schemat procedury przeprowadzania oceny

Transkrypt

schemat procedury przeprowadzania oceny
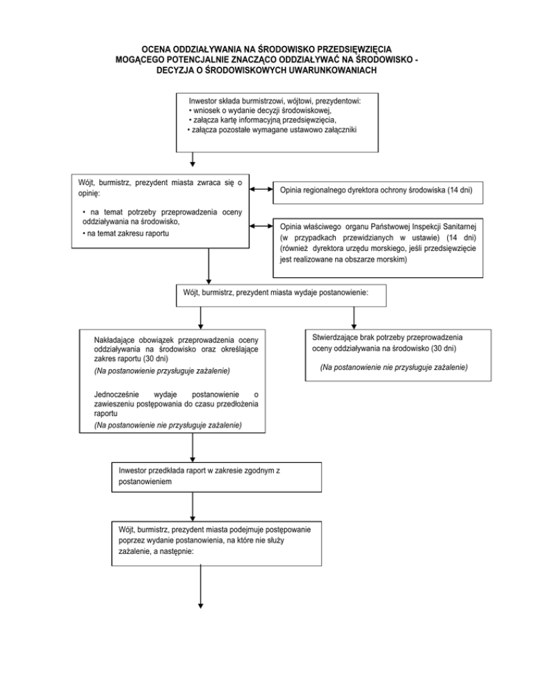
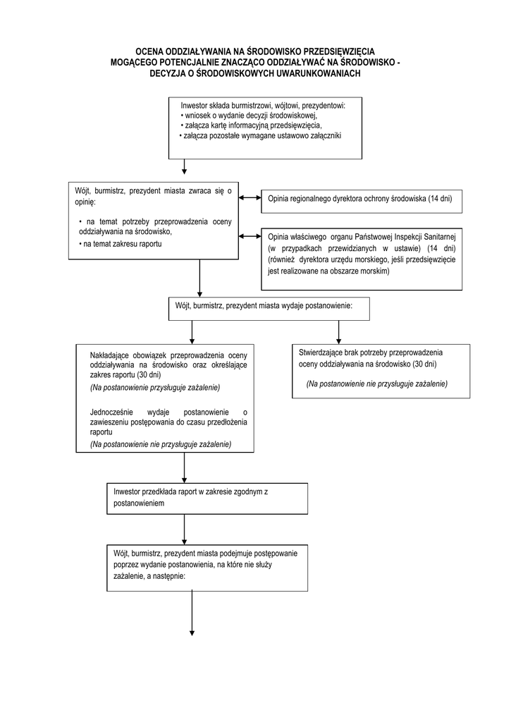
OCENA ODDZIAŁYWANIA NA ŚRODOWISKO PRZEDSIĘWZIĘCIA
MOGĄCEGO POTENCJALNIE ZNACZĄCO ODDZIAŁYWAĆ NA ŚRODOWISKO DECYZJA O ŚRODOWISKOWYCH UWARUNKOWANIACH
Inwestor składa burmistrzowi, wójtowi, prezydentowi:
• wniosek o wydanie decyzji środowiskowej,
• załącza kartę informacyjną przedsięwzięcia,
• załącza pozostałe wymagane ustawowo załączniki
Wójt, burmistrz, prezydent miasta zwraca się o
opinię:
• na temat potrzeby przeprowadzenia oceny
oddziaływania na środowisko,
• na temat zakresu raportu
Opinia regionalnego dyrektora ochrony środowiska (14 dni)
Opinia właściwego organu Państwowej Inspekcji Sanitarnej
(w przypadkach przewidzianych w ustawie) (14 dni)
(również dyrektora urzędu morskiego, jeśli przedsięwzięcie
jest realizowane na obszarze morskim)
Wójt, burmistrz, prezydent miasta wydaje postanowienie:
Nakładające obowiązek przeprowadzenia oceny
oddziaływania na środowisko oraz określające
zakres raportu (30 dni)
(Na postanowienie przysługuje zażalenie)
Jednocześnie
wydaje
postanowienie
o
zawieszeniu postępowania do czasu przedłożenia
raportu
(Na postanowienie nie przysługuje zażalenie)
Inwestor przedkłada raport w zakresie zgodnym z
postanowieniem
Wójt, burmistrz, prezydent miasta podejmuje postępowanie
poprzez wydanie postanowienia, na które nie służy
zażalenie, a następnie:
Stwierdzające brak potrzeby przeprowadzenia
oceny oddziaływania na środowisko (30 dni)
(Na postanowienie nie przysługuje zażalenie)
Przeprowadza
postępowanie z udziałem
społeczeństwa (21 dni),
może
przeprowadzić
rozprawę administracyjną
otwartą dla społeczeństwa
Występuje
o
uzgodnienie i opinię:
Uzgodnienie regionalnego dyrektora
ochrony środowiska (30 dni)
(Na postanowienie nie przysługuje
zażalenie) (również dyrektora urzędu
morskiego, jeśli przedsięwzięcie jest
realizowane na obszarze morskim)
Opinia właściwego inspektora sanitarnego
(30 dni) (w przypadkach określonych w
ustawie)(Na postanowienie nie przysługuje
zażalenie)
Wójt, burmistrz, prezydent miasta analizuje zgromadzony materiał i wydaje
decyzję o środowiskowych uwarunkowaniach, w której przedstawia m.in.
stanowisko na temat konieczności przeprowadzenia ponownej oceny
oddziaływania na środowisko (Od decyzji można się odwołać)
W przypadku gdy nie została przeprowadzona ocena oddziaływania na
środowisko wójt, burmistrz, prezydent miasta wydaje decyzję o środowiskowych
uwarunkowaniach, stwierdzając w niej brak potrzeby przeprowadzenia oceny
Wójt, burmistrz, prezydent miasta podaje do publicznej wiadomości informację o
wydaniu decyzji i o możliwościach zapoznania się z jej treścią oraz z
dokumentacją sprawy