramiprilum + Amlodipinum
Ramizek Combi, kaps. twarde, 10+10 mg
60 szt.
5909991142728
lp.
Substancja czynna
Nazwa, postać i dawka leku, środka spożywczego specjalnego przeznaczenia
żywieniowego albo wyrobu medycznego
Zawartość opakowania
Kod EAN lub inny kod odpowiadający kodowi
EAN
1
2
3
4
5
622
Ramiprilum + Amlodipinum
Ramizek Combi, kaps. twarde, 10+5 mg
60 szt.
5909991142643
623
Ramiprilum + Amlodipinum
Ramizek Combi, kaps. twarde, 5+10 mg
60 szt.
5909991142674
624
Ramiprilum + Amlodipinum
Ramizek Combi, kaps. twarde, 5+5 mg
60 szt.
5909991142513
625
Ramiprilum + Amlodipinum
Ramizek Combi, kaps., 10+10 mg
30 kaps.
5909991142759
626
Ramiprilum + Amlodipinum
Ramizek Combi, kaps., 10+5 mg
30 kaps.
5909991142636
627
Ramiprilum + Amlodipinum
Ramizek Combi, kaps., 5+10 mg
30 kaps.
5909991142681
628
Ramiprilum + Amlodipinum
Ramizek Combi, kaps., 5+5 mg
30 kaps.
5909991142520
629
Ramiprilum + Amlodipinum
Sumilar, kaps. twarde, 10+10 mg
30 kaps.
5909990988334
630
Ramiprilum + Amlodipinum
Sumilar, kaps. twarde, 10+5 mg
30 kaps.
5909990988297
631
Ramiprilum + Amlodipinum
Sumilar, kaps. twarde, 5+10 mg
30 kaps.
5909990988273
632
Ramiprilum + Amlodipinum
Sumilar, kaps. twarde, 5+5 mg
30 kaps.
5909990988259
633
Risedronatum natricum
Risendros 35, tabl. powl., 35 mg
12 szt. (3 blist.po 4 szt.)
5909990082629
634
Risedronatum natricum
Risendros 35, tabl. powl., 35 mg
4 szt. (1 blist.po 4 szt.)
5909990082599
635
Rivaroxabanum
Xarelto, tabl. powl., 15 mg
14 szt.
5909990910601
636
Rivaroxabanum
Xarelto, tabl. powl., 15 mg
42 szt.
5909990910663
637
Rivaroxabanum
Xarelto, tabl. powl., 20 mg
14 szt.
5909990910700
638
Rivaroxabanum
Xarelto, tabl., 10 mg
10 szt.
5909990658145
639
Rivastigminum
Evertas, system transdermalny, plaster, 4,6 mg/24h
30 szt.
5909991078386
640
Rivastigminum
Evertas, system transdermalny, plaster, 9,5 mg/24h
30 szt.
5909991078454
641
Rivastigminum
Exelon, system transdermalny, 13,3 mg/24h
30 sasz.
5909991032609
642
Rivastigminum
Exelon, system transdermalny, 4,6 mg/24h
30 sasz.
5909990066704
643
Rivastigminum
Exelon, system transdermalny, 9,5 mg/24h
30 sasz.
5909990066766
644
Rivastigminum
Nimvastid, kaps. twarde, 1,5 mg
28 szt.
5909990700646
645
Rivastigminum
Nimvastid, kaps. twarde, 3 mg
28 szt.
5909990700684
646
Rivastigminum
Nimvastid, kaps. twarde, 3 mg
56 szt.
5909990700707
647
Rivastigminum
Nimvastid, kaps. twarde, 4,5 mg
28 szt.
5909990700738
648
Rivastigminum
Nimvastid, kaps. twarde, 4,5 mg
56 szt.
5909990700752
649
Rivastigminum
Nimvastid, kaps. twarde, 6 mg
28 szt.
5909990700790
650
Rivastigminum
Nimvastid, kaps. twarde, 6 mg
56 szt.
5909990700844
651
Rivastigminum
Nimvastid, tabl. ulegające rozpadowi w jamie ustnej, 1,5 mg
28 szt.
5909990700660
lp.
Substancja czynna
Nazwa, postać i dawka leku, środka spożywczego specjalnego przeznaczenia
żywieniowego albo wyrobu medycznego
Zawartość opakowania
Kod EAN lub inny kod odpowiadający kodowi
EAN
1
2
3
4
5
652
Rivastigminum
Nimvastid, tabl. ulegające rozpadowi w jamie ustnej, 3 mg
28 szt.
5909990700691
653
Rivastigminum
Nimvastid, tabl. ulegające rozpadowi w jamie ustnej, 3 mg
56 szt.
5909990700721
654
Rivastigminum
Nimvastid, tabl. ulegające rozpadowi w jamie ustnej, 4,5 mg
28 szt.
5909990700745
655
Rivastigminum
Nimvastid, tabl. ulegające rozpadowi w jamie ustnej, 4,5 mg
56 szt.
5909990700769
656
Rivastigminum
Nimvastid, tabl. ulegające rozpadowi w jamie ustnej, 6 mg
28 szt.
5909990700806
657
Rivastigminum
Nimvastid, tabl. ulegające rozpadowi w jamie ustnej, 6 mg
56 szt.
5909990700851
658
Rivastigminum
Ristidic, kaps. twarde, 1,5 mg
28 szt.
5909990782048
659
Rivastigminum
Ristidic, kaps. twarde, 1,5 mg
56 szt.
5909990782055
660
Rivastigminum
Ristidic, kaps. twarde, 3 mg
28 szt.
5909990782079
661
Rivastigminum
Ristidic, kaps. twarde, 3 mg
56 szt.
5909990782086
662
Rivastigminum
Ristidic, kaps. twarde, 4,5 mg
28 szt.
5909990782147
663
Rivastigminum
Ristidic, kaps. twarde, 4,5 mg
56 szt.
5909990782154
664
Rivastigminum
Ristidic, kaps. twarde, 6 mg
28 szt.
5909990782178
665
Rivastigminum
Ristidic, kaps. twarde, 6 mg
56 szt.
5909990782185
666
Rivastigminum
Rivaldo, kaps. twarde, 3 mg
56 szt.
5909990816255
667
Rivastigminum
Rivaldo, kaps. twarde, 4,5 mg
28 szt.
5909990816262
668
Rivastigminum
Rivaldo, kaps. twarde, 4,5 mg
56 szt.
5909990816279
669
Rivastigminum
Rivaldo, kaps. twarde, 6 mg
28 szt.
5909990816286
670
Rivastigminum
Rivaldo, kaps. twarde, 6 mg
56 szt.
5909990816293
671
Rivastigminum
Rivastigmin NeuroPharma, kaps. twarde, 1,5 mg
28 szt.
5909990982981
672
Rivastigminum
Rivastigmin NeuroPharma, kaps. twarde, 3 mg
28 szt.
5909990983162
673
Rivastigminum
Rivastigmin NeuroPharma, kaps. twarde, 3 mg
56 szt.
5909990983179
674
Rivastigminum
Rivastigmin NeuroPharma, kaps. twarde, 4,5 mg
28 szt.
5909990983308
675
Rivastigminum
Rivastigmin NeuroPharma, kaps. twarde, 4,5 mg
56 szt.
5909990983322
676
Rivastigminum
Rivastigmin NeuroPharma, kaps. twarde, 6 mg
28 szt.
5909990983506
677
Rivastigminum
Rivastigmin NeuroPharma, kaps. twarde, 6 mg
56 szt.
5909990983544
678
Rivastigminum
Rivastigmin Orion, kaps. twarde, 1,5 mg
28 szt.
5909990778898
679
Rivastigminum
Rivastigmin Orion, kaps. twarde, 3 mg
28 szt.
5909990778935
680
Rivastigminum
Rivastigmin Orion, kaps. twarde, 3 mg
56 szt.
5909990778942
681
Rivastigminum
Rivastigmin Orion, kaps. twarde, 4,5 mg
28 szt.
5909990778966
lp.
Substancja czynna
Nazwa, postać i dawka leku, środka spożywczego specjalnego przeznaczenia
żywieniowego albo wyrobu medycznego
Zawartość opakowania
Kod EAN lub inny kod odpowiadający kodowi
EAN
1
2
3
4
5
682
Rivastigminum
Rivastigmin Orion, kaps. twarde, 4,5 mg
56 szt.
5909990778973
683
Rivastigminum
Rivastigmin Orion, kaps. twarde, 6 mg
28 szt.
5909990778997
684
Rivastigminum
Rivastigmin Orion, kaps. twarde, 6 mg
56 szt.
5909990779000
685
Rivastigminum
Rivastigmine Actavis, kaps. twarde, 1,5 mg
28 szt.
5909990886258
686
Rivastigminum
Rivastigmine Actavis, kaps. twarde, 3 mg
28 szt.
5909990886296
687
Rivastigminum
Rivastigmine Actavis, kaps. twarde, 3 mg
56 szt.
5909990886302
688
Rivastigminum
Rivastigmine Actavis, kaps. twarde, 4,5 mg
28 szt.
5909990886364
689
Rivastigminum
Rivastigmine Actavis, kaps. twarde, 4,5 mg
56 szt.
5909990886371
690
Rivastigminum
Rivastigmine Actavis, kaps. twarde, 6 mg
28 szt.
5909990886401
691
Rivastigminum
Rivastigmine Actavis, kaps. twarde, 6 mg
56 szt.
5909990886425
692
Rivastigminum
Rivastigmine Mylan, kaps. twarde, 1,5 mg
28 szt.
5909990803156
693
Rivastigminum
Rivastigmine Mylan, kaps. twarde, 3 mg
28 szt.
5909990803545
694
Rivastigminum
Rivastigmine Mylan, kaps. twarde, 3 mg
56 szt.
5909990803569
695
Rivastigminum
Rivastigmine Mylan, kaps. twarde, 4,5 mg
28 szt.
5909990803781
696
Rivastigminum
Rivastigmine Mylan, kaps. twarde, 4,5 mg
56 szt.
5909990803804
697
Rivastigminum
Rivastigmine Mylan, kaps. twarde, 6 mg
28 szt.
5909990804085
698
Rivastigminum
Rivastigmine Mylan, kaps. twarde, 6 mg
56 szt.
5909990804108
699
Rivastigminum
Rivastigmine Teva, system transdermalny, plaster, 4,6 mg/24h
30 szt.
5909991078232
700
Rivastigminum
Rivastigmine Teva, system transdermalny, plaster, 9,5 mg/24h
30 szt.
5909991078263
701
Rivastigminum
Rywastygmina Apotex, system transdermalny, plaster, 4,6 mg/24 h
30 szt.
5909991067595
702
Rivastigminum
Rywastygmina Apotex, system transdermalny, plaster, 9,5 mg/24h
30 szt.
5909991067632
703
Rivastigminum
Symelon, kaps. twarde, 1,5 mg
28 szt.
5909990808199
704
Rivastigminum
Symelon, kaps. twarde, 3 mg
28 szt.
5909990808397
705
Rivastigminum
Symelon, kaps. twarde, 4,5 mg
28 szt.
5909990808427
706
Rivastigminum
Symelon, kaps. twarde, 6 mg
28 szt.
5909990808441
707
Ropinirolum
Aparxon PR, tabl. o przedłużonym uwalnianiu, 2 mg
28 szt.
5909990877683
708
Ropinirolum
Aparxon PR, tabl. o przedłużonym uwalnianiu, 4 mg
28 szt.
5909990878000
709
Ropinirolum
Aparxon PR, tabl. o przedłużonym uwalnianiu, 8 mg
28 szt.
5909990878086
710
Ropinirolum
ApoRopin, tabl. o przedłużonym uwalnianiu, 2 mg
28 szt.
5909990992607
711
Ropinirolum
ApoRopin, tabl. o przedłużonym uwalnianiu, 4 mg
28 szt.
5909990992683
lp.
Substancja czynna
Nazwa, postać i dawka leku, środka spożywczego specjalnego przeznaczenia
żywieniowego albo wyrobu medycznego
Zawartość opakowania
Kod EAN lub inny kod odpowiadający kodowi
EAN
1
2
3
4
5
712
Ropinirolum
ApoRopin, tabl. o przedłużonym uwalnianiu, 8 mg
28 szt.
5909990992775
713
Ropinirolum
Aropilo SR, tabl. o przedł. uwalnianiu, 2 mg
28 szt.
5909990998586
714
Ropinirolum
Aropilo SR, tabl. o przedł. uwalnianiu, 4 mg
28 szt.
5909990998982
715
Ropinirolum
Aropilo SR, tabl. o przedł. uwalnianiu, 8 mg
28 szt.
5909990999156
716
Ropinirolum
Aropilo, tabl. powl., 0,25 mg
210 szt.
5909990731954
717
Ropinirolum
Aropilo, tabl. powl., 0,5 mg
21 szt.
5909990731985
718
Ropinirolum
Aropilo, tabl. powl., 1 mg
21 szt.
5909990732074
719
Ropinirolum
Aropilo, tabl. powl., 2 mg
21 szt.
5909990732227
720
Ropinirolum
Aropilo, tabl. powl., 5 mg
21 szt.
5909990732333
721
Ropinirolum
Ceurolex SR, tabl. o przedłużonym uwalnianiu, 2 mg
28 szt.
5909991049294
722
Ropinirolum
Ceurolex SR, tabl. o przedłużonym uwalnianiu, 4 mg
28 szt.
5909991049355
723
Ropinirolum
Ceurolex SR, tabl. o przedłużonym uwalnianiu, 8 mg
28 szt.
5909991049393
724
Ropinirolum
Nironovo SR, tabl. o przedł. uwalnianiu, 2 mg
28 szt.
5909990990085
725
Ropinirolum
Nironovo SR, tabl. o przedł. uwalnianiu, 4 mg
28 szt.
5909990990092
726
Ropinirolum
Nironovo SR, tabl. o przedł. uwalnianiu, 8 mg
28 szt.
5909990990108
727
Ropinirolum
Polpix SR, tabl. o przedł. uwalnianiu, 2 mg
28 szt.
5909990988198
728
Ropinirolum
Polpix SR, tabl. o przedł. uwalnianiu, 4 mg
28 szt.
5909990988204
729
Ropinirolum
Polpix SR, tabl. o przedł. uwalnianiu, 8 mg
28 szt.
5909990988242
730
Ropinirolum
Raponer, tabl. o przedłużonym uwalnianiu, 2 mg
28 szt. (4 blist.po 7 szt.)
5909990984268
731
Ropinirolum
Repirol SR, tabl. doustne o przedłużonym uwalnianiu, 2 mg
28 szt.
5909990983582
732
Ropinirolum
Repirol SR, tabl. doustne o przedłużonym uwalnianiu, 4 mg
28 szt.
5909990983803
733
Ropinirolum
Repirol SR, tabl. doustne o przedłużonym uwalnianiu, 8 mg
28 szt.
5909990983971
734
Ropinirolum
Requip, tabl. powl., 0,5 mg
21 szt. (1 blist.po 21 szt.)
5909990013685
735
Ropinirolum
Requip, tabl. powl., 1 mg
21 szt. (1 blist.po 21 szt.)
5909990013890
736
Ropinirolum
Requip, tabl. powl., 2 mg
21 szt. (1 blist.po 21 szt.)
5909990013586
737
Ropinirolum
Requip, tabl. powl., 5 mg
21 szt. (1 blist.po 21 szt.)
5909990013968
738
Ropinirolum
Requip-Modutab, tabl. o przedłużonym uwalnianiu, 2 mg
28 szt. (2 blist.po 14 szt.)
5909990644728
739
Ropinirolum
Requip-Modutab, tabl. o przedłużonym uwalnianiu, 4 mg
28 szt. (2 blist.po 14 szt.)
5909990644612
740
Ropinirolum
Requip-Modutab, tabl. o przedłużonym uwalnianiu, 8 mg
28 szt. (2 blist.po 14 szt.)
5909990644636
741
Ropinirolum
Rolpryna SR, tabl. o przedł. uwalnianiu, 2 mg
84 szt.
5909991033781
lp.
Substancja czynna
Nazwa, postać i dawka leku, środka spożywczego specjalnego przeznaczenia
żywieniowego albo wyrobu medycznego
Zawartość opakowania
Kod EAN lub inny kod odpowiadający kodowi
EAN
1
2
3
4
5
742
Ropinirolum
Rolpryna SR, tabl. o przedł. uwalnianiu, 4 mg
84 szt.
5909991033798
743
Ropinirolum
Rolpryna SR, tabl. o przedł. uwalnianiu, 8 mg
84 szt.
5909991033804
744
Ropinirolum
Rolpryna SR, tabl. o przedłużonym uwalnianiu, 2 mg
28 szt.
5909990855766
745
Ropinirolum
Rolpryna SR, tabl. o przedłużonym uwalnianiu, 4 mg
28 szt.
5909990855773
746
Ropinirolum
Rolpryna SR, tabl. o przedłużonym uwalnianiu, 8 mg
28 szt.
5909990855780
747
Ropinirolum
Ropodrin, tabl. o przedłużonym uwalnianiu, 2 mg
28 tabl.
5909990963874
748
Ropinirolum
Ropodrin, tabl. o przedłużonym uwalnianiu, 4 mg
28 tabl.
5909990964239
749
Ropinirolum
Ropodrin, tabl. o przedłużonym uwalnianiu, 8 mg
28 tabl.
5909990964321
750
Rosuvastatinum
Ridlip, tabl. powl., 10 mg
28 szt.
5909991000141
751
Rosuvastatinum
Ridlip, tabl. powl., 20 mg
28 szt.
5909991000158
752
Rosuvastatinum
Ridlip, tabl. powl., 40 mg
28 szt.
5909991000165
753
Rosuvastatinum
Ridlip, tabl. powl., 5 mg
28 szt.
5909991000103
754
Rosuvastatinum
Romazic, tabl. powl., 20 mg
30 szt.
5909990919659
755
Rosuvastatinum
Rosutrox, tabl. powl., 10 mg
28 tabl.
5909991085674
756
Rosuvastatinum
Rosutrox, tabl. powl., 10 mg
56 szt.
5909991085698
757
Rosuvastatinum
Rosutrox, tabl. powl., 20 mg
28 tabl.
5909991085759
758
Rosuvastatinum
Rosutrox, tabl. powl., 20 mg
56 szt.
5909991085773
759
Rosuvastatinum
Rosutrox, tabl. powl., 40 mg
28 tabl.
5909991085841
760
Rosuvastatinum
Rosutrox, tabl. powl., 40 mg
56 szt.
5909991085865
761
Rosuvastatinum
Rosutrox, tabl. powl., 5 mg
28 szt.
5909991085599
762
Rosuvastatinum
Rosutrox, tabl. powl., 5 mg
56 szt.
5909991085636
763
Rosuvastatinum
Roswera, tabl. powl., 15 mg
56 szt.
5909990895403
764
Rosuvastatinum
Roswera, tabl. powl., 30 mg
56 szt.
5909990895687
765
Rosuvastatinum
Roswera, tabl., 10 mg
28 szt.
5909990895250
766
Rosuvastatinum
Roswera, tabl., 15 mg
28 szt.
5909990895380
767
Rosuvastatinum
Roswera, tabl., 20 mg
28 szt.
5909990895533
768
Rosuvastatinum
Roswera, tabl., 30 mg
28 szt.
5909990895663
769
Rosuvastatinum
Roswera, tabl., 40 mg
28 szt.
5909990895786
770
Rosuvastatinum
Roswera, tabl., 5 mg
28 szt.
5909990895106
771
Rosuvastatinum
Suvardio, tabl. powl., 10 mg
28 szt.
5909990791743
lp.
Substancja czynna
Nazwa, postać i dawka leku, środka spożywczego specjalnego przeznaczenia
żywieniowego albo wyrobu medycznego
Zawartość opakowania
Kod EAN lub inny kod odpowiadający kodowi
EAN
1
2
3
4
5
772
Rosuvastatinum
Suvardio, tabl. powl., 20 mg
28 szt.
5909990791873
773
Rosuvastatinum
Zahron, tabl. powl., 10 mg
28 szt.
5909990802623
774
Rosuvastatinum
Zahron, tabl. powl., 10 mg
56 szt.
5909990802647
775
Rosuvastatinum
Zahron, tabl. powl., 20 mg
28 szt.
5909990802685
776
Rosuvastatinum
Zahron, tabl. powl., 20 mg
56 szt.
5909990802708
777
Rosuvastatinum
Zahron, tabl. powl., 40 mg
28 tabl.
5909990802753
778
Rosuvastatinum
Zahron, tabl. powl., 40 mg
56 szt.
5909990802777
779
Rosuvastatinum
Zahron, tabl. powl., 5 mg
28 szt.
5909990802562
780
Rosuvastatinum
Zahron, tabl. powl., 5 mg
56 szt.
5909990802586
781
Rosuvastatinum
Zaranta, tabl. powl., 10 mg
28 szt. (4 blist.po 7 szt.)
5909990777785
782
Rosuvastatinum
Zaranta, tabl. powl., 20 mg
28 szt. (4 blist.po 7 szt.)
5909990777839
783
Sertralinum
ApoSerta, tabl. powl., 100 mg
30 szt.
5909991106904
784
Sertralinum
ApoSerta, tabl. powl., 50 mg
30 szt.
5909991106898
785
Sertralinum
Asentra, tabl. powl., 100 mg
28 szt.
5909990963317
786
Sertralinum
Asentra, tabl. powl., 50 mg
28 szt.
5909990963218
787
Sertralinum
Asertin 100, tabl. powl., 100 mg
30 szt. (3 blist.po 10 szt.)
5909990422685
788
Sertralinum
Asertin 50, tabl. powl., 50 mg
30 szt. (3 blist.po 10 szt.)
5909990422692
789
Sertralinum
Miravil, tabl. powl., 100 mg
30 szt.
5909990804368
790
Sertralinum
Miravil, tabl. powl., 50 mg
30 szt.
5909990804344
791
Sertralinum
Sertagen, tabl. powl., 100 mg
28 szt.
5909990046621
792
Sertralinum
Sertagen, tabl. powl., 50 mg
28 szt.
5909990046690
793
Sertralinum
Sertralina KRKA, tabl. powl., 100 mg
30 szt.
5909990919987
794
Sertralinum
Sertralina KRKA, tabl. powl., 50 mg
30 szt.
5909990919888
795
Sertralinum
Sertraline Aurobindo 50 mg tabletki powlekane, tabl. powl., 50 mg
30 szt. (3 blist.po 10 szt.)
5909990636136
796
Sertralinum
Sertranorm, tabl. powl., 100 mg
30 szt.
5909990663163
797
Sertralinum
Sertranorm, tabl. powl., 50 mg
30 szt.
5909990663040
798
Sertralinum
Setaloft 100 mg, tabl. powl., 100 mg
30 szt. (3 blist.po 10 szt.)
5909990571963
799
Sertralinum
Setaloft 50 mg, tabl. powl., 50 mg
30 szt. (3 blist.po 10 szt.)
5909990571925
800
Sertralinum
Stimuloton, tabl. powl., 50 mg
30 szt. (3 blist.po 10 szt.)
5909990994816
801
Sertralinum
Zoloft, tabl. powl., 100 mg
28 szt. (2 blist.po 14 szt.)
5909990753215
lp.
Substancja czynna
Nazwa, postać i dawka leku, środka spożywczego specjalnego przeznaczenia
żywieniowego albo wyrobu medycznego
Zawartość opakowania
Kod EAN lub inny kod odpowiadający kodowi
EAN
1
2
3
4
5
802
Sertralinum
Zoloft, tabl. powl., 50 mg
28 szt. (2 blist.po 14 szt.)
5909990753116
803
Sertralinum
Zotral, tabl. powl., 100 mg
28 szt. (4 blist.po 7 szt.)
5909990569472
804
Sertralinum
Zotral, tabl. powl., 50 mg
28 szt. (2 blist.po 14 szt.)
5909990013982
805
Simvastatinum
Apo-Simva 10, tabl. powl., 10 mg
30 szt. (3 blist.po 10 szt.)
5909990618279
806
Simvastatinum
Apo-Simva 20, tabl. powl., 20 mg
30 szt. (3 blist.po 10 szt.)
5909990618286
807
Simvastatinum
Apo-Simva 40, tabl. powl., 40 mg
30 szt. (3 blist.po 10 szt.)
5909990618293
808
Simvastatinum
Simcovas, tabl. powl., 20 mg
28 szt. (2 blist.po 14 szt.)
5909990649532
809
Simvastatinum
Simcovas, tabl. powl., 20 mg
30 szt.
5909991048488
810
Simvastatinum
Simcovas, tabl. powl., 40 mg
28 szt. (2 blist.po 14 szt.)
5909990649655
811
Simvastatinum
Simcovas, tabl. powl., 40 mg
30 szt.
5909991048495
812
Simvastatinum
Simgal, tabl. powl., 10 mg
28 szt. (2 blist.po 14 szt.)
5909990860210
813
Simvastatinum
Simgal, tabl. powl., 20 mg
28 szt. (2 blist.po 14 szt.)
5909990860319
814
Simvastatinum
Simgal, tabl. powl., 40 mg
28 szt. (2 blist.po 14 szt.)
5909990860418
815
Simvastatinum
Simorion, tabl. powl., 10 mg
28 szt.
5909990793853
816
Simvastatinum
Simorion, tabl. powl., 20 mg
28 szt.
5909990794140
817
Simvastatinum
Simorion, tabl. powl., 20 mg
98 szt.
5909990794157
818
Simvastatinum
Simorion, tabl. powl., 40 mg
28 szt.
5909990794089
819
Simvastatinum
Simratio 10, tabl. powl., 10 mg
28 szt. (2 blist.po 14 szt.)
5909991019723
820
Simvastatinum
Simratio 20, tabl. powl., 20 mg
28 szt. (2 blist.po 14 szt.)
5909991019822
821
Simvastatinum
Simratio 40, tabl. powl., 40 mg
28 szt. (2 blist.po 14 szt.)
5909991019945
822
Simvastatinum
Simvacard 10, tabl. powl., 10 mg
28 szt. (2 blist.po 14 szt.)
5909990940110
823
Simvastatinum
Simvacard 20, tabl. powl., 20 mg
28 szt. (2 blist.po 14 szt.)
5909990940219
824
Simvastatinum
Simvacard 40, tabl. powl., 40 mg
28 szt. (2 blist.po 14 szt.)
5909990940318
825
Simvastatinum
Simvachol, tabl. powl., 10 mg
28 szt. (2 blist.po 14 szt.)
5909990941025
826
Simvastatinum
Simvachol, tabl. powl., 20 mg
28 szt. (2 blist.po 14 szt.)
5909990941124
827
Simvastatinum
Simvachol, tabl. powl., 40 mg
28 szt. (2 blist.po 14 szt.)
5909990941223
828
Simvastatinum
Simvacor, tabl. powl., 10 mg
30 szt. (3 blist.po 10 szt.)
5909990336623
829
Simvastatinum
Simvacor, tabl. powl., 20 mg
30 szt. (3 blist.po 10 szt.)
5909990336630
830
Simvastatinum
Simvagamma 10, tabl. powl., 10 mg
30 szt. (3 blist.po 10 szt.)
5909991146016
831
Simvastatinum
Simvagamma 20, tabl. powl., 20 mg
30 szt. (3 blist.po 10 szt.)
5909991146115
lp.
Substancja czynna
Nazwa, postać i dawka leku, środka spożywczego specjalnego przeznaczenia
żywieniowego albo wyrobu medycznego
Zawartość opakowania
Kod EAN lub inny kod odpowiadający kodowi
EAN
1
2
3
4
5
832
Simvastatinum
Simvagamma 40, tabl. powl., 40 mg
30 szt. (3 blist.po 10 szt.)
5909991146214
833
Simvastatinum
Simvagen 20, tabl. powl., 20 mg
28 szt. (2 blist.po 14 szt.)
5909990743650
834
Simvastatinum
Simvagen 40, tabl. powl., 40 mg
28 szt. (2 blist.po 14 szt.)
5909990743667
835
Simvastatinum
SimvaHEXAL 10, tabl. powl., 10 mg
30 szt. (3 blist.po 10 szt.)
5909990623273
836
Simvastatinum
SimvaHEXAL 20, tabl. powl., 20 mg
30 szt. (3 blist.po 10 szt.)
5909990623297
837
Simvastatinum
SimvaHEXAL 40, tabl. powl., 40 mg
30 szt. (3 blist.po 10 szt.)
5909990623334
838
Simvastatinum
Simvastatin Bluefish, tabl. powl., 10 mg
28 szt.
5909990723591
839
Simvastatinum
Simvastatin Bluefish, tabl. powl., 20 mg
28 szt.
5909990723812
840
Simvastatinum
Simvastatin Bluefish, tabl. powl., 20 mg
30 szt.
5909990723829
841
Simvastatinum
Simvastatin Bluefish, tabl. powl., 40 mg
28 szt.
5909990724031
842
Simvastatinum
Simvastatin Genoptim, tabl. powl., 20 mg
28 szt.
5907553016012
843
Simvastatinum
Simvastatin Genoptim, tabl. powl., 40 mg
28 szt.
5907553016029
844
Simvastatinum
Simvastatin Krka, tabl. powl., 10 mg
28 szt.
5909990436316
845
Simvastatinum
Simvastatin Krka, tabl. powl., 20 mg
28 szt.
5909990436415
846
Simvastatinum
Simvastatinum 123ratio, tabl. powl., 20 mg
28 szt.
5909990635597
847
Simvastatinum
Simvastatinum 123ratio, tabl. powl., 40 mg
28 szt.
5909990635658
848
Simvastatinum
Simvastatinum Accord, tabl. powl., 10 mg
100 szt.
5909990706464
849
Simvastatinum
Simvastatinum Accord, tabl. powl., 10 mg
28 szt.
5909990706396
850
Simvastatinum
Simvastatinum Accord, tabl. powl., 10 mg
30 szt.
5909990706402
851
Simvastatinum
Simvastatinum Accord, tabl. powl., 20 mg
100 szt.
5909990706594
852
Simvastatinum
Simvastatinum Accord, tabl. powl., 20 mg
28 szt.
5909990706532
853
Simvastatinum
Simvastatinum Accord, tabl. powl., 20 mg
30 szt.
5909990706549
854
Simvastatinum
Simvastatinum Accord, tabl. powl., 40 mg
100 szt.
5909990706693
855
Simvastatinum
Simvastatinum Accord, tabl. powl., 40 mg
28 szt.
5909990706631
856
Simvastatinum
Simvastatinum Accord, tabl. powl., 40 mg
30 szt.
5909990706648
857
Simvastatinum
Simvasterol, tabl. powl., 10 mg
28 szt. (2 blist.po 14 szt.)
5909990927616
858
Simvastatinum
Simvasterol, tabl. powl., 20 mg
28 szt. (2 blist.po 14 szt.)
5909990927715
859
Simvastatinum
Simvasterol, tabl. powl., 40 mg
28 szt. (4 blist.po 7 szt.)
5909990927838
860
Simvastatinum
Vasilip, tabl. powl., 10 mg
28 szt.
5909990914012
861
Simvastatinum
Vasilip, tabl. powl., 20 mg
28 szt.
5909990914111
lp.
Substancja czynna
Nazwa, postać i dawka leku, środka spożywczego specjalnego przeznaczenia
żywieniowego albo wyrobu medycznego
Zawartość opakowania
Kod EAN lub inny kod odpowiadający kodowi
EAN
1
2
3
4
5
862
Simvastatinum
Vasilip, tabl. powl., 40 mg
28 szt.
5909990982714
863
Simvastatinum
Vastan, tabl. powl., 10 mg
28 szt. (2 blist.po 14 szt.)
5909991073114
864
Simvastatinum
Vastan, tabl. powl., 20 mg
28 szt. (2 blist.po 14 szt.)
5909991073213
865
Simvastatinum
Ximve, tabl. powl., 10 mg
30 szt. (3 blist.po 10 szt.)
5909990935116
866
Simvastatinum
Ximve, tabl. powl., 20 mg
28 szt. (2 blist.po 14 szt.)
5909990055722
867
Simvastatinum
Ximve, tabl. powl., 20 mg
30 szt. (3 blist.po 10 szt.)
5909990935215
868
Simvastatinum
Ximve, tabl. powl., 40 mg
30 szt. (3 blist.po 10 szt.)
5909990935314
869
Simvastatinum
Zocor 10, tabl. powl., 10 mg
28 szt. (2 blist.po 14 szt.)
5909990365913
870
Simvastatinum
Zocor 20, tabl. powl., 20 mg
28 szt. (2 blist.po 14 szt.)
5909990366026
871
Simvastatinum
Zocor 40, tabl. powl., 40 mg
28 szt. (2 blist.po 14 szt.)
5909990769124
872
Sotalolum
Biosotal 40, tabl., 40 mg
60 szt. (6 blist.po 10 szt.)
5909990365715
873
Sotalolum
Biosotal 80, tabl., 80 mg
30 szt. (3 blist.po 10 szt.)
5909990365616
874
Sotalolum
SotaHEXAL 160, tabl., 160 mg
20 szt. (2 blist.po 10 szt.)
5909990309115
875
Sotalolum
SotaHEXAL 40, tabl., 40 mg
20 szt. (2 blist.po 10 szt.)
5909991014711
876
Sotalolum
SotaHEXAL 80, tabl., 80 mg
20 szt. (2 blist.po 10 szt.)
5909990309016
877
Spironolactonum
Finospir, tabl., 100 mg
30 szt.
5909990965977
878
Spironolactonum
Finospir, tabl., 25 mg
100 szt.
5909990965861
879
Spironolactonum
Finospir, tabl., 25 mg
30 szt.
5909990965854
880
Spironolactonum
Finospir, tabl., 50 mg
100 szt.
5909990965885
881
Spironolactonum
Finospir, tabl., 50 mg
30 szt.
5909990965878
882
Spironolactonum
Spironol 100, tabl. powl., 100 mg
20 szt.
5909990673124
883
Spironolactonum
Spironol, tabl. powl., 50 mg
30 szt.
5909991244651
884
Spironolactonum
Spironol, tabl. powl., 50 mg
60 szt.
5909991244668
885
Spironolactonum
Spironol, tabl., 25 mg
100 szt.
5909990110223
886
Spironolactonum
Spironol, tabl., 25 mg
20 szt.
5909990110216
887
Spironolactonum
Verospiron, kaps. twarde, 100 mg
30 szt.
5909990488513
888
Spironolactonum
Verospiron, kaps. twarde, 50 mg
30 szt.
5909990488414
889
Spironolactonum
Verospiron, tabl., 25 mg
20 szt.
5909990117215
890
Tafluprostum
Taflotan, krople do oczu, roztwór, 15 µg/ml
30 szt. (3 sasz.po 10 poj.)
5909990675944
891
Telmisartanum
Actelsar, tabl., 40 mg
28 szt.
5909990891832
lp.
Substancja czynna
Nazwa, postać i dawka leku, środka spożywczego specjalnego przeznaczenia
żywieniowego albo wyrobu medycznego
Zawartość opakowania
Kod EAN lub inny kod odpowiadający kodowi
EAN
1
2
3
4
5
892
Telmisartanum
Actelsar, tabl., 80 mg
28 szt.
5909990891863
893
Telmisartanum
Micardis, tabl., 40 mg
28 szt.
5909990440726
894
Telmisartanum
Micardis, tabl., 80 mg
14 szt.
5909990440818
895
Telmisartanum
Micardis, tabl., 80 mg
28 szt.
5909990440825
896
Telmisartanum
Polsart, tabl., 40 mg
28 szt.
5909990936670
897
Telmisartanum
Polsart, tabl., 80 mg
28 szt.
5909990936700
898
Telmisartanum
Pritor, tabl., 40 mg
28 szt.
5909990463428
899
Telmisartanum
Pritor, tabl., 80 mg
28 szt.
5909990463527
900
Telmisartanum
Telmabax, tabl., 40 mg
28 szt.
5909991060220
901
Telmisartanum
Telmabax, tabl., 80 mg
28 szt.
5909991060268
902
Telmisartanum
Telmisartan Apotex, tabl., 40 mg
28 szt.
5909990992058
903
Telmisartanum
Telmisartan Apotex, tabl., 80 mg
28 szt.
5909990992065
904
Telmisartanum
Telmisartan EGIS, tabl. powl., 40 mg
28 szt.
5909991036768
905
Telmisartanum
Telmisartan EGIS, tabl. powl., 80 mg
28 szt.
5909991036867
906
Telmisartanum
Telmisartan EGIS, tabl. powl., 80 mg
28 szt.
5909991229801
907
Telmisartanum
Telmisartan Mylan, tabl., 80 mg
28 tabl.
5909991018436
908
Telmisartanum
Telmisartan Sandoz, tabl., 40 mg
28 szt.
5909990840472
909
Telmisartanum
Telmisartan Sandoz, tabl., 80 mg
28 szt.
5909990840557
910
Telmisartanum
Telmisartanum 123ratio, tabl., 40 mg
28 szt.
5909990821839
911
Telmisartanum
Telmisartanum 123ratio, tabl., 80 mg
28 szt.
5909990821792
912
Telmisartanum
Telmix, tabl., 40 mg
28 szt.
5909990974863
913
Telmisartanum
Telmix, tabl., 40 mg
56 tabl.
5909990974887
914
Telmisartanum
Telmix, tabl., 80 mg
28 szt.
5909990974979
915
Telmisartanum
Telmix, tabl., 80 mg
56 tabl.
5909990974993
916
Telmisartanum
Telmizek, tabl., 40 mg
28 szt.
5909990902002
917
Telmisartanum
Telmizek, tabl., 80 mg
28 szt.
5909990902095
918
Telmisartanum
Tezeo, tabl., 40 mg
28 tabl.
5909990818082
919
Telmisartanum
Tezeo, tabl., 40 mg
56 szt.
5909991086626
920
Telmisartanum
Tezeo, tabl., 80 mg
28 tabl.
5909990818150
921
Telmisartanum
Tezeo, tabl., 80 mg
56 szt.
5909991086633
lp.
Substancja czynna
Nazwa, postać i dawka leku, środka spożywczego specjalnego przeznaczenia
żywieniowego albo wyrobu medycznego
Zawartość opakowania
Kod EAN lub inny kod odpowiadający kodowi
EAN
1
2
3
4
5
922
Telmisartanum
Tolura 40 mg tabletki, tabl. powl., 40 mg
28 tabl.
5909997077604
923
Telmisartanum
Tolura 80 mg tabletki, tabl. powl., 80 mg
28 tabl.
5909997077673
924
Telmisartanum
Tolura, tabl., 40 mg
56 tabl.
5909997077628
925
Telmisartanum
Tolura, tabl., 40 mg
84 szt.
5909997077635
926
Telmisartanum
Tolura, tabl., 80 mg
56 tabl.
5909997077697
927
Telmisartanum
Tolura, tabl., 80 mg
84 szt.
5909997077703
928
Telmisartanum
Zanacodar, tabl., 40 mg
28 szt.
5909990941841
929
Telmisartanum
Zanacodar, tabl., 80 mg
28 szt.
5909990941926
930
Telmisartanum + Hydrochlorothiazidum
Actelsar HCT, tabl., 80+12,5 mg
28 szt.
5909991056247
931
Telmisartanum + Hydrochlorothiazidum
Actelsar HCT, tabl., 80+25 mg
28 szt.
5909991056773
932
Telmisartanum + Hydrochlorothiazidum
Gisartan, tabl., 40+12,5 mg
28 szt.
5909991079802
933
Telmisartanum + Hydrochlorothiazidum
Gisartan, tabl., 80+12,5 mg
28 szt.
5909991080051
934
Telmisartanum + Hydrochlorothiazidum
Gisartan, tabl., 80+25 mg
28 szt.
5909991080174
935
Telmisartanum + Hydrochlorothiazidum
MicardisPlus, tabl., 80+12,5 mg
28 szt.
5909991020026
936
Telmisartanum + Hydrochlorothiazidum
MicardisPlus, tabl., 80+25 mg
14 szt.
5909990653010
937
Telmisartanum + Hydrochlorothiazidum
MicardisPlus, tabl., 80+25 mg
28 szt.
5909990653027
938
Telmisartanum + Hydrochlorothiazidum
Polsart Plus, tabl., 40+12,5 mg
28 szt.
5909991079451
939
Telmisartanum + Hydrochlorothiazidum
Polsart Plus, tabl., 80+12,5 mg
28 szt.
5909991079598
940
Telmisartanum + Hydrochlorothiazidum
Polsart Plus, tabl., 80+25 mg
28 szt.
5909991079703
941
Telmisartanum + Hydrochlorothiazidum
PritorPlus, tabl., 40+12,5 mg
28 szt.
5909991068325
942
Telmisartanum + Hydrochlorothiazidum
PritorPlus, tabl., 80+12,5 mg
28 szt.
5909991068424
943
Telmisartanum + Hydrochlorothiazidum
PritorPlus, tabl., 80+25 mg
28 szt.
5909990644834
944
Telmisartanum + Hydrochlorothiazidum
Telmisartan/Hydrochlorothiazide Billev, tabl., 40+12,5 mg
30 szt.
5909991085209
945
Telmisartanum + Hydrochlorothiazidum
Telmisartan/Hydrochlorothiazide Billev, tabl., 40+12,5 mg
60 szt.
5909991085247
946
Telmisartanum + Hydrochlorothiazidum
Telmisartan/Hydrochlorothiazide Billev, tabl., 80+12,5 mg
30 szt.
5909991085339
947
Telmisartanum + Hydrochlorothiazidum
Telmisartan/Hydrochlorothiazide Billev, tabl., 80+12,5 mg
60 szt.
5909991085353
948
Telmisartanum + Hydrochlorothiazidum
Telmisartan/Hydrochlorothiazide Billev, tabl., 80+25 mg
30 szt.
5909991085469
949
Telmisartanum + Hydrochlorothiazidum
Telmisartan/Hydrochlorothiazide Billev, tabl., 80+25 mg
60 szt.
5909991085483
950
Telmisartanum + Hydrochlorothiazidum
Telmisartan/hydrochlorothiazide EGIS, tabl., 40+12,5 mg
28 szt.
5909991073732
951
Telmisartanum + Hydrochlorothiazidum
Telmisartan/hydrochlorothiazide EGIS, tabl., 80+12,5 mg
28 szt.
5909991073848
lp.
Substancja czynna
Nazwa, postać i dawka leku, środka spożywczego specjalnego przeznaczenia
żywieniowego albo wyrobu medycznego
Zawartość opakowania
Kod EAN lub inny kod odpowiadający kodowi
EAN
1
2
3
4
5
952
Telmisartanum + Hydrochlorothiazidum
Telmisartan/hydrochlorothiazide EGIS, tabl., 80+25 mg
28 szt.
5909991073909
953
Telmisartanum + Hydrochlorothiazidum
Telmizek HCT, tabl., 40+12,5 mg
28 szt.
5909991082338
954
Telmisartanum + Hydrochlorothiazidum
Telmizek HCT, tabl., 80+12,5 mg
28 szt.
5909991082529
955
Telmisartanum + Hydrochlorothiazidum
Telmizek HCT, tabl., 80+25 mg
28 szt.
5909991082598
956
Telmisartanum + Hydrochlorothiazidum
Tezeo HCT, tabl., 40+12,5 mg
28 szt.
5909991095994
957
Telmisartanum + Hydrochlorothiazidum
Tezeo HCT, tabl., 40+12,5 mg
56 szt.
5909991096007
958
Telmisartanum + Hydrochlorothiazidum
Tezeo HCT, tabl., 80+12,5 mg
28 szt.
5909991096038
959
Telmisartanum + Hydrochlorothiazidum
Tezeo HCT, tabl., 80+12,5 mg
56 szt.
5909991096045
960
Telmisartanum + Hydrochlorothiazidum
Tezeo HCT, tabl., 80+25 mg
28 szt.
5909991096069
961
Telmisartanum + Hydrochlorothiazidum
Tezeo HCT, tabl., 80+25 mg
56 szt.
5909991096076
962
Telmisartanum + Hydrochlorothiazidum
Tolucombi, tabl., 40+12,5 mg
28 szt.
5909991045180
963
Telmisartanum + Hydrochlorothiazidum
Tolucombi, tabl., 40+12,5 mg
56 szt.
5909991045203
964
Telmisartanum + Hydrochlorothiazidum
Tolucombi, tabl., 40+12,5 mg
84 szt.
5909991045265
965
Telmisartanum + Hydrochlorothiazidum
Tolucombi, tabl., 80+12,5 mg
28 szt.
5909991045692
966
Telmisartanum + Hydrochlorothiazidum
Tolucombi, tabl., 80+12,5 mg
56 szt.
5909991045722
967
Telmisartanum + Hydrochlorothiazidum
Tolucombi, tabl., 80+12,5 mg
84 szt.
5909991045746
968
Telmisartanum + Hydrochlorothiazidum
Tolucombi, tabl., 80+25 mg
28 szt.
5909991045807
969
Telmisartanum + Hydrochlorothiazidum
Tolucombi, tabl., 80+25 mg
56 szt.
5909991045852
970
Telmisartanum + Hydrochlorothiazidum
Tolucombi, tabl., 80+25 mg
84 szt.
5909991045876
971
Telmisartanum + Hydrochlorothiazidum
Zanacodar Combi, tabl., 40+12,5 mg
28 szt.
5909991226381
972
Telmisartanum + Hydrochlorothiazidum
Zanacodar Combi, tabl., 80+12,5 mg
28 szt.
5909991226398
973
Telmisartanum + Hydrochlorothiazidum
Zanacodar Combi, tabl., 80+25 mg
28 szt.
5909991226404
974
Terazosinum
Hytrin, tabl., 10 mg
28 szt. (2 blist.po 14 szt.)
5909990768011
975
Terazosinum
Hytrin, tabl., 2 mg
28 szt. (2 blist.po 14 szt.)
5909990767816
976
Terazosinum
Hytrin, tabl., 5 mg
28 szt. (2 blist.po 14 szt.)
5909990767915
977
Terazosinum
Kornam, tabl., 2 mg
30 szt. (3 blist.po 10 szt.)
5909990484119
978
Terazosinum
Kornam, tabl., 5 mg
30 szt. (3 blist.po 10 szt.)
5909990484317
979
Ticlopidinum
Aclotin, tabl. powl., 0,25 g
20 szt. (1 blist.po 20 szt.)
5909990667116
980
Ticlopidinum
Aclotin, tabl. powl., 0,25 g
60 szt. (3 blist.po 20 szt.)
5909990334971
981
Ticlopidinum
Apo-Clodin, tabl. powl., 250 mg
30 szt. (1 but.po 30 szt.)
5909990938315
lp.
Substancja czynna
Nazwa, postać i dawka leku, środka spożywczego specjalnego przeznaczenia
żywieniowego albo wyrobu medycznego
Zawartość opakowania
Kod EAN lub inny kod odpowiadający kodowi
EAN
1
2
3
4
5
982
Ticlopidinum
Apo-Clodin, tabl. powl., 250 mg
60 szt. (1 but.po 60 szt.)
5909990646616
983
Ticlopidinum
Iclopid, tabl. powl., 250 mg
20 szt.
5909991029333
984
Ticlopidinum
Iclopid, tabl. powl., 250 mg
60 szt.
5909990044986
985
Ticlopidinum
Ifapidin, tabl. powl., 250 mg
20 szt. (2 blist.po 10 szt.)
5909990694853
986
Ticlopidinum
Ifapidin, tabl. powl., 250 mg
60 szt. (6 blist.po 10 szt.)
5909990694846
987
Timololum
Cusimolol 0,5%, krople do oczu, roztwór, 5 mg/ml
1 but.po 5 ml
5909990187713
988
Timololum
Oftensin, krople do oczu, roztwór, 2,5 mg/ml
5 ml
5909990073610
989
Timololum
Oftensin, krople do oczu, roztwór, 5 mg/ml
5 ml
5909990073719
5909990735839
990
Tiotropii bromidum
Spiriva Respimat, roztwór do inhalacji, 2,5 µg/dawkę odmierzoną
1 wkł.po 30 dawek leczniczych (60 dawek odmierzonych) + 1 inhalator
Respimat
991
Tiotropii bromidum
Spiriva, proszek do inhalacji w kaps. twardych, 18 µg/dawkę inhalacyjną
30 szt. (3 blist.po 10 szt. + HandiHaler)
5909990985128
992
Tiotropii bromidum
Spiriva, proszek do inhalacji w kaps. twardych, 18 µg/dawkę inhalacyjną
30 szt. (3 blist.po 10 szt.)
5909990985111
993
Trazodonum
Trittico CR, tabl. o przedłużonym uwalnianiu, 150 mg
20 szt. (2 blist.po 10 szt.)
5909990918720
994
Trazodonum
Trittico CR, tabl. o przedłużonym uwalnianiu, 150 mg
60 szt. (6 blist.po 10 szt.)
5909990715497
995
Trazodonum
Trittico CR, tabl. o przedłużonym uwalnianiu, 75 mg
30 szt. (2 blist.po 15 szt.)
5909990918621
996
Valsartanum
Apo-Valsart, tabl. powl., 160 mg
28 tabl.
5909990870905
997
Valsartanum
Apo-Valsart, tabl. powl., 80 mg
28 tabl.
5909990870561
998
Valsartanum
Avasart, tabl. powl., 160 mg
28 szt.. (4 blist.po 7 szt.)
5909990773763
999
Valsartanum
Avasart, tabl. powl., 80 mg
28 szt.. (4 blist.po 7 szt.)
5909990773695
1000
Valsartanum
Axudan, tabl. powl., 160 mg
28 szt.
5909990831067
1001
Valsartanum
Axudan, tabl. powl., 160 mg
28 szt.
5909991225971
1002
Valsartanum
Axudan, tabl. powl., 160 mg
28 szt.
5909991230395
1003
Valsartanum
Axudan, tabl. powl., 160 mg
56 szt.
5909990831081
1004
Valsartanum
Axudan, tabl. powl., 320 mg
28 szt.
5909990831159
1005
Valsartanum
Axudan, tabl. powl., 80 mg
28 szt.
5909990830961
1006
Valsartanum
Axudan, tabl. powl., 80 mg
28 szt.
5909991225988
1007
Valsartanum
Axudan, tabl. powl., 80 mg
56 szt.
5909990830985
1008
Valsartanum
Bespres, tabl. powl., 160 mg
28 szt. (2 blist.po 14 szt.)
5909990751877
1009
Valsartanum
Bespres, tabl. powl., 80 mg
28 szt. (2 blist.po 14 szt.)
5909990751594
1010
Valsartanum
Diovan, tabl. powl., 160 mg
14 szt. (1 blist.po 14 szt.)
5909990929238
1011
Valsartanum
Diovan, tabl. powl., 160 mg
28 szt. (2 blist.po 14 szt.)
5909990929214
lp.
Substancja czynna
Nazwa, postać i dawka leku, środka spożywczego specjalnego przeznaczenia
żywieniowego albo wyrobu medycznego
Zawartość opakowania
Kod EAN lub inny kod odpowiadający kodowi
EAN
1
2
3
4
5
1012
Valsartanum
Diovan, tabl. powl., 80 mg
28 szt. (2 blist.po 14 szt.)
5909990929115
1013
Valsartanum
Ivisart, tabl., 160 mg
28 szt. (4 blist.po 7 szt.)
5909990686254
1014
Valsartanum
Nortivan, tabl. powl., 160 mg
28 szt.
5909990726844
1015
Valsartanum
Nortivan, tabl. powl., 80 mg
28 szt.
5909990726776
1016
Valsartanum
Tensart, tabl. powl., 160 mg
28 szt. (4 blist.po 7 szt.)
5909990682065
1017
Valsartanum
Tensart, tabl. powl., 80 mg
28 szt. (4 blist.po 7 szt.)
5909990681877
1018
Valsartanum
Valsacor 160 mg tabletki powlekane, tabl. powl., 160 mg
28 szt. (4 blist.po 7 szt.)
5909990074969
1019
Valsartanum
Valsacor 160 mg tabletki, tabl. powl., 160 mg
90 szt.
5909990818990
1020
Valsartanum
Valsacor 160, tabl. powl., 160 mg
60 szt.
5909990818983
1021
Valsartanum
Valsacor 320 mg tabletki powlekane, tabl. powl., 320 mg
28 szt.
5909990779147
1022
Valsartanum
Valsacor 320 mg tabletki powlekane, tabl. powl., 320 mg
28 szt.
5909991216306
1023
Valsartanum
Valsacor 320 mg tabletki powlekane, tabl. powl., 320 mg
28 szt.
5909991261801
1024
Valsartanum
Valsacor 80 mg tabletki powlekane, tabl. powl., 80 mg
28 szt. (4 blist.po 7 szt.)
5909990074945
1025
Valsartanum
Valsacor 80 mg tabletki powlekane, tabl. powl., 80 mg
90 szt.
5909990818860
1026
Valsartanum
Valsacor 80, tabl. powl., 80 mg
60 szt.
5909990818853
1027
Valsartanum
Valsargen, kaps. twarde, 160 mg
28 szt.
5909990857081
1028
Valsartanum
Valsargen, kaps. twarde, 80 mg
28 szt.
5909990856954
1029
Valsartanum
Valsartan 123ratio, kaps. twarde, 160 mg
28 szt.
5909990810697
1030
Valsartanum
Valsartan 123ratio, kaps. twarde, 80 mg
28 szt.
5909990810635
1031
Valsartanum
Valsartan Aurobindo, tabl. powl., 160 mg
28 szt.
5909990986057
1032
Valsartanum
Valsotens, tabl. powl., 160 mg
28 szt.
5909990693276
1033
Valsartanum
Valtap, tabl. powl., 160 mg
28 szt.
5909990804580
1034
Valsartanum
Valtap, tabl. powl., 160 mg
56 szt.
5909991088118
1035
Valsartanum
Valtap, tabl. powl., 80 mg
28 szt.
5909990804542
1036
Valsartanum
Valtap, tabl. powl., 80 mg
56 szt.
5909991088101
1037
Valsartanum
Valzek, tabl., 160 mg
28 tabl.
5909991202330
1038
Valsartanum
Valzek, tabl., 80 mg
28 tabl.
5909991202286
1039
Valsartanum
Vanatex, tabl. powl., 160 mg
28 szt.
5909990827480
1040
Valsartanum
Vanatex, tabl. powl., 80 mg
28 szt.
5909990827459
1041
Valsartanum
Walsartan KRKA, tabl. powl., 160 mg
28 szt.
5909991003081
lp.
Substancja czynna
Nazwa, postać i dawka leku, środka spożywczego specjalnego przeznaczenia
żywieniowego albo wyrobu medycznego
Zawartość opakowania
Kod EAN lub inny kod odpowiadający kodowi
EAN
1
2
3
4
5
1042
Valsartanum
Walsartan KRKA, tabl. powl., 80 mg
28 szt.
5909991002794
1043
Valsartanum + Hydrochlorothiazidum
ApoValsart HCT, tabl. powl., 160+25 mg
28 szt.
5909991028688
1044
Valsartanum + Hydrochlorothiazidum
Awalten, tabl. powl., 160+12,5 mg
28 szt.
5909991077341
1045
Valsartanum + Hydrochlorothiazidum
Awalten, tabl. powl., 160+12,5 mg
56 szt.
5909991077372
1046
Valsartanum + Hydrochlorothiazidum
Awalten, tabl. powl., 160+25 mg
28 szt.
5909991242893
1047
Valsartanum + Hydrochlorothiazidum
Awalten, tabl. powl., 160+25 mg
56 szt.
5909991242916
1048
Valsartanum + Hydrochlorothiazidum
Awalten, tabl. powl., 320+12,5 mg
28 szt.
5909991077655
1049
Valsartanum + Hydrochlorothiazidum
Awalten, tabl. powl., 320+25 mg
28 szt.
5909991077792
1050
Valsartanum + Hydrochlorothiazidum
Awalten, tabl. powl., 80+12,5 mg
28 szt.
5909991242787
1051
Valsartanum + Hydrochlorothiazidum
Axudan HCT, tabl. powl., 160+12,5 mg
28 szt.
5909990829989
1052
Valsartanum + Hydrochlorothiazidum
Axudan HCT, tabl. powl., 160+12,5 mg
28 szt.
5909991230234
1053
Valsartanum + Hydrochlorothiazidum
Axudan HCT, tabl. powl., 160+12,5 mg
56 szt.
5909990830008
1054
Valsartanum + Hydrochlorothiazidum
Axudan HCT, tabl. powl., 160+25 mg
28 szt.
5909990830107
1055
Valsartanum + Hydrochlorothiazidum
Axudan HCT, tabl. powl., 160+25 mg
28 szt.
5909991230333
1056
Valsartanum + Hydrochlorothiazidum
Axudan HCT, tabl. powl., 160+25 mg
56 szt.
5909990830138
1057
Valsartanum + Hydrochlorothiazidum
Axudan HCT, tabl. powl., 320+12,5 mg
28 szt.
5909990830176
1058
Valsartanum + Hydrochlorothiazidum
Axudan HCT, tabl. powl., 320+25 mg
28 szt.
5909990830244
1059
Valsartanum + Hydrochlorothiazidum
Axudan HCT, tabl. powl., 80+12,5 mg
28 szt.
5909990829927
1060
Valsartanum + Hydrochlorothiazidum
Axudan HCT, tabl. powl., 80+12,5 mg
56 szt.
5909990829941
1061
Valsartanum + Hydrochlorothiazidum
Co-Bespres, tabl. powl., 160+12,5 mg
28 szt.
5909990874255
1062
Valsartanum + Hydrochlorothiazidum
Co-Bespres, tabl. powl., 160+25 mg
14 szt. (1 blist.po 14 szt.)
5909990740857
1063
Valsartanum + Hydrochlorothiazidum
Co-Bespres, tabl. powl., 160+25 mg
28 szt.
5909991282028
1064
Valsartanum + Hydrochlorothiazidum
Co-Bespres, tabl. powl., 160+25 mg
28 szt. (2 blist.po 14 szt.)
5909990740864
1065
Valsartanum + Hydrochlorothiazidum
Co-Bespres, tabl. powl., 80+12,5 mg
28 szt. (2 blist.po 14 szt.)
5909990740833
1066
Valsartanum + Hydrochlorothiazidum
Co-Diovan, tabl. powl., 160+25 mg
14 szt. (1 blist.po 14 szt.)
5909991062927
1067
Valsartanum + Hydrochlorothiazidum
Co-Nortivan, tabl. powl., 160+12,5 mg
28 szt.
5909990772452
1068
Valsartanum + Hydrochlorothiazidum
Co-Nortivan, tabl. powl., 160+25 mg
28 szt.
5909990772506
1069
Valsartanum + Hydrochlorothiazidum
Co-Nortivan, tabl. powl., 80+12,5 mg
28 szt.
5909990772292
1070
Valsartanum + Hydrochlorothiazidum
Co-Valsacor, tabl. powl., 160+12,5 mg
28 szt. (2 blist.po 14 szt.)
5909990740246
1071
Valsartanum + Hydrochlorothiazidum
Co-Valsacor, tabl. powl., 160+12,5 mg
56 tabl.
5909990740253
lp.
Substancja czynna
Nazwa, postać i dawka leku, środka spożywczego specjalnego przeznaczenia
żywieniowego albo wyrobu medycznego
Zawartość opakowania
Kod EAN lub inny kod odpowiadający kodowi
EAN
1
2
3
4
5
1072
Valsartanum + Hydrochlorothiazidum
Co-Valsacor, tabl. powl., 160+12,5 mg
98 szt.
5909990740260
1073
Valsartanum + Hydrochlorothiazidum
Co-Valsacor, tabl. powl., 160+25 mg
28 szt. (2 blist.po 14 szt.)
5909990740277
1074
Valsartanum + Hydrochlorothiazidum
Co-Valsacor, tabl. powl., 160+25 mg
56 tabl.
5909990740284
1075
Valsartanum + Hydrochlorothiazidum
Co-Valsacor, tabl. powl., 160+25 mg
98 szt.
5909990740291
1076
Valsartanum + Hydrochlorothiazidum
Co-valsacor, tabl. powl., 320+12,5 mg
28 szt.
5909990847464
1077
Valsartanum + Hydrochlorothiazidum
Co-valsacor, tabl. powl., 320+25 mg
28 szt.
5909990847501
1078
Valsartanum + Hydrochlorothiazidum
Co-Valsacor, tabl. powl., 80+12,5 mg
28 tabl.
5909990740192
1079
Valsartanum + Hydrochlorothiazidum
Co-Valsacor, tabl. powl., 80+12,5 mg
56 tabl.
5909990740208
1080
Valsartanum + Hydrochlorothiazidum
Co-Valsacor, tabl. powl., 80+12,5 mg
98 szt.
5909990740239
1081
Valsartanum + Hydrochlorothiazidum
Tensart HCT, tabl. powl., 160+12,5 mg
28 szt. (2 blist.po 14 szt.)
5909990704132
1082
Valsartanum + Hydrochlorothiazidum
Tensart HCT, tabl. powl., 160+25 mg
28 szt. (2 blist.po 14 szt.)
5909990704262
1083
Valsartanum + Hydrochlorothiazidum
Valsartan + hydrochlorothiazide Aurobindo, tabl. powl., 160+25 mg
28 szt.
5909991077495
1084
Valsartanum + Hydrochlorothiazidum
Valsartan + hydrochlorothiazide Krka, tabl. powl., 160+12,5 mg
28 szt.
5909990847600
1085
Valsartanum + Hydrochlorothiazidum
Valsartan + hydrochlorothiazide Krka, tabl. powl., 160+25 mg
28 szt.
5909990847655
1086
Valsartanum + Hydrochlorothiazidum
Valsartan HCT Mylan, tabl. powl., 160+12,5 mg
28 szt.
5909991045500
1087
Valsartanum + Hydrochlorothiazidum
Valsartan HCT Mylan, tabl. powl., 160+25 mg
14 szt.
5909991046750
1088
Valsartanum + Hydrochlorothiazidum
Valsartan HCT Mylan, tabl. powl., 160+25 mg
28 szt.
5909991046767
1089
Valsartanum + Hydrochlorothiazidum
Valsotens HCT, tabl. powl., 160+12,5 mg
28 szt.
5909990877386
1090
Valsartanum + Hydrochlorothiazidum
Valsotens HCT, tabl. powl., 160+25 mg
28 szt.
5909990877201
1091
Valsartanum + Hydrochlorothiazidum
Valtap HCT, tabl. powl., 160+12,5 mg
28 szt.
5909990801961
1092
Valsartanum + Hydrochlorothiazidum
Valtap HCT, tabl. powl., 160+12,5 mg
56 szt.
5909991067557
1093
Valsartanum + Hydrochlorothiazidum
Valtap HCT, tabl. powl., 160+25 mg
14 szt.
5909990813995
1094
Valsartanum + Hydrochlorothiazidum
Valtap HCT, tabl. powl., 160+25 mg
28 szt.
5909990802005
1095
Valsartanum + Hydrochlorothiazidum
Valtap HCT, tabl. powl., 160+25 mg
56 szt.
5909991067564
1096
Valsartanum + Hydrochlorothiazidum
Vanatex HCT, tabl. powl., 160+12,5 mg
28 szt.
5909990862375
1097
Valsartanum + Hydrochlorothiazidum
Vanatex HCT, tabl. powl., 160+25 mg
28 szt.
5909990862399
1098
Valsartanum + Hydrochlorothiazidum
Vanatex HCT, tabl. powl., 80+12,5 mg
28 szt.
5909990862351
1099
Venlafaxinum
Alventa, kaps. o przedłużonym uwalnianiu, 150 mg
60 tabl.
5909991197735
1100
Venlafaxinum
Alventa, kaps. o przedłużonym uwalnianiu, 75 mg
60 tabl.
5909991197728
1101
Venlafaxinum
Alventa, kaps. o przedłużonym uwalnianiu, twarde, 150 mg
28 szt.
5909990047956
lp.
Substancja czynna
Nazwa, postać i dawka leku, środka spożywczego specjalnego przeznaczenia
żywieniowego albo wyrobu medycznego
Zawartość opakowania
Kod EAN lub inny kod odpowiadający kodowi
EAN
1
2
3
4
5
1102
Venlafaxinum
Alventa, kaps. o przedłużonym uwalnianiu, twarde, 150 mg
28 szt.
5909991265717
1103
Venlafaxinum
Alventa, kaps. o przedłużonym uwalnianiu, twarde, 37,5 mg
28 szt. (2 blist.po 14 szt.)
5909990047901
1104
Venlafaxinum
Alventa, kaps. o przedłużonym uwalnianiu, twarde, 75 mg
28 szt.
5909990047895
1105
Venlafaxinum
Alventa, kaps. o przedłużonym uwalnianiu, twarde, 75 mg
28 szt.
5909991265694
1106
Venlafaxinum
Axyven, tabl. o przedłużonym uwalnianiu, 150 mg
28 szt. (2 blist.po 14 szt.)
5909990660650
1107
Venlafaxinum
Axyven, tabl. o przedłużonym uwalnianiu, 37,5 mg
28 szt. (2 blist.po 14 szt.)
5909990660636
1108
Venlafaxinum
Axyven, tabl. o przedłużonym uwalnianiu, 75 mg
28 szt. (2 blist.po 14 szt.)
5909990660643
1109
Venlafaxinum
Efectin ER 150, kaps. o przedłużonym uwalnianiu, twarde, 150 mg
28 szt. (2 blist.po 14 szt.)
5909990494019
1110
Venlafaxinum
Efectin ER 75, kaps. o przedłużonym uwalnianiu, twarde, 75 mg
28 szt. (2 blist.po 14 szt.)
5909990493913
1111
Venlafaxinum
Efevelon SR, kaps. o przedłużonym uwalnianiu, twarde, 150 mg
28 szt.
5909990715374
1112
Venlafaxinum
Efevelon SR, kaps. o przedłużonym uwalnianiu, twarde, 37,5 mg
28 szt.
5909990715299
1113
Venlafaxinum
Efevelon SR, kaps. o przedłużonym uwalnianiu, twarde, 75 mg
28 szt.
5909990715350
1114
Venlafaxinum
Faxigen XL 150 mg, kaps. o przedłużonym uwalnianiu, twarde, 150 mg
28 szt.
5909990721528
1115
Venlafaxinum
Faxigen XL 37,5 mg, kaps. o przedłużonym uwalnianiu, twarde, 37,5 mg
28 szt.
5909990721498
1116
Venlafaxinum
Faxigen XL 75 mg, kaps. o przedłużonym uwalnianiu, twarde, 75 mg
28 szt.
5909990721504
1117
Venlafaxinum
Faxolet ER, kaps. o przedłużonym uwalnianiu, twarde, 150 mg
28 szt.
5909990691883
1118
Venlafaxinum
Faxolet ER, kaps. o przedłużonym uwalnianiu, twarde, 37,5 mg
28 szt.
5909990691760
1119
Venlafaxinum
Faxolet ER, kaps. o przedłużonym uwalnianiu, twarde, 75 mg
28 szt.
5909990691906
1120
Venlafaxinum
Lafactin, kaps. o przedłużonym uwalnianiu, 37,5 mg
28 szt.
5909990673728
1121
Venlafaxinum
Lafactin, kaps. o przedłużonym uwalnianiu, twarde, 150 mg
28 szt.
5909990673803
1122
Venlafaxinum
Lafactin, kaps. o przedłużonym uwalnianiu, twarde, 75 mg
28 szt.
5909990673766
1123
Venlafaxinum
Olwexya, kaps. o przedłużonym uwalnianiu, 75 mg
28 szt.
5909990663507
1124
Venlafaxinum
Oriven, kaps. o przedłużonym uwalnianiu, twarde, 150 mg
28 szt.
5909990795826
1125
Venlafaxinum
Oriven, kaps. o przedłużonym uwalnianiu, twarde, 150 mg
98 szt.
5909990795833
1126
Venlafaxinum
Oriven, kaps. o przedłużonym uwalnianiu, twarde, 37,5 mg
28 szt.
5909990795802
1127
Venlafaxinum
Oriven, kaps. o przedłużonym uwalnianiu, twarde, 37,5 mg
98 szt.
5909990795819
1128
Venlafaxinum
Oriven, kaps. o przedłużonym uwalnianiu, twarde, 75 mg
28 szt.
5909990795789
1129
Venlafaxinum
Oriven, kaps. o przedłużonym uwalnianiu, twarde, 75 mg
98 szt.
5909990795796
1130
Venlafaxinum
Prefaxine, kaps. o przedłużonym uwalnianiu, twarde, 150 mg
28 szt. (4 blist.po 7 szt.)
5909990727520
1131
Venlafaxinum
Prefaxine, kaps. o przedłużonym uwalnianiu, twarde, 37,5 mg
28 szt. (4 blist.po 7 szt.)
5909990727490
lp.
Substancja czynna
Nazwa, postać i dawka leku, środka spożywczego specjalnego przeznaczenia
żywieniowego albo wyrobu medycznego
Zawartość opakowania
Kod EAN lub inny kod odpowiadający kodowi
EAN
1
2
3
4
5
1132
Venlafaxinum
Prefaxine, kaps. o przedłużonym uwalnianiu, twarde, 75 mg
28 szt. (4 blist.po 7 szt.)
5909990727506
1133
Venlafaxinum
Symfaxin ER, kaps. o przedłużonym uwalnianiu, twarde, 150 mg
28 szt.
5909991092030
1134
Venlafaxinum
Symfaxin ER, kaps. o przedłużonym uwalnianiu, twarde, 75 mg
28 szt.
5909991091996
1135
Venlafaxinum
Symfaxin ER, kapsułki o przedłużonym uwalnianiu, twarde, 37,5 mg
28 kaps.
5909991135096
1136
Venlafaxinum
Velafax XL, kaps. o zmodyfikowanym uwalnianiu, 150 mg
28 szt. (2 blist.po 14 szt.)
5909990626724
1137
Venlafaxinum
Velafax XL, kaps. o zmodyfikowanym uwalnianiu, 75 mg
28 szt. (2 blist.po 14 szt.)
5909990626670
1138
Venlafaxinum
Velafax, tabl., 37,5 mg
28 szt.
5909991093815
1139
Venlafaxinum
Velafax, tabl., 37,5 mg
56 szt.
5909991093822
1140
Venlafaxinum
Velafax, tabl., 75 mg
28 szt.
5909991093914
1141
Venlafaxinum
Velafax, tabl., 75 mg
56 szt.
5909991093921
1142
Venlafaxinum
Velaxin ER 150 mg, kaps. o przedłużonym uwalnianiu, twarde, 150 mg
28 szt. (2 blist.po 14 szt.)
5909990056293
1143
Venlafaxinum
Velaxin ER 37,5 mg, kaps. o przedłużonym uwalnianiu, twarde, 37,5 mg
28 szt. (2 blist.po 14 szt.)
5909990055982
1144
Venlafaxinum
Velaxin ER 75 mg, kaps. o przedłużonym uwalnianiu, twarde, 75 mg
28 szt. (2 blist.po 14 szt.)
5909990056279
1145
Venlafaxinum
Venlafaxine Bluefish XL, kaps. o przedłużonym uwalnianiu, twarde, 150 mg
28 szt.
5909990767625
1146
Venlafaxinum
Venlafaxine Bluefish XL, kaps. o przedłużonym uwalnianiu, twarde, 75 mg
28 szt.
5909990767601
1147
Venlafaxinum
Venlectine, kaps. o przedłużonym uwalnianiu, 150 mg
28 szt. (4 blist.po 7 szt.)
5909990424672
1148
Venlafaxinum
Venlectine, kaps. o przedłużonym uwalnianiu, 37,5 mg
28 szt. (4 blist.po 7 szt.)
5909990040971
1149
Venlafaxinum
Venlectine, kaps. o przedłużonym uwalnianiu, 75 mg
28 szt. (4 blist.po 7 szt.)
5909990040995