MATEMATYKA I STATYSTYKA DLA PRZYRODNIKÓW

Transkrypt

MATEMATYKA I STATYSTYKA DLA PRZYRODNIKÓW
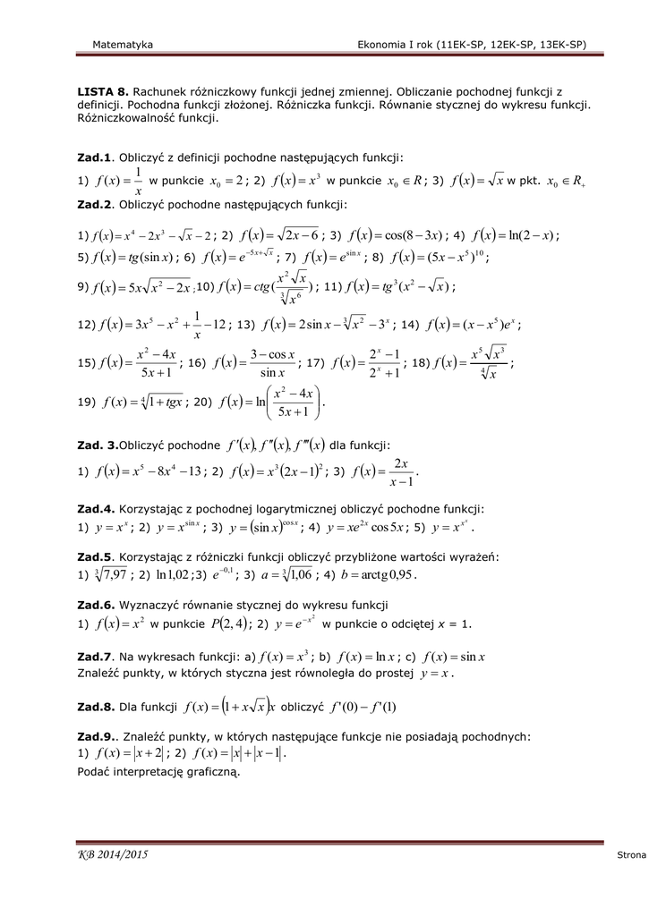
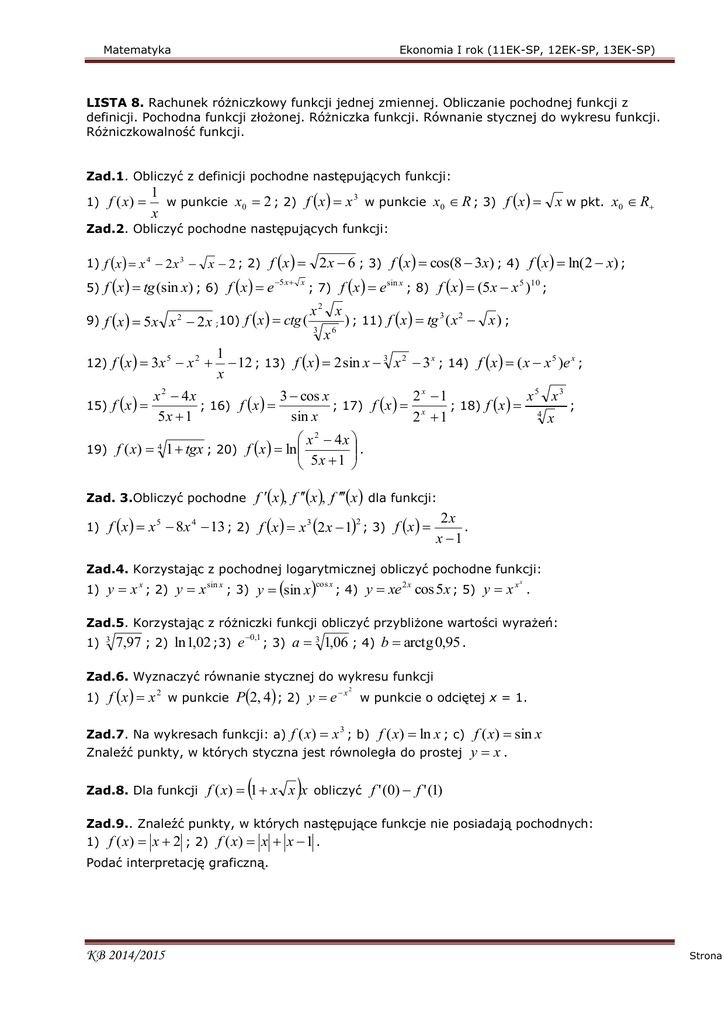
Matematyka
Ekonomia I rok (11EK-SP, 12EK-SP, 13EK-SP)
LISTA 8. Rachunek różniczkowy funkcji jednej zmiennej. Obliczanie pochodnej funkcji z
definicji. Pochodna funkcji złożonej. Różniczka funkcji. Równanie stycznej do wykresu funkcji.
Różniczkowalność funkcji.
Zad.1. Obliczyć z definicji pochodne następujących funkcji:
f ( x) 
1)
1
3
w punkcie x0  2 ; 2) f  x   x w punkcie x0  R ; 3) f  x   x w pkt. x0  R
x
Zad.2. Obliczyć pochodne następujących funkcji:
1) f x   x 4  2 x 3 
2 x  6 ; 3) f x   cos(8  3x) ; 4) f x   ln(2  x) ;
x  2 ; 2) f x  
5)
f x   tg (sin x) ; 6) f x   e 5 x  x ; 7) f x   e sin x ; 8) f x   (5x  x 5 )10 ;
9)
f x   5 x x
2
 2 x ;10)
f x   ctg (
x2 x
3
x
6
) ; 11) f x   tg 3 ( x 2  x ) ;
1
 12 ; 13) f x   2 sin x  3 x 2  3 x ; 14) f x   ( x  x 5 )e x ;
x
x 2  4x
2x 1
3  cos x
x5 x3
15) f  x  
; 16) f x  
; 17) f  x   x
; 18) f  x  
;
4
5x  1
sin x
2 1
x
f x   3x 5  x 2 
12)
 x 2  4x 
 .
f ( x)  4 1  tgx ; 20) f x   ln 
 5x  1 
19)
f x , f x , f x  dla funkcji:
Zad. 3.Obliczyć pochodne
1)
f x   x 5  8x 4  13 ; 2) f x   x 3 2 x  1 ; 3) f x  
2
2x
.
x 1
Zad.4. Korzystając z pochodnej logarytmicznej obliczyć pochodne funkcji:
1)
y  x x ; 2) y  x sin x ; 3) y  sin x 
cos x
; 4)
x
y  xe 2 x cos 5x ; 5) y  x x .
Zad.5. Korzystając z różniczki funkcji obliczyć przybliżone wartości wyrażeń:
1)
3
7,97 ; 2) ln 1,02 ;3) e 0,1 ; 3) a  3 1,06 ; 4) b  arctg 0,95 .
Zad.6. Wyznaczyć równanie stycznej do wykresu funkcji
1)
f x   x 2 w punkcie P2, 4 ; 2) y  e  x w punkcie o odciętej x = 1.
2
f ( x)  x 3 ; b) f ( x)  ln x ; c) f ( x)  sin x
Znaleźć punkty, w których styczna jest równoległa do prostej y  x .
Zad.7. Na wykresach funkcji: a)
Zad.8. Dla funkcji


f ( x)  1  x x x obliczyć f ' (0)  f ' (1)
Zad.9.. Znaleźć punkty, w których następujące funkcje nie posiadają pochodnych:
1)
f ( x)  x  2 ; 2) f ( x)  x  x  1 .
Podać interpretację graficzną.
KB 2014/2015
Strona

Podobne dokumenty