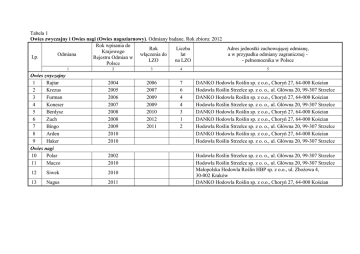
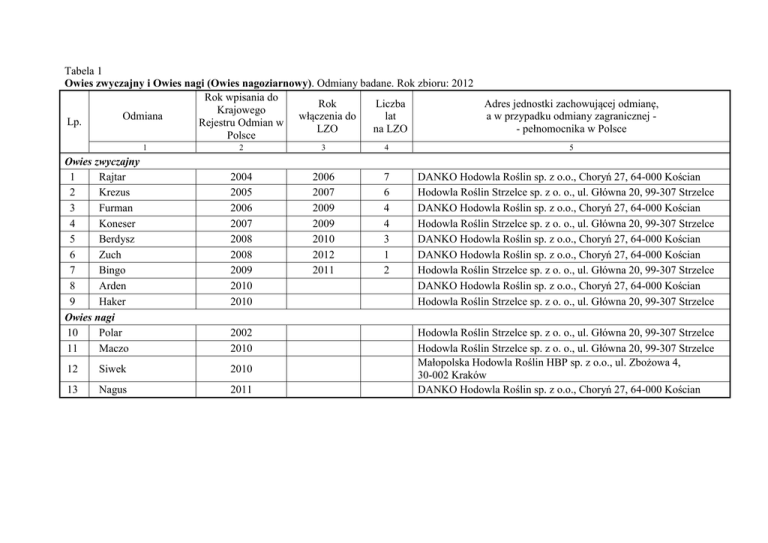
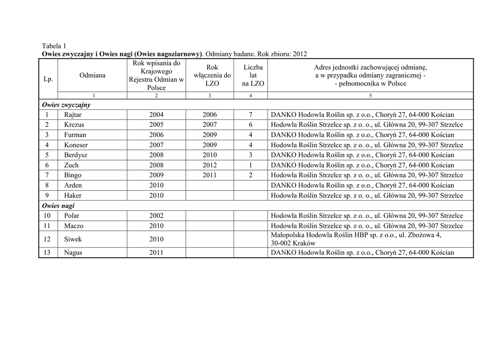
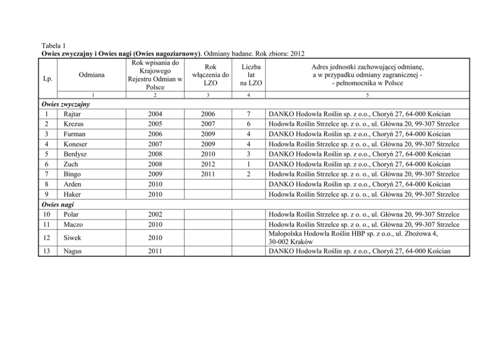
Tabela 1 Owies zwyczajny i Owies nagi (Owies

Transkrypt

Tabela 1 Owies zwyczajny i Owies nagi (Owies
Tabela 1
Owies zwyczajny i Owies nagi (Owies nagoziarnowy). Odmiany badane. Rok zbioru: 2012
Rok wpisania do
Rok
Liczba
Adres jednostki zachowującej odmianę,
Krajowego
Odmiana
włączenia
do
lat
a w przypadku odmiany zagranicznej Lp.
Rejestru Odmian w
LZO
na LZO
- pełnomocnika w Polsce
Polsce
1
Owies zwyczajny
1
Rajtar
2
Krezus
3
Furman
4
Koneser
5
Berdysz
6
Zuch
7
Bingo
8
Arden
9
Haker
Owies nagi
10
Polar
11
Maczo
2
3
4
2004
2005
2006
2007
2008
2008
2009
2010
2010
2006
2007
2009
2009
2010
2012
2011
7
6
4
4
3
1
2
2002
2010
12
Siwek
2010
13
Nagus
2011
5
DANKO Hodowla Roślin sp. z o.o., Choryń 27, 64-000 Kościan
Hodowla Roślin Strzelce sp. z o. o., ul. Główna 20, 99-307 Strzelce
DANKO Hodowla Roślin sp. z o.o., Choryń 27, 64-000 Kościan
Hodowla Roślin Strzelce sp. z o. o., ul. Główna 20, 99-307 Strzelce
DANKO Hodowla Roślin sp. z o.o., Choryń 27, 64-000 Kościan
DANKO Hodowla Roślin sp. z o.o., Choryń 27, 64-000 Kościan
Hodowla Roślin Strzelce sp. z o. o., ul. Główna 20, 99-307 Strzelce
DANKO Hodowla Roślin sp. z o.o., Choryń 27, 64-000 Kościan
Hodowla Roślin Strzelce sp. z o. o., ul. Główna 20, 99-307 Strzelce
Hodowla Roślin Strzelce sp. z o. o., ul. Główna 20, 99-307 Strzelce
Hodowla Roślin Strzelce sp. z o. o., ul. Główna 20, 99-307 Strzelce
Małopolska Hodowla Roślin HBP sp. z o.o., ul. Zbożowa 4,
30-002 Kraków
DANKO Hodowla Roślin sp. z o.o., Choryń 27, 64-000 Kościan
Tabela 2
Owies. Warunki polowe doświadczeń. Rok zbioru: 2012
Miejscowość
SDOO Przecław
ZDOO Dukla
Powiat
Mielec
Krosno
4
11
Klasa bonitacyjna gleby
III b
IV b
pH gleby w KCl
6,4
6,3
Pszenica ozima
Rzepak ozimy
21 III 2012
23 III 2012
550
550
24 VII 2012
09 VIII 2012
Kompleks rolniczej przydatności gleby
Przedplon
(dzień, m- rok)
Data siewu
(szt/m2)
Obsada nasion
(dzień, m-c, rok)
Data zbioru
Nawożenie mineralne
N
(kg/ha)
51
74
P2O5
(kg/ha)
70
60
K2O
Nawożenie dolistne preparatami
wieloskładnikami
Środki ochrony roślin
(kg/ha )
105
60
(l/ha)
-
-
Zaprawa nasienna
Vitavax 2000 FS – 300 ml/100kg
Herbicyd
(nazwa,dawka/ha)
Chwastox Trio 540 SL - 1,5 l
Oxafun T DS/WS 300g/100kg
Chwastox Trio 540 SL - 1,5 l
Gold 450 EC – 1,25 l
Insektycyd
(nazwa,dawka/ha)
Patriot 100 EC – 0,075 l
Fastac 100 EC – 0,1 l
- nie stosowano
(nazwa,dawka/100 kg)
Tabela 3
Owies. Wyniki ogólne doświadczeń. Rok zbioru: 2012
Lp.
Cecha
Przecław
Dukla
1
Termin wiechowania
(dzień, m-c)
11 VI 2012
17 VI 2012
2
Termin dojrzałości woskowej
(dzień, m-c)
20 VII 2012
28 VII 2012
3
Wysokość roślin
(cm)
104
109
4
Wyleganie roślin w fazie dojrzałości mlecznej
(skala 9o)
8,6
9,0
5
Wyleganie roślin przed zbiorem
(skala 9o)
7,5
7,7
6
Porażenie przez choroby: mączniakiem
(skala 9o)
7,3
9,0
7
-rdzą wieńcową
(skala 9o)
6,3
9,0
8
-helmintosporiozą
(skala 9o)
5,7
6,2
9
-rdzą źdźbłową
(skala 9o)
7,4
9,0
10
-choroby podstawy źdźbła
9,0
6,3
22,4
19,3
32,6
36,1
8,1
12,4
65,0
59,1
11
Udział łuski
12
Masa 1000 ziaren
13
Wilgotność ziarna podczas zbioru
14
Plon ziarna
(skala 9o)
(%)
(g)
(%)
(dt z ha)
Wyniki średnie z wszystkich badanych odmian
Skala 9o : 9 - oznacza stan najkorzystniejszy, 1 - oznacza stan najmniej korzystny
Tabela 4
Owies zwyczajny i Owies nagi. Plon ziarna odmian w miejscowościach (% wzorca).
Rok zbioru: 2012
Lp.
Odmiana
Wzorzec dt z ha
Przecław
Dukla
65,0
59,1
Owies zwyczajny
1
Rajtar
102
113
2
Krezus
108
109
3
Furman
119
105
4
Koneser
109
110
5
Berdysz
105
110
6
Zuch
108
113
7
Bingo
103
115
8
Arden
115
116
9
Haker
115
116
Owies nagi
10
Polar
71
63
11
Maczo
79
77
12
Siwek
85
82
13
Nagus
80
72
Wzorzec – wszystkie odmiany badane
Tabela 5
Owies zwyczajny Owies nagi. Plon ziarna odmian (% wzorca). Lata zbioru: 2012, 2011, 2010
Lp.
Odmiana
Wzorzec, dt z ha
1
2
3
4
5
6
7
8
9
10
11
12
13
Owies zwyczajny
Rajtar
Krezus
Furman
Koneser
Berdysz
Zuch
Bingo
Arden
Haker
Owies nagi
Polar
Maczo
Siwek
Nagus
Liczba doświadczeń
Wzorzec – wszystkie odmiany badane
2012
2011
2010
2011-2012
2010-2012
62,1
77,0
31,4
69,6
56,8
107
109
112
110
108
110
109
115
116
107
109
111
104
107
115
104
106
102
91
126
78
122
126
119
124
127
131
107
109
112
106
107
113
106
110
108
104
112
106
109
111
114
110
113
112
67
78
84
76
82
81
85
87
47
77
56
75
79
85
82
70
79
79
2
2
2
4
6
Tabela 6
Owies. Porażenie odmian przez ważniejsze choroby (odchylenia od wzorca). Lata zbioru: 2012, 2010- 2012
Liczba
Rdza wieńcowa
Helmintosporioza
Lp.
lat
Odmiana
badań
2012
2010-2012
2012
2010-2012
Wzorzec, (skala 9o)
1
2
3
4
5
6
7
8
9
10
11
12
13
Owies zwyczajny
Rajtar
Krezus
Furman
Koneser
Berdysz
Zuch
Bingo
Arden
Haker
Owies nagi
Polar
Maczo
Siwek
Nagus
Liczba doświadczeń
2012
Choroby
podstawy
2012
Rdza źdźbłowa
6,3
6,7
6,0
6,2
7,4
6,3
3
3
3
3
3
3
3
3
3
0,4
-0,9
0,5
0,7
-0,5
-1,3
-0,1
-0,1
-1,0
-0,4
0,2
-0,4
0,7
0,1
-0,3
0,4
0,5
0,1
1,3
0,9
0,5
1,2
-0,5
-0,5
-1,2
-0,7
-1,6
0,5
0,3
0,3
0,9
0,1
0,0
-0,2
-0,2
-0,4
-0,2
0,1
-0,2
-1,7
-0,2
-0,2
0,1
-0,5
0,9
-0,5
1,7
2,2
-0,5
-0,8
-0,1
-1,5
0,5
0,2
3
3
3
2
0,0
0,7
0,8
0,2
-1,1
0,8
-0,5
0,1
0,0
-0,3
0,0
-0,5
-0,3
-0,3
-0,6
-0,7
1,4
-0,5
-1,7
-0,5
2,2
-1,5
-0,5
-1,3
1
5
2
6
1
1
Wyniki pochodzą tylko z tych doświadczeń w których dana choroba wystąpiła; wyższa wartość oznacza ocenę korzystniejszą
Wzorzec – wszystkie odmiany badane
Tabela 7
Owies. Ważniejsze właściwości rolniczo-użytkowe odmian (odchylenia od wzorca). Lata zbioru: 2012, 2010- 2012
Lp.
Odmiana
Liczba
lat badań
Wzorzec
1
Owies zwyczajny
Rajtar
Wyleganie (skala 9°)
faza dojrzałości
przed zbiorem
mlecznej
2010 2010 2012
2012
2012
2012
Wysokość roślin
(cm)
Masa 1000 ziaren
(g)
Udział łuski
w ziarnie
(%)
2012
20102012
2012
2010 2012
2012
2010 2012
8,6
7,9
7,6
6,4
105
102
34,4
32,0
20,9
22,8
3
0,2
0,0
-0,2
-0,4
-2
-4
2,9
1,4
12,0
12,3
2
Krezus
3
-0,6
0,0
0,8
0,5
-3
-4
3,1
2,5
7,6
6,5
3
Furman
3
0,4
0,2
0,1
0,3
-1
1
2,4
1,0
13,3
12,9
4
Koneser
3
0,4
0,3
0,0
0,1
1
0
-2,3
-0,8
5,8
4,1
5
Berdysz
3
0,2
-0,2
-0,1
-0,4
2
2
-0,3
0,7
7,6
6,7
6
Zuch
3
0,2
0,0
0,4
0,1
3
5
1,1
1,8
6,0
3,9
7
Bingo
3
-0,1
-0,1
0,6
0,7
2
4
10,0
8,1
4,1
3,5
8
Arden
3
0,2
0,2
0,1
-0,1
4
3
1,6
1,3
6,7
5,1
9
Haker
3
0,4
-0,4
0,3
-0,5
5
4
2,2
1,5
6,0
3,8
Owies nagi
10
Polar
3
-0,4
0,2
0,9
1,1
3
0
-3,8
-4,0
-16,5
-18,0
11
Maczo
3
0,4
0,0
-1,5
-0,8
-2
-4
-5,5
-5,8
-16,4
-18,2
12
Siwek
3
-0,6
0,2
-0,2
0,4
0
-3
-7,7
-5,6
-17,8
-17,1
13
Nagus
2
-0,1
-0,3
-1,0
0,2
6
5
-3,9
-4,0
-18,5
-17,3
2
6
Liczba doświadczeń
1
4
2
6
2
6
2
6
Wyleganie: wyniki pochodzą tylko z tych doświadczeń w których miało ono miejsce; wyższa wartość oznacza ocenę korzystniejszą
Wzorzec – wszystkie odmianybadane.