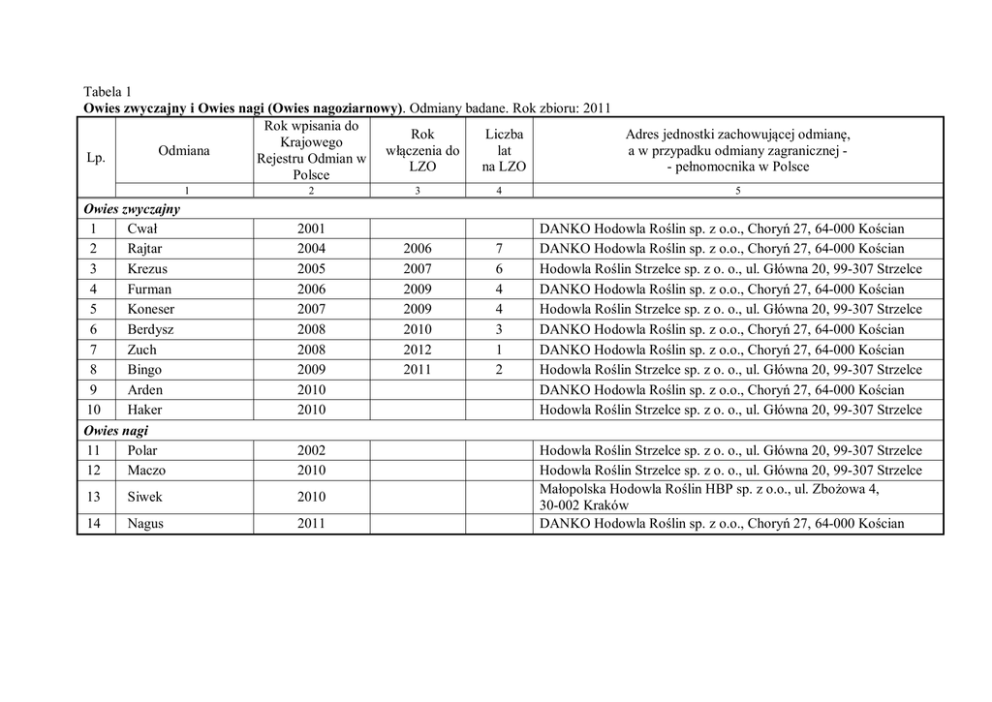
Tabela 1 Owies zwyczajny i Owies nagi (Owies

Transkrypt

Tabela 1 Owies zwyczajny i Owies nagi (Owies
Tabela 1
Owies zwyczajny i Owies nagi (Owies nagoziarnowy). Odmiany badane. Rok zbioru: 2011
Rok wpisania do
Rok
Liczba
Adres jednostki zachowującej odmianę,
Krajowego
Odmiana
włączenia
do
lat
a w przypadku odmiany zagranicznej Lp.
Rejestru Odmian w
LZO
na LZO
- pełnomocnika w Polsce
Polsce
1
Owies zwyczajny
1
Cwał
2
Rajtar
3
Krezus
4
Furman
5
Koneser
6
Berdysz
7
Zuch
8
Bingo
9
Arden
10
Haker
Owies nagi
11
Polar
12
Maczo
2
2001
2004
2005
2006
2007
2008
2008
2009
2010
2010
2002
2010
13
Siwek
2010
14
Nagus
2011
3
2006
2007
2009
2009
2010
2012
2011
4
7
6
4
4
3
1
2
5
DANKO Hodowla Roślin sp. z o.o., Choryń 27, 64-000 Kościan
DANKO Hodowla Roślin sp. z o.o., Choryń 27, 64-000 Kościan
Hodowla Roślin Strzelce sp. z o. o., ul. Główna 20, 99-307 Strzelce
DANKO Hodowla Roślin sp. z o.o., Choryń 27, 64-000 Kościan
Hodowla Roślin Strzelce sp. z o. o., ul. Główna 20, 99-307 Strzelce
DANKO Hodowla Roślin sp. z o.o., Choryń 27, 64-000 Kościan
DANKO Hodowla Roślin sp. z o.o., Choryń 27, 64-000 Kościan
Hodowla Roślin Strzelce sp. z o. o., ul. Główna 20, 99-307 Strzelce
DANKO Hodowla Roślin sp. z o.o., Choryń 27, 64-000 Kościan
Hodowla Roślin Strzelce sp. z o. o., ul. Główna 20, 99-307 Strzelce
Hodowla Roślin Strzelce sp. z o. o., ul. Główna 20, 99-307 Strzelce
Hodowla Roślin Strzelce sp. z o. o., ul. Główna 20, 99-307 Strzelce
Małopolska Hodowla Roślin HBP sp. z o.o., ul. Zbożowa 4,
30-002 Kraków
DANKO Hodowla Roślin sp. z o.o., Choryń 27, 64-000 Kościan
Tabela 2
Owies. Warunki polowe doświadczeń. Rok zbioru: 2011
Miejscowość
Powiat
Kompleks rolniczej przydatności gleby
SDOO Przecław
ZDOO Dukla
Mielec
4
Krosno
11
II
IV b
6,9
5,8
Gorczyca biała
Rzepak ozimy
24 III 2011
01 IV 2011
550
550
06 VIII 2011
13 VIII 2011
Klasa bonitacyjna gleby
PH gleby w KCl
Przedplon
Data siewu
Obsada nasion
Data zbioru
(dzień, m- rok)
(szt/m2)
(dzień, m-c, rok)
Nawożenie mineralne
N
(kg/ha)
51
56
P2O5
(kg/ha)
70
48
K2O
Nawożenie dolistne preparatami
wieloskładnikami
Środki ochrony roślin
(kg/ha )
105
48
(l/ha)
Plonovit Z – 1,0 l/ha
-
Zaprawa nasienna
(nazwa,dawka/ha)
Herbicyd
(nazwa,dawka/ha)
Insektycyd
(nazwa,dawka/ha)
- nie stosowano
Oxafun T 75 DS./WS - 300g/100kg
Chwastox Trio 540 SL - 1,5 l/ha
Starane Super 101 EC - 1,3 l/ha
Bi 58 nowy - 0,5 l/ha
Tarcza 060 FS - 50 ml/100kg
Granstar 75 W - 15 g/ha
+ Dicopur 464 SL - 0,5 l/ha
Patriot 100 EC - 0,07 l/ha
Karate Zeon 050 EC - 0,1 l/ha
Tabela 3
Owies. Wyniki ogólne doświadczeń. Rok zbioru: 2011
Lp.
Cecha
Przecław
Dukla
1
Termin wiechowania
(dzień, m-c)
09 VI 2011
11 VI 2011
2
Termin dojrzałości woskowej
(dzień, m-c)
28 VII 2011
30 VII 2011
3
Wysokość roślin
(cm)
110
105
4
Wyleganie roślin w fazie dojrzałości mlecznej
(skala 9o)
4,8
7,9
5
Wyleganie roślin przed zbiorem
(skala 9o)
3,8
4,1
6
Porażenie przez choroby: mączniakiem
(skala 9o)
6,7
9,0
7
-rdzą wieńcową
(skala 9o)
8,0
7,8
8
-helmintosporiozą
(skala 9o)
5,2
7,1
9
-rdzą źdźbłową
(skala 9o)
5,4
9,0
10
Udział łuski
(%)
17,4
20,5
11
Masa 1000 ziarn
(g)
33,8
30,8
12
Wilgotność ziarna podczas zbioru
(%)
7,7
12,7
13
Plon ziarna
77,5
76,5
(dt z ha)
Wyniki średnie z wszystkich badanych odmian
Skala 9o : 9 - oznacza stan najkorzystniejszy, 1 - oznacza stan najmniej korzystny
Tabela 5
Owies zwyczajny Owies nagi. Plon ziarna odmian (% wzorca). Lata zbioru: 2011, 2010, 2009
Lp.
Odmiana
Wzorzec, dt z ha
1
2
3
4
5
6
7
8
9
10
11
12
13
14
Owies zwyczajny
Cwał *
Rajtar
Krezus
Furman
Koneser
Berdysz
Zuch
Bingo
Arden
Haker
Owies nagi
Polar
Maczo
Siwek
Nagus
Liczba doświadczeń
Wzorzec – wszystkie odmiany badane
*-Odmiana Cwał badana tylko w SDOO Przecław
2011
2010
2009
2010-2011
2009-2011
77,0
31,4
66,6
54,2
58,3
98
107
109
111
104
107
115
104
106
102
95
91
126
78
122
126
119
124
127
131
98
98
103
99
100
105
102
110
98
102
114
102
109
113
117
110
112
110
98
101
110
101
105
110
111
110
82
81
85
87
47
77
56
2
2
72
80
77
3
4
7
Tabela 6
Owies. Porażenie odmian przez ważniejsze choroby (odchylenia od wzorca). Lata zbioru: 2011, 2009- 2011
Liczba
Rdza wieńcowa
Helmintosporioza
lat
Lp.
Odmiana
2011
2009-2011
2011
2009-2011
badań
Wzorzec, (skala 9o)
1
2
3
4
5
6
7
8
9
10
11
12
13
14
Owies zwyczajny
Cwał *
Rajtar
Krezus
Furman
Koneser
Berdysz
Zuch
Bingo
Arden
Haker
Owies nagi
Polar
Maczo
Siwek
Nagus
n
n
n
Liczba doświadczeń
Mączniak
2
0
1
Rdza źdźbłowa
1
2011
7,9
6,9
6,2
6,6
6,7
5,4
3
3
3
3
3
3
3
3
2
2
0,4
-0,9
0,6
-1,0
0,4
0,3
-0,5
0,5
0,6
0,6
-0,1
-0,5
0,5
-0,5
0,7
0,4
0,1
0,7
1,4
0,8
-0,3
0,0
1,0
1,0
-0,1
0,0
-0,4
-0,5
0,6
0,2
-0,3
0,1
0,4
0,0
0,2
0,4
0,6
-0,4
-0,2
0,8
0,1
-0,2
-0,5
0,1
-0,4
0,3
0,0
-0,6
0,1
0,2
-0,1
0,6
0,1
-0,5
0,4
0,5
2
2
2
1
-1,2
0,3
-0,1
-0,1
0,6
-0,2
-0,2
-07
0,4
-0,1
-0,3
0,7
1
1
2
0,5
-1,1
0,3
-0,8
6
2
7
Wyniki pochodzą tylko z tych doświadczeń w których dana choroba wystąpiła; wyższa wartość oznacza ocenę korzystniejszą
Wzorzec – wszystkie odmiany badane
*-Odmiana Cwał badana tylko w SDOO Przecław
Tabela 7
Owies. Ważniejsze właściwości rolniczo-użytkowe odmian (odchylenia od wzorca). Lata zbioru: 2011, 2009- 2011
Lp.
Odmiana
Liczba
lat badań
Wzorzec
1
Owies zwyczajny
Cwał *
Wyleganie (skala 9°)
faza dojrzałości
przed zbiorem
mlecznej
2009 2009 2011
2011
2011
2011
Wysokość roślin
(cm)
Masa 1000 ziaren
(g)
Udział łuski
w ziarnie
(%)
2011
20092011
2011
2009 2011
2011
2009 2011
6,4
7,9
4,0
6,5
108
103
31,9
32,1
19,0
23,9
3
-2,6
-0,8
-0,7
-0,5
2
6
0,0
-0,2
6,8
4,3
2
Rajtar
3
-0,1
0,0
-0,8
-0,3
-3
-3
0,0
0,1
11,3
10,1
3
Krezus
3
0,5
0,3
0,3
0,2
-5
-4
2,0
1,2
5,8
4,2
4
Furman
3
0,4
-0,1
1,9
0,6
6
1
0,9
0,3
14,3
9,1
5
Koneser
3
0,5
0,3
-0,4
0,1
-5
0
-1,0
-1,6
5,9
0,5
6
Berdysz
3
-0,5
-0,6
-0,8
-0,6
2
2
2,9
0,6
6,4
4,7
7
Zuch
3
-0,1
0,1
-0,7
0,0
3
4
1,8
1,3
4,7
1,5
8
Bingo
3
-0,1
-0,2
1,3
0,5
2
5
10,9
6,3
2,8
0,5
9
Arden
2
0,2
-1,0
2
1,1
6,9
10
Haker
2
-1,4
-1,9
1
-1,4
4,4
Owies nagi
11
Polar
2
1,0
2,2
-1
-2,2
-17,3
12
Maczo
2
-0,5
-1,1
-4
-5,8
-16.6
13
Siwek
2
1,0
1,6
-6
-4,2
-15,1
14
Nagus
1
-0,4
1,3
4
-4,1
-16,1
Liczba doświadczeń
2
4
2
7
2
7
2
7
Wyleganie: wyniki pochodzą tylko z tych doświadczeń w których miało ono miejsce; wyższa wartość oznacza ocenę korzystniejszą
Wzorzec – wszystkie odmiany badane * - Odmiana Cwał badana tylko w SDOO Przecław
2
7