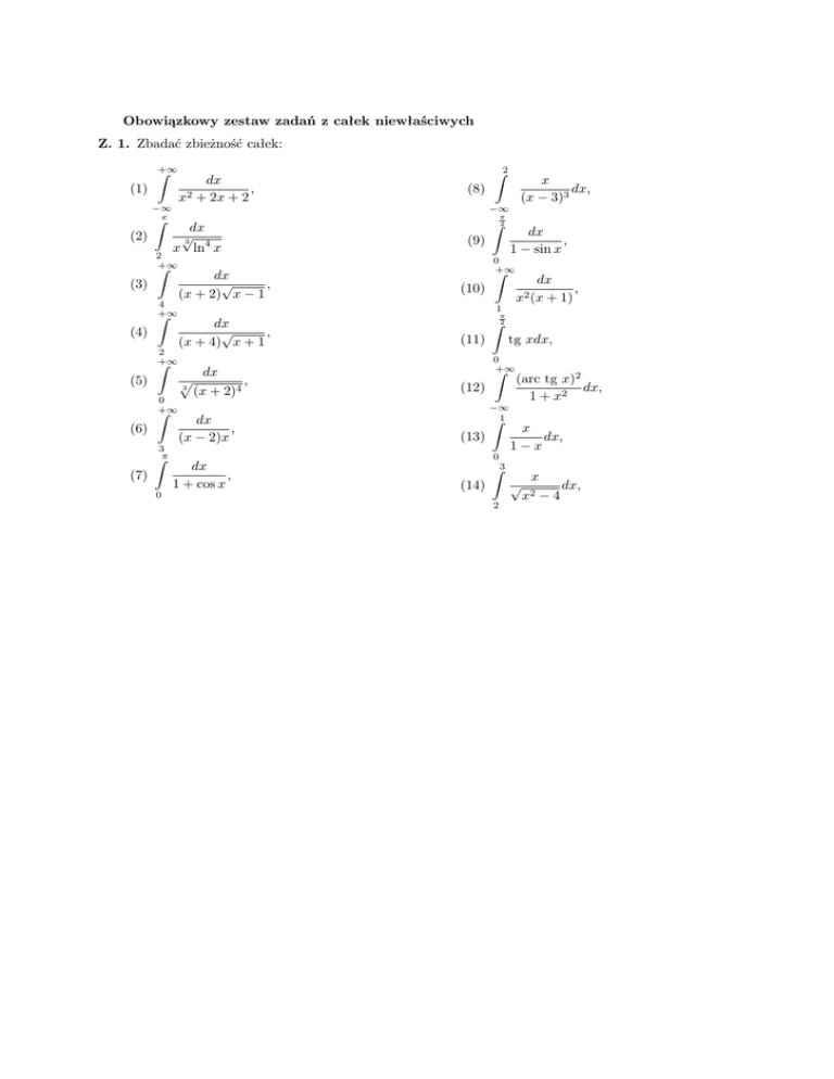
Obowiązkowy zestaw zadań z całek niewłaściwych Z. 1. Zbadać

Transkrypt

Obowiązkowy zestaw zadań z całek niewłaściwych Z. 1. Zbadać
Obowiązkowy zestaw zadań z całek niewłaściwych
Z. 1. Zbadać zbieżność całek:
+∞
Z
(1)
−∞
Ze
(2)
dx
,
2
x + 2x + 2
Z2
−∞
π
Z2
dx
√
3
x ln4 x
2
+∞
Z
(3)
(4)
dx
√
,
(x + 2) x − 1
0
+∞
Z
(10)
dx
p
3
0
+∞
Z
(x +
2)4
dx
,
(x − 2)x
,
π
Z2
tg xdx,
(11)
0
+∞
Z
(12)
−∞
Z1
(13)
3
Zπ
(7)
dx
,
x2 (x + 1)
1
dx
√
,
(x + 4) x + 1
2
+∞
Z
(5)
dx
,
1 − sin x
(9)
4
+∞
Z
(6)
x
dx,
(x − 3)3
(8)
(arc tg x)2
dx,
1 + x2
x
dx,
1−x
0
dx
,
1 + cos x
Z3
(14)
0
2
√
x
x2
−4
dx,