ponowna ocena oddziaływania na środowisko w

Transkrypt

ponowna ocena oddziaływania na środowisko w
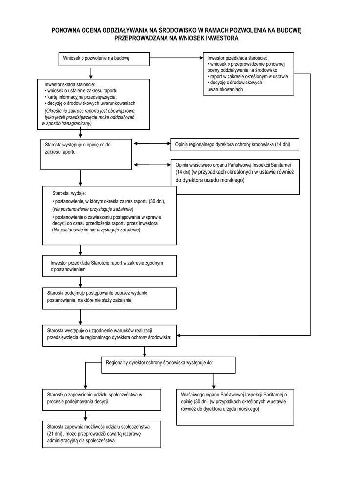
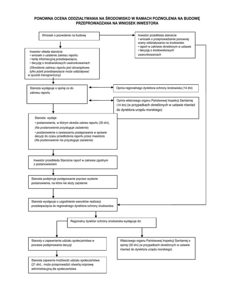
PONOWNA OCENA ODDZIAŁYWANIA NA ŚRODOWISKO W RAMACH POZWOLENIA NA BUDOWĘ
PRZEPROWADZANA NA WNIOSEK INWESTORA
Wniosek o pozwolenie na budowę
Inwestor składa staroście:
• wniosek o ustalenie zakresu raportu
• kartę informacyjną przedsięwzięcia,
• decyzję o środowiskowych uwarunkowaniach
(Określenie zakresu raportu jest obowiązkowe,
tylko jeżeli przedsięwzięcie może oddziaływać
w sposób transgraniczny)
Starosta występuje o opinię co do
zakresu raportu
Inwestor przedkłada staroście:
• wniosek o przeprowadzenie ponownej
oceny oddziaływania na środowisko
• raport w zakresie określonym w ustawie
• decyzję o środowiskowych
uwarunkowaniach
Opinia regionalnego dyrektora ochrony środowiska (14 dni)
Opinia właściwego organu Państwowej Inspekcji Sanitarnej
(14 dni) (w przypadkach określonych w ustawie również
do dyrektora urzędu morskiego)
Starosta wydaje:
• postanowienie, w którym określa zakres raportu (30 dni),
(Na postanowienie przysługuje zażalenie)
• postanowienie o zawieszeniu postępowania w sprawie
decyzji do czasu przedłożenia raportu przez inwestora
(Na postanowienie nie przysługuje zażalenie)
Inwestor przedkłada Staroście raport w zakresie zgodnym
z postanowieniem
Starosta podejmuje postępowanie poprzez wydanie
postanowienia, na które nie służy zażalenie
Starosta występuje o uzgodnienie warunków realizacji
przedsięwzięcia do regionalnego dyrektora ochrony środowiska:
Regionalny dyrektor ochrony środowiska występuje do:
Starosty o zapewnienie udziału społeczeństwa w
procesie podejmowania decyzji
Starosta zapewnia możliwość udziału społeczeństwa
(21 dni) , może przeprowadzić otwartą rozprawę
administracyjną dla społeczeństwa
Właściwego organu Państwowej Inspekcji Sanitarnej o
opinię (30 dni) (w przypadkach określonych w ustawie
również do dyrektora urzędu morskiego)
Starosta przekazuje regionalnemu dyrektorowi ochrony
środowiska zgłoszone przez społeczeństwo uwagi i wnioski
oraz protokół z rozprawy, jeśli została przeprowadzona
Regionalny dyrektor ochrony środowiska analizuje zgromadzony
materiał i wydaje postanowienie w sprawie uzgodnienia warunków
realizacji przedsięwzięcia (45 dni)
(Na postanowienie nie przysługuje zażalenie)
Starosta analizuje zgromadzony materiał i wydaje decyzję o pozwoleniu
na budowę (Od decyzji można się odwołać)
Starosta podaje do publicznej wiadomości informację o wydaniu decyzji
i o możliwościach zapoznania się z jej treścią oraz z dokumentacją
sprawy