karta 3.2 - EKOportal

Transkrypt

karta 3.2 - EKOportal
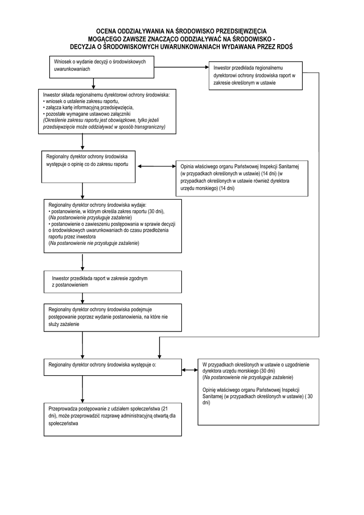
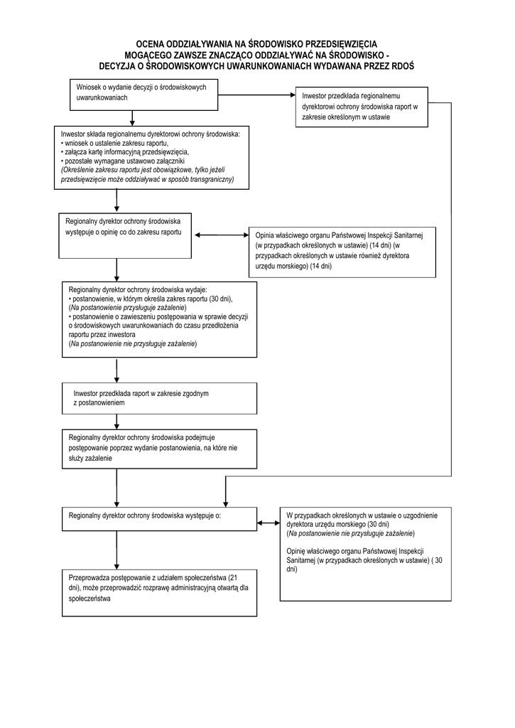
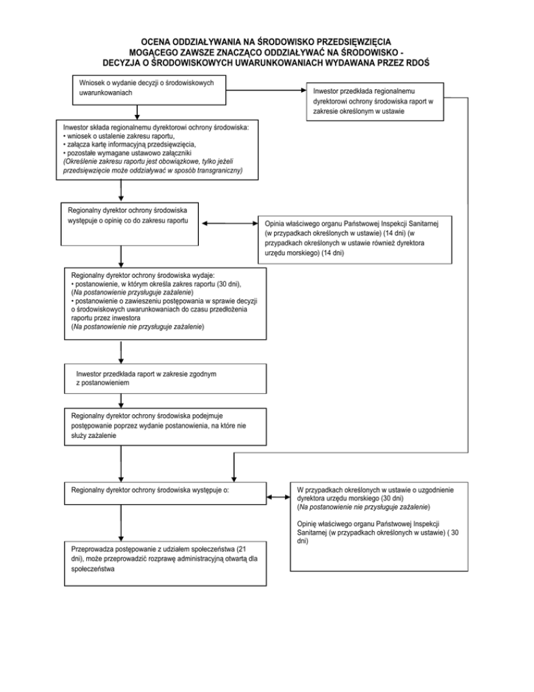
OCENA ODDZIAŁYWANIA NA ŚRODOWISKO PRZEDSIĘWZIĘCIA
MOGĄCEGO ZAWSZE ZNACZĄCO ODDZIAŁYWAĆ NA ŚRODOWISKO DECYZJA O ŚRODOWISKOWYCH UWARUNKOWANIACH WYDAWANA PRZEZ RDOŚ
Wniosek o wydanie decyzji o środowiskowych
uwarunkowaniach
Inwestor przedkłada regionalnemu
dyrektorowi ochrony środowiska raport w
zakresie określonym w ustawie
Inwestor składa regionalnemu dyrektorowi ochrony środowiska:
• wniosek o ustalenie zakresu raportu,
• załącza kartę informacyjną przedsięwzięcia,
• pozostałe wymagane ustawowo załączniki
(Określenie zakresu raportu jest obowiązkowe, tylko jeżeli
przedsięwzięcie może oddziaływać w sposób transgraniczny)
Regionalny dyrektor ochrony środowiska
występuje o opinię co do zakresu raportu
Opinia właściwego organu Państwowej Inspekcji Sanitarnej
(w przypadkach określonych w ustawie) (14 dni) (w
przypadkach określonych w ustawie również dyrektora
urzędu morskiego) (14 dni)
Regionalny dyrektor ochrony środowiska wydaje:
• postanowienie, w którym określa zakres raportu (30 dni),
(Na postanowienie przysługuje zażalenie)
• postanowienie o zawieszeniu postępowania w sprawie decyzji
o środowiskowych uwarunkowaniach do czasu przedłożenia
raportu przez inwestora
(Na postanowienie nie przysługuje zażalenie)
Inwestor przedkłada raport w zakresie zgodnym
z postanowieniem
Regionalny dyrektor ochrony środowiska podejmuje
postępowanie poprzez wydanie postanowienia, na które nie
służy zażalenie
Regionalny dyrektor ochrony środowiska występuje o:
Przeprowadza postępowanie z udziałem społeczeństwa (21
dni), może przeprowadzić rozprawę administracyjną otwartą dla
społeczeństwa
W przypadkach określonych w ustawie o uzgodnienie
dyrektora urzędu morskiego (30 dni)
(Na postanowienie nie przysługuje zażalenie)
Opinię właściwego organu Państwowej Inspekcji
Sanitarnej (w przypadkach określonych w ustawie) ( 30
dni)
Regionalny dyrektor ochrony środowiska analizuje zgromadzony materiał dowodowy
i wydaje decyzję o środowiskowych uwarunkowaniach, w której przedstawia m.in.
stanowisko na temat konieczności przeprowadzenia ponownej oceny oddziaływania
na środowisko
(Od decyzji przysługuje odwołanie)
Regionalny dyrektor ochrony środowiska podaje do publicznej
wiadomości informację o wydaniu decyzji i o możliwościach zapoznania
się z jej treścią oraz z dokumentacją sprawy