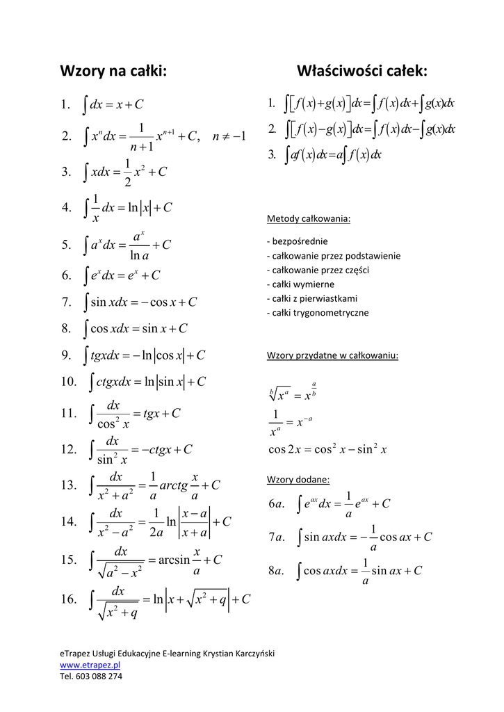
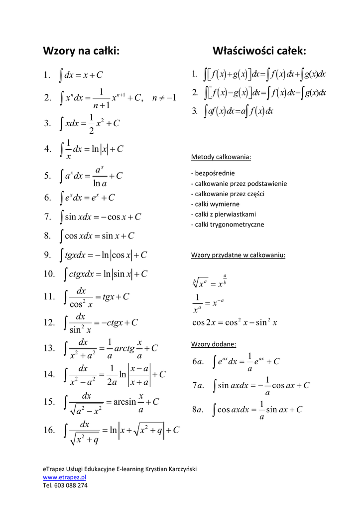
Wzory na całki

Transkrypt

Wzory na całki
Wzory na całki:
1.
∫ dx = x + C
2.
∫ x dx = n + 1 x
1
n
Właściwości całek:
1.
n +1
+ C , n ≠ −1
1
3. ∫ xdx = x 2 + C
2
1
4. ∫ dx = ln x + C
x
ax
x
+C
5. ∫ a dx =
ln a
6.
7.
8.
9.
10.
11.
12.
13.
14.
15.
16.
x
x
e
dx
e
=
+C
∫
∫ sin xdx = − cos x + C
∫ cos xdx = sin x + C
∫ tgxdx = − ln cos x + C
∫ ctgxdx = ln sin x + C
dx
∫ cos 2 x = tgx + C
dx
∫ sin 2 x = −ctgx + C
1
dx
x
=
+C
arctg
2
2
∫ x +a a
a
1
dx
x−a
ln
=
∫ x 2 − a 2 2a x + a + C
dx
x
arcsin
=
+C
∫ a2 − x2
a
∫
dx
x2 + q
2.
3.
∫  f ( x) + g( x) dx = ∫ f ( x) dx + ∫ g(x)dx
∫  f ( x) − g( x) dx = ∫ f ( x) dx −∫ g(x)dx
∫af ( x) dx = a∫ f ( x) dx
Metody całkowania:
- bezpośrednie
- całkowanie przez podstawienie
- całkowanie przez części
- całki wymierne
- całki z pierwiastkami
- całki trygonometryczne
Wzory przydatne w całkowaniu:
a
b
x =x
1
= x−a
a
x
cos 2 x = cos 2 x − sin 2 x
b
a
Wzory dodane:
1 ax
e +C
a
1
7 a. ∫ sin axdx = − cos ax + C
a
1
8 a. ∫ cos axdx = sin ax + C
a
6 a.
= ln x + x 2 + q + C
eTrapez Usługi Edukacyjne E-learning Krystian Karczyński
www.etrapez.pl
Tel. 603 088 274
ax
∫ e dx =