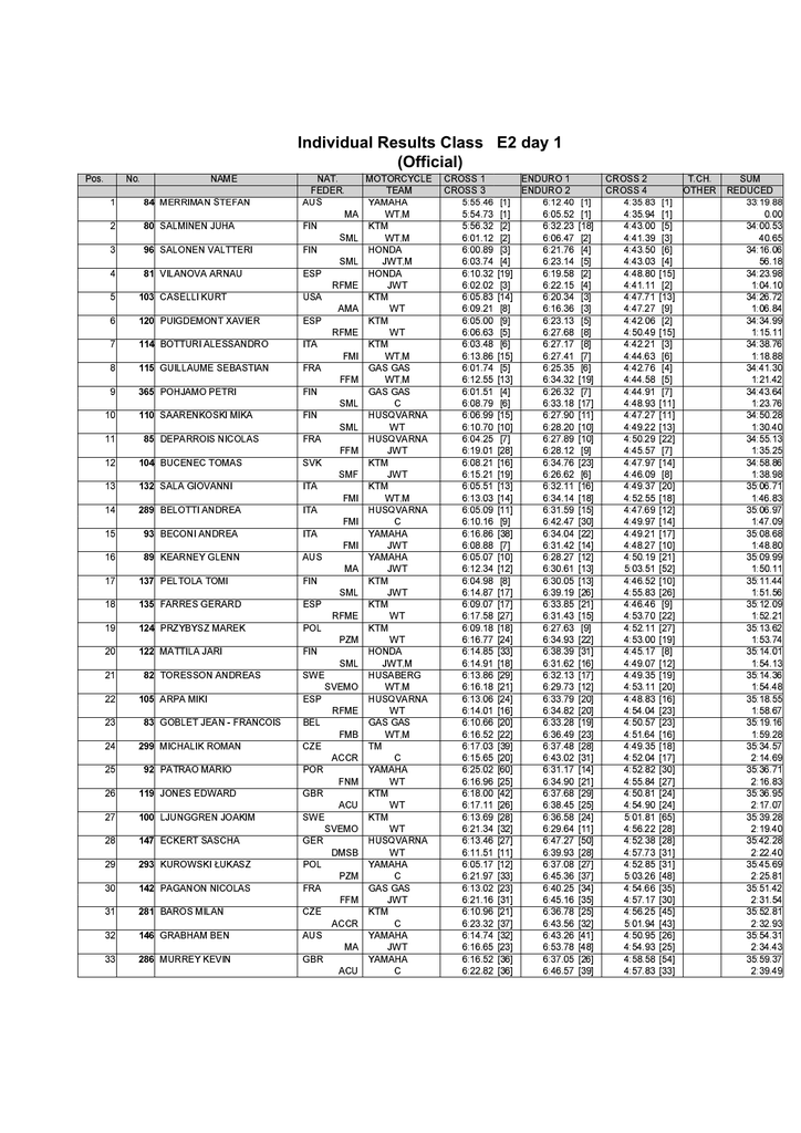
Individual Results Class E2 day 1 (Official)

Transkrypt

Individual Results Class E2 day 1 (Official)
c
­
Ã
í
,QGLYLGXDO5HVXOWV&ODVV(GD\
2IILFLDO
"!#
$%&(''*)
+,-./1032
dfe gihjjk gl(monphqrl"m
CA BDBFEG
l"s1n
¯° ±C²(³¤´iµ ¶·¶Q¸¹º²
»Cµ ¶
ÑÒ ÓCÔ(Õ¤Öר×ÚÙÔ"ÕrÛuÛØÜÝ
ÞCÝ ×
ó
ô õ(ö ÷ùø(úû1õøQø(üúø(ý
þÿ
$%& '#(*)+-,,./-0132
04)(
6
HIJ K-LM NPOQDRTSPU3VXWY-Z[M Q3\
QD]K
n
pp
q r#s*tt-uvwyx[z{#|-|x[}~vs
w tx
‡
‘‘’ “P”• ––˜—[”4™lšœ›š3—*›#ž-• —[Ÿ
¡—
±
³´’ µ#¶P·-¸˜—*™P¶¹µ-šž-¡•
• Ÿ
‘‘¼ ›—-—½¡š-Ÿ¾#¶[›¾3•™º• ¾—
• Ÿ
¦
¥
ÍÍ
ÙÚ ÛÜ-ÝÄ[ÅÅÞPß ÁàÆß áÞPÖ@Ä*Á
âÅÄ
ÍGÐ
äåæ ç-À4á½Ü3ÆÜ#áèØ#Þ[Õ*Ä*Á
ÁÃ[é
Í
Ó
äêë ÁÄ[֘ÄíìPß ÞÃ-Ä[ÆÆß
ß ØÄ
Í@Ò
ëÙï ç-Ü-ÖÞ*ØØ-ߘĽÆÛÅÜÄ
ß ØÄ
Í
Î
ïê ç-Ü#áÞPÆß˜Ä½ÆÛÅÜÄ
ß ØÄ
ÍGÇ
Ùï é-ÜĽůÜðàìPÖÜ-ÆÆ
ĽÀÁ
ÍGÑ
ñòó ô-õ-ö
÷#øPö@ùú÷#ø[ûºü
ýü þ
ñò
ýù õ "! õ#Dù$&%
õ ô
ñ'( )#*,+-&.-0/1+3254$*&6#7
)98;:
F?
MN
N
RO S
FB
F
F
FH
z
z€
2&4 <<0O :P4LQP4* O
X
N <18;*&69/#/#8;S34$S&U *&645/
M_
` 4* )4a2VO 7#O
X
d
ef;g#h
ij3k
ilm"n1op9lm0q f;r s
…†
† ‚Vr q$‡lh
r ˆ"p[f‚&lm
†
…
Šl j#pl5f‹‚5l$p&r f
/9KY6
69/[)
g,i#h
q0‰,i
Š9f;p
z
t
† kf;m i1sŽi#,ƒlp 
e;g,p
z

’
’
hk
‘&m0ee;p i#mkf[l$ˆ#r ‚
s9ƒYi
z}
”•
i1q5ˆ#i#p,j–sl5s#q5‡9l
e;i,p
z~
…†
˜
™#š ›[œ5až[™#Ÿ š&™¡&ž1¢
£9œ;¤
²
ª
·¸¹
£¡5º[¡$»[œ;»¼»&Ÿ ¶ œ;¤¡&ž
½›¡
²­
¹À· Á¡›0œž"¦VŸ ¤¡»
¶0¢,Â
²°
·¸Ã º;›¡Á#§¡5¦ÄÁ#Â,»
¡$š[ž
²
²
¹À
à ¦Vš&› ›&Â¥L™#Âş »
º;Á,›
›œ
Ë ¾iÌ
ÓïiÕ
üþ
(5*(
\kRlQ
€lw
H BJIK
tulgl"vl
*žŸ ¼u½¾
Í*½Î ¾
ßÖ×àuÔ
ð˜ñ*Ûò ï
û
ú uø
/2#5
^V#R
t#€
"!
E"2
m"V
Ž"t- €
“—*›¢“—›
™
¯"ž-° ™
“—*›¢“—›
›-™º–
»
¿ÀÁ3ÂÃ-Ä[ÅÆDÄ
Á-ÕºÖ
×"Ø
¿ÀÁ3ÂÃ-Ä[ÅÆDÄ
ââÕ
ã
×"Ø
éØ#Õ
Á-Õlâ
ã
×"Ø
éØ#Õ
âÕlß
×"Ø-î Õ
¿ÀÁ3ÂÃ-Ä[ÅÆDÄ
â Õlß
á
ðÄ*Õ*Ľ¿DÄ
â Õlß
ã
×"Ø
ðÄ*Õ*Ľ¿DÄ
Õ*Ä
ã
×"Ø
ÿ÷#û
ûºö
"÷
ÿ÷#û
ýûlõ
"÷
)+92
/#2V:
/]$612^8
* R2c6
o‚cg
l&q&q5p
om0‚
l5q5‘
s“$i1‚^f
[‚;s[g
£¢9¦
½½¦
¡&¶&¶5›
¦5¡
¡5¶5š
7<12
KL<
T08;S&U4
QKL<#W 2
T Z[/4.#6#*0\
KL<#W 2
T Z[/,b[]#4* S94
KL<
e[l5s"e[l&s
ƒLj#„ ‚
j1‚
q
Œl5‚5l$‡9l
ƒLj
ˆj1‚
ƒLj
ˆj1‚
ƒLj
‡ ‘[s,—[“#lp m9l
ƒLj
¥¡5¦5¡$§9¡
¶
º[¡5ž"º[¡&ž
¾L¿
™¿1¦
¶
¥¡5¦5¡$§9¡
¾L¿
¥¡5¦5¡$§9¡
¶
LMN(OOQP
w
x ww
y z|{
¡
¢ ¡¤£u¥ ¦|§
¿
À ¿fÁCÂ ÃfÄ
ÁCÀ ÊCÇf DžÄ
áCâ ãã
ä åæ
áCâ ãè
ä ìfí
67 89: ;<
67 8F: B>
_` abc aa
_` a_c _h
‚ ƒ„… †‡
‚ Œ
„… ‡
£¤ ¥¦§ ¨©
£¤ ¦G­§ ««
£¤ ¥¦§ «¦
£¤ ¥²§ ¨±
ÇÈ ÉÇÊ ËË
ÇÈ Í
ÉÊ ÑÉ
ÇÈ ÉÒÊ ÐÎ
ÇÈ Í
ËÊ ÉÍ
ÇÈ ÉÔÊ ÐÍ
ÇÈ Í
ÎÊ ÐÍ
ÇÈ ÉÎÊ ÎÍ
ÇÈ Í
ÓÊ ÉÓ
ÇÈ ÉÎÊ ÉË
ÇÈ Í
ÉÊ ÍGÇ
ÇÈ ÍGÇÊ ÔÇ
ÇÈ ÉÔÊ ÔÔ
ÇÈ ÉÎÊ ÉÑ
ÇÈ ÍGÐÊ ÓÒ
=> ?
@A BC
=> B=A G
G
=> BIA C
J
=> BIA @B
=> BHA C=
=> B=A BC
=> BHA ?=
=> BIA ?B
tu vwx t
t
tu vtx €z
tu vx w
|
tu v€x t€
tu z€x wz
tu vtx ~t
tu v}x w
w
tu vx v
v
tu v|x t~
tu zvx |
tu v|x t
tu v
vx €v
¨© ª
«¬ ­®
¨© °­¬ µ®
¨© ­²¬ ª°
¨© °­¬ ­¨
¨© ­ª¬ µ¨
¨© °²¬ ²°
¨© ­´¬ ®´
¨© ­¨¬ ¨«
¨© ­¨¬ «°
¨© °
°¬ ³°
} ~€
¨ ©€ª
Å ÄfÆ
Å ÄfÆ
ç è¤é
ç íé
RSTUM1NWV
C‚ ƒ…„C† ‡Jˆ ‰ ƒ…Š
«C¢ ¬¡
¥ ¡f­ ¨ ©…ª
ÁCÀ ÃfÄC Ä|à ŠǘÈfÆ
ÁCÀ ÊfÁCÂ É|Ï Å ÄÆ
áCâ êuëfä ìá ç í|é
áCâ ê|è
ä ë€í ç îfé
D BCE
D FIE
D H
HE
D BCE
D F@E
D FBE
D FIE
D B=
E
y zw{
y z
z
{
y |
~{
y zw{
y tw{
y z€{
y z
{
y z
t
{
y z}{
y |z
{
y z

{
y v
v{
¯ ­°
±
¯ ²
²±
¯ °²±
¯ ²­±
¯ °­±
¯ ²®
±
¯ ²°
±
¯ °²±
¯ ²¨
±
¯ ²¨
±
=> F
GA =H
=> HIA @
H
=> H
CA H
@
=> HBA =
F
=> HFA BH
=> F@A GH
=> H
HA G@
=> HIA CF
tu |
|x z}
tu |tx ~
tu |x }
tu |x wz
tu |vx v
tu |x ~
w
tu |x t}
tu |
}x €
tu |tx €
}
tu z~x t
tu x z

tu |
~x ~
|
¨© ²®¬ ª
³
¨© ´«¬ ²¨
¨© ´ª¬ °«
¨© ´«¬ ­¨
¨© ²¨¬ ®³
¨© ´²¬ «¨
¨© ´²¬ °
¨
¨© «
²¬ ®³
¨© ²®¬ ª
«
¨© ´¨¬ «®
= >@?A
= ;A
d ef
d bf
ˆ ‰
ˆ Œ
‰
ª «¬
ª ¦
®¬
ª ©¬
ª £¬
Ì Í
ÎÏ
Ì Í
ÉÏ
Ì ÑÏ
Ì ÐÔÏ
Ì ÍGÇÏ
Ì Í
ËÏ
Ì Í
ÓÏ
Ì Í@ÒÏ
Ì ÍÍGÏ
Ì ËÏ
Ì ÓÔÏ
Ì ÑÏ
Ì Í
ÉÏ
Ì ÍGÐÏ
67 B8: <?
67 >G6: <6
_` ghc i
h
_` gnc _o
‚ Š‹… ŒG‹
‚ Š‹… †DŒ
£¤ ­«§ ®«
£¤ ®©§ ®­
£¤ ­£§ ®­
£¤ ®®§ ¦
²
ÇÈ ÐÑÊ ËÉ
ÇÈ ÐÔÊ ÐÉ
ÇÈ ÐÑÊ ÔË
ÇÈ ÐÔÊ ÍGÐ
ÇÈ ÓÒÊ ÑÇ
ÇÈ ÐÇÊ ÇÐ
ÇÈ ÓÐÊ ÍÍ
ÇÈ ÓÒÊ Í@Ò
ÇÈ ÓÍÊ ÎË
ÇÈ ÒÐÊ ÒÑ
ÇÈ ÓÒÊ ÉÒ
ÇÈ ÓÍÊ ÒÐ
ÇÈ ÐÔÊ ÐÑ
ÇÈ ÓÉÊ ÇÍ
= <A
= <A
d bf
d of
ˆ ‡‰
ˆ ‹‰
ª £¬
ª ¦
±¬
ª ¨¬
ª ¦G¨¬
Ì ÍÍGÏ
Ì Í
ÉÏ
Ì Í
ÉÏ
Ì ËÏ
Ì ÐÓÏ
Ì ÇÏ
Ì ÍGÇÏ
Ì Í
ÔÏ
Ì Í
ÎÏ
Ì ÓÉÏ
Ì ÐÐÏ
Ì Í@ÒÏ
Ì ÍGÐÏ
Ì Í
ÓÏ
D @E
D F
F
E
D HBE
D B=
E
D BG
E
D BF
E
D F?E
D F?E
y v~{
y z|{
y z}{
y |v{
y v{
y zv{
y z~{
y z€{
y z{
y v
v{
y €
w{
y z}{
¯ °
®
±
¯ ²®
±
¯ ²´±
¯ ²
«±
¯ °«±
¯ ²°
±
¯ ´9­±
¯ ´³±
¯ °
¨
±
¯ ²
µ±
4516(7798
XY1Z([[]\
‹CŒ |ŽJ |
£C¢ §|¡J¥ ®f£
ÉCÀ É
ÃJÂ Ê|Ê
ÉCÀ ÉǤ Ã|Ð
íCâ í
èJä î|ã
íCâ í
èJä ã|è
# ?7 ?C: CD>
?7 ?C: BC
j` jgc a_
j` bac je
†‚ †Š… ŠDŒ
†‚ ††… „
©¤ ©­§ ¨£
©¤ ©©§ «²
©¤ ©©§ ±¦
©¤ ©²§ ±®
ÒÈ ÒÑÊ ÐÑ
ÒÈ ÒËÊ ÐÐ
ÒÈ ÎÉÊ ÐË
ÒÈ ÒÎÊ ÎÑ
ÒÈ ÒÑÊ ËÑ
ÒÈ ÒÇÊ ÉË
ÒÈ ÒËÊ ÓÑ
ÒÈ ÎÐÊ ÎÎ
ÒÈ ÒÑÊ ÇË
ÒÈ ÒËÊ ËÑ
ÒÈ ÒËÊ ÐDÍ
ÒÈ ÒÔÊ ÐÑ
ÒÈ ÎÉÊ ÍË
ÎÈ ÉÓÊ ÎÍ
I> J
FA BB
I> JHA ??
I> IJA BG
I> I@A ?
G
I> I@A HJ
I> JHA BB
I> ICA CH
I> JIA ?I
u €wx €

u €vx t

u ~x |€
u €
zx w
u €
zx }
z
u €€x }
u €wx }v
u €x ~w
€u wvx }v
u €
tx zz
u €
zx |}
u €
x |
´© «
°¬ ³«
«© ª²¬ °¨
´© «´¬ ¨¨
´© «
®¬ ­®
´© «
¨¬ °«
«© ª­¬ µ´
´© «ª¬ µ«
´© «´¬ µ²
´© «³¬ «³
´© «
®¬ ³²
‘ ’€“
¨ ©€ª
Å ¿¤Æ
ŠäÆ
ç áfé
ç íé
= ><A
= FA
d gf
d ibf
ˆ „‰
ˆ ‰
ª ©¬
ª «¬
ª ¨¬
ª ¦¦@¬
Ì ÍÍ@Ï
Ì ÍÓÏ
Ì ÐÐÏ
Ì ÑÏ
Ì ÍGÒÏ
Ì ÔÏ
Ì ÐÉÏ
Ì ÍÔÏ
Ì Í
ÐÏ
Ì ÍGÒÏ
Ì Í
ÑÏ
Ì ÍÉÏ
Ì ÐDÍ@Ï
Ì ÎÐÏ
D FGE
D B@E
D CE
D BFE
D B@E
D F?E
D B=E
D FHE
y z|{
y vt{
y v}{
y v{
y |w{
y z{
y z

{
y z

{
y t€{
y z}{
y z}{
y |v{
¯ ²­±
¯ ´³±
¯ ²«±
¯ ²ª±
¯ ´«±
¯ ´²±
¯ °¨±
¯ °«±
¯ «´
±
¯ ²²±
:; <=;
Z^_`FY
>?1@
Y`ab1X`a
””
• –˜—
™ šš
¬
¥ ¬¬
äÉuÀ ÊÊ
 ¿Ã
ÉJÊ
 Á|¿
è¤íuâ ë…áCä ãfá
îfáCä ë˜å
<?7 B6: CB
>7 86: ;?
hj` hjc ee
i` i
bc ii
„†‚ „‡… ‹
Œ‚ Œ
‡… ‡‡
®©¤ ©D¦§ ®¥
¦¤ ­¦§ ©­
®©¤ ©®§ £©
¦¤ ­®§ ¨£
ÓÒÈ ÎÉÊ ÐÔ
ÍÈ ÓÉÊ ÒÉ
ÓÒÈ ÎÎÊ Í
Ó
ÍÈ ÓÎÊ ÐÎ
ÓÒÈ ÎÔÊ ÔÇ
ÍÈ ÓÔÊ ËÔ
ÓÎÈ ÉÇÊ ÑÍ
ÍÈ ÒÇÊ ÔÓ
ÓÎÈ ÉÇÊ ËÑ
ÍÈ ÒÑÊ ÉË
ÓÎÈ ÉÔÊ ÇÔ
ÍÈ ÒÔÊ ÔÉ
ÓÎÈ ÉËÊ ËË
ÍÈ ÎÉÊ ÍÍ
H
J> BHA =
F
B> J
HA GI
H
J> BIA ?B
B> JIA BH
H
J> BIA H=
B> JIA IC
H
J> BCA J
J
B> J
CA =
G
|
€u v~x vt
vu €
~x z}
|
€u |x €
zu vx t~
|
€u |tx v
zu vtx }
|
|
€u |tx ~
€
zu vx w
|
€u |
~x z}
zu v~x w
|
€u zx z}
zu z
zx w
²
«© ´«¬ ¨µ
°© °«¬ ³­
²
«© «­¬ ´°
°© ²­¬ «´
²
«© «°¬ ³­
°© ²°¬ µ
²
²
«© «´¬ ²­
°© ²´¬ ´²
²
«© «
µ¬ ²®
°© ²
µ¬ ´µ
ÆÇ
ÈÈ
É
Ê#Ë#Ì ÍÎÌ&Ï ÐÑÎ5Ò;ÓÒ
!
&
'(' )+*-,.,./001)
2 34365
798:
VQ
^_`
m6oqp
€
†‡
ˆ ‰Š-‹=Œ6PŽŒ-Mn‘
’9“n”
¢
ž
¨©
© ¥-ª—«”n¬P•g¦.­ ®–¯4°”g¦
®?±²”
a4b
c d-egfihjc k=l?m-enb
Ô ÕÖ
¢
£
¶
· ¸¹4º.»¼i½9¹4¾g»g½n¿
À4ÁnÂ
ÊÔ
ÚÛ
Ü Ý-Þ ßgß9àgáiâjÞ ã6ä.àgå
æ.àgç
>>
>
>>I
N
OP
P
P
g+h
h
v
w
~

Ÿ ¡
~¦0Ÿ
¦©
ª
~

~~
¡
Ÿ ~
Ÿ 
~¡
ª
~¦
~
~
±
¦©
¡
Ÿ;¦
²
ŸŸ²
¦²6 ¦©

¦²
~
©0Ÿ
ËÌ
Ì
ËÙ6Ú
Ùà
á
Ë
ÚÙ
% '&
E"C?
KA
J E"C?
m Wj
kr{
"‚‰
†'‚…
ŽK‹A€
‚ €A«
†'„…
€ ¥®‚
K‚
°‚
ŽK‹A€
€ ¥®‚
‹€+Ž
€ ¥®‚
°‚
€ ¥®‚
†'‚…
°‚
°‚
¶D·+¸
× Ò'Ø
Õ ºÛ
ã'äÍ
ñ ò'ó
é ìê
è ®ï
'&
ï
'&
ï
÷?ò
÷û
34
3
3
3 1
3)
`c
` d
` u
•
š
•+ž
•6‘
•
™
•;’
•
•
•6
•6”
•
£
•
—
š
ž

‘
™
6’
•


»
¿
Ȁ
Ȃ
¿Æ
ø
ø
÷
ø
ø
øþ
ø
õ
"#
(
*
+*
þ«ì "!# $
?@#'!AB#(DC&
F"'E!J "!
(#Q'FCJ E"J(#""J $J J AR'"?J E"!UR+E!
ij#k"kKl"m noYjp"qm rm s
xsyAz
{t"nm6|s'l"pYSm z
€A"‚ƒ
ƒ‚"„‚…†‡†'‚‚…ˆ
€ˆ…Ž‹„‚ƒ'œŽ…¢
Š¢'…‚U„ƒ§Ž›‚
«‹"‚…ˆ0އƒ
‹Ž#€
Š¢K›‚0¨oKŠ"…"­ €
„‚…†'ƒ
‹"‰UˆŠ¢œ#Ž#€
œŽ#K­ އ¬+‚…Ž"‰A¢
œD‚ƒ­ #ŠŽ…«Ž‚ƒ
ƒ
ƒ6¢¨"‰‰Ž……"‚
¢'ƒ;¢'¬€€¢'Š"‚"…­ ›
„Ž…"„‚…U¤;¢'Š"
†¢'…"ƒD«Ž"ˆ…"­ ›
€A­ «U…¢'„‚…ˆ
€¢'‰"‚…"„ƒ6¢œ³KŠŽ…"ƒ­ ‚
«‚€ ˆ‚…µ¤
‚€
Š"…A¢'„€›+¨¬+…ށˆ­ €A‚›
›ƒ
­ œS‚ €oƒ‹"„¢€
‰"­ Ž"°€A‚…†'­ ¢
Í"·ÎAÏÐÑÊÓÒKÔ;Ï#Õ ·Ï#Ö
ÏÛÉ+ÉÛÍÛ"ººÕܺ·ÉÛKÎAÒ
ÉÒ'Í"·¶#ÛKÎUºÕ ¶¯Ò#ºÖâ
ä+å;Û æçèAé êëíìêî"ïçAè ð
"òô¯ò#ììé6ïôSé ó
é ò
'çèì
ê #èèò óMê ç ó
%ï &ï ï
$
"ïî
ï Kë&ï oò'ó§ê ®é ó
ó
é ê#ô¯è ,ò ê"ì ê è ô¯ò èoïó;ôSï þgé.þ
üýcþ
:M<=:
t=„
¥M’M’=¦
®³6”—´¯
Ä=Õ=Ö
þgï9ÿ=ì
=î
%$ (
!E(#@
(#
R(SJ
!E(#@
iYSm
jkk#q
›œ#
‰Aœ'€A„
œ#Ž
…"¬œS‚
Ž##‹
€+K‚œ¯¢
¬œ#
Ž#…
œ#Ž
€+K‚œ¯¢
Žœ#Ž
€+K‚œ¯¢
Ž#…
€+K‚œ¯¢
‰Aœ'€A„
Ž#…
Ž#…
ɶ'¶
×Ð ¶
ɶSÕ
Û#Ï#Ý
ñð ô
ôSé
èKïô¯ò
îAô'è'
îAô'è'
&
ê #ç
.
çè+ê
êô#ê
í
×0Ø;Ù&ÚÛ
ÿ
;:=<=:6>?:
NPO
rst
…Ps
•–—
’
•–—
µ±P–
ÃÄ=Å=Ä6Æ?Ä
רPÙ
è.éqênëqìgí-î.ï?í
!(
=
F"AGA@"E
H.=
L#(#KF =
L#(#KF T
!(
VWX Y
ls'ntj
k
}WY
VW
Š"‹A€ŒAŽ…"

›ˆœ
¤.¥ˆ
¨Ž#œ#ŽKŠ Ž

›ˆœ

Š"‹A€ŒAŽ…"

›ˆœ

¨Ž#œ#ŽKŠ Ž
¥ˆ
›ˆœ
¥ˆ
Š"‹A€ŒAŽ…"

†AŽ#€U†AŽ€

†AŽ#€U†AŽ€

›ˆœ

›ˆœ
¤.¥ˆ
Š"‹A€0Ž„‚…†
¤.¥ˆ´ œ
¨Ž#œ#ŽKŠ Ž

€A‹°‹"›­

›ˆœ

¹º¶
ʺ
¹º¶
Ï
Ö"ÝAÜÞAßÛÍ"Î
Ï
¹º¶
Ï
ëìô
ëìô
"çAè0
ê ï ëìô
ëìô
ê#ô#
êê
ëìô
þ ÿ
ÜÝ Þßà ÞÜ
@A BCD E@
QR S
ST UV
uv wyxz {
|
uv xƒz ƒ
˜™ šy›œ 
ž
˜™ §
§œ šy›
˜™ §
§œ ¢›
˜™ § œ §£
ÇÈ ÉÊË ÌÉ
ÇÈ ÑÒË ÑÊ
ðñ òóô òyõ
ðñ ûüô ð
û
ðñ òyðô ðò
ðñ ÷úô ú÷
Û
Ž
Ž
Ž
)+* ,.-0/ ,.1
)+* ,.:0/ 46)
)+* 963/ 1
<
)+* 9
)+/ :69
)+* ,M3/ 763
)+* 9
)+/ 7
9
)+* ,.40/ ,8)
)+* 963/ :69
)+* 9
9+/ ),
Z+[ \
Z+] ^6Z
Z+[ \e6] u;`
Z+[ \u0] b6Z
Z+[ e8c+] b
^
Z+[ \b0] e.d
+ ‘6’“ ”•
+ ‘ž6“ š+ž
+ ‘
+“ ”
”
+ ‘
+“ ‘—
+ ž.•0“ ™6‘
+ ‘
”+“ •
•
+ ™
™0“ •
+ ‘£0“ —
—
+ ‘ž6“ —6
+ ™6‘+“ ™6
+ ž.—0“ ‘ž
+ ™;’“ ™6
+ ‘
‘+“ ”•
+ ‘—0“ ‘

+ ž.—0“ ž.—
+ ™
™0“ ž8‘
+ ‘™0“ £
—
+ ™6‘+“ ‘š
+ ‘•0“ ’
+ ™
•0“ —
£
+ ‘š0“ •
£
+ ™6”+“ •
š
+ ‘•0“ £
™
+ ™
—0“ š
™
+ ‘™0“ •6‘
+ ™6+“ ‘

+ ‘•0“ š
£
+ ™
•0“ š;’
+ ‘ž6“ š
š
+ ‘£0“ ”ž
+ ‘£0“ ž
+ ™6‘+“ ’—
+ ‘
+“ —6
+ ™
£0“ ’
»+¼ ½
½+¾ ¿6À
»+¼ È
Â0¾ Ç6»
»+¼ ½Ä0¾ Æ6½
»+¼ À Å6¾ »Ç
»+¼ ½
¿+¾ Ä
Ç
»+¼ È6»+¾ Â
Ä
»+¼ È6½+¾ Ä;À
»+¼ È
Ç0¾ Â6¿
õ+ö ÷
ø+ù ú6õ
õ+ö ÿ0ù ü
ü
õ+ö ÷
õ+ù .þ
õ+ö þ0ù þ õ+ö ÷
õ+ù õ
õ+ö 0ù ü6õ
õ+ö !ù õ
õ+ö ü0ù ü õ+ö ÷
ø+ù ÷ú
õ+ö õ+ù ÿ
ü
õ+ö ÷ü0ù ü õ+ö ÿ0ù ú õ+ö ÷þ0ù ü6õ
õ+ö 6ù !
á â
ã
ä
F C
GH
W VXY
} x
x
~
} ‚
~
Ÿ ¡
Ÿ ¢
¤¡
Ÿ ¤§
¡
Ÿ ¡
Í ÎÊÏ
Í ÊÎÏ
ö ÷øù
ö ü
óù
ö üõ
ù
ö õ
û
ù
2 3465
2 9:65
2 1
-65
2 37
5
2 4+,85
2 3)
5
2 9165
2 3 ,85
2 1
465
_ `
`a
_ b
^6a
_ b6\
a
_ ` e8a
_ `\
a
– •
—6˜
– ™
š6˜
– 
”
˜
– ’•6˜
– ™
•6˜
– ’£6˜
– £
™6˜
– •
š6˜
– •+ž8˜
– •
•6˜
– ’”
˜
– •
£6˜
– •
•6˜
– •+ž8˜
– ’
˜
– •6”
˜
– •6”
˜
– •;’˜
– 
‘
˜
– 
‘
˜
– ’£6˜
– •6˜
– ™6˜
– —6˜
– •6
˜
– ™6˜
– ž8˜
– •
—6˜
– ’—6˜
– ’—6˜
– ”™6˜
– •6
˜
– £6˜
– 
”
˜
Á Â;ÀÃ
Á »Å8Ã
Á ¿
½
Ã
Á ¿Â6Ã
Á ¿Å8Ã
Á »6ÀÃ
Á ¿Ç6Ã
Á ¿Æ6Ã
û õü6ý
û õÿ6ý
û õþ6ý
û õú6ý
û õ
õ
ý
û øÿ6ý
û !ÿ ý
û ø 8ý
û øú6ý
û !ÿ ý
û ø
õ
ý
û ÿ6ø
ý
û õ ý
û ø ý
ãå æâç æè
@A ICD C
G
QR VZT [
\
uv €z {
|
uv ‚wz ƒ
|
˜™ ¢
£œ ˜
˜
˜™ ›œ ˜ ˜™ ¢
£œ š£
˜™ ¤œ ¢
¢
ÇÈ ÊÐË ÉyÑ
ÇÈ ÊÒË ÓÉ
ðñ ÷ðô ú
ø
ðñ ÷üô ð
õ
ðñ ÷úô õó
ðñ ÷ûô ú
ü
)+* 37+/ 167
)+* 3:0/ 9
7
)+* 3)+/ ,.4
)+* 4
:0/ 9
7
)+* 1
<0/ 7:
)+* 1;3/ 9
)
)+* 340/ )1
7+* <
<0/ 7:
)+* 3<0/ )Z+[ b6c+] \
c
Z+[ `
`] Z^
Z+[ `u0] b
u
Z+[ `u0] ^6\
Z+[ b
u0] u6Z
+ •6‘+“ ™;’
+ ’—0“ š6”
+ ’‘+“ —
—
+ •6‘+“ •
+ ’+“ £
š
+ •6+“ •;’
+ ’š0“ £
™
+ •;’“ š+ž
+ ’+“ •
™
+ •
™0“ ‘£
+ ’—0“ ‘ž
+ •6+“ £
—
+ •
™0“ ’—
+ •6+“ —
”+ š6‘+“ •6”
+ ’—0“ ‘š
+ •6+“ ”š
+ •
£0“ —
£
+ •
•0“ £
—
+ •6”+“ ‘š
+ ’—0“ ’™
”+ š
£0“ š
š
+ •6‘+“ £6
+ •;’“ ’
+ •;’“ £6‘
+ •6”+“ ™
£
+ •;’“ •6”
+ •
£0“ •
•
”+ š;’“ —
£
”+ ž
ž6“ 
”
+ •6‘+“ 
‘
+ •
—0“ š6‘
+ •
š0“ ”ž
”+ š+ž6“ ‘š
»+¼ À¿+¾ Ä6½
¿+¼ ½Æ0¾ ½6À
¿+¼ Æ+Å6¾ Å.Ä
¿+¼ Æ
Æ0¾ Å8»
¿+¼ Å.Â0¾ È
Ç
»+¼ Â
Ä0¾ ¿
»
»+¼ ÀÇ0¾ »6À
»+¼ Â;À¾ ½
¿
õ+ö þ
ÿ0ù õ
ø+ö ú 0ù ú6ø
ø+ö ú 6ù ø+ö ú
ü0ù 8÷
ø+ö ú6ø+ù !ú
ø+ö ú6õ+ù ÷
õ
õ+ö þ6õ+ù ü
ø+ö !ú ù ÿ6õ
õ+ö ü0ù .ÿ
ø+ö .ü0ù ø+ö ú
ú0ù ü
ÿ
ø+ö 8÷+ù ÿ
þ
ø+ö !ú ù 8õ
ø+ö ú6õ+ù ú6ø
é ê
ëì
F IJ
H
W SXY
} 
|~
} ‚~
Ÿ ¢
¢¡
Ÿ ¡
Ÿ ¢§
¡
Ÿ ¢˜
¡
Í ÊÌÏ
Í Î
ÓÏ
ö ÷øù
ö ü
üù
ö üð
ù
ö ûóù
2 1+,85
2 3465
2 3)
5
2 9
7
5
2 1
:65
2 1
<65
2 3465
2 )
)
5
2 4
165
_ b
d6a
_ `
`a
_ `
`a
_ b
f6a
_ Z6`a
– š6˜
– ’ ž8˜
– ™
—6˜
– ’
˜
– ’£6˜
– •
™6˜
– ™6”
˜
– ’—6˜
– ’”
˜
– ’”
˜
– •
•6˜
– •
•6˜
– 6’˜
– •;’˜
– ”6’˜
– ’‘
˜
– —6˜
– 
‘
˜
– 
”
˜
– •6
˜
– •6
˜
– ”™6˜
– 
‘
˜
– •6‘
˜
– 

˜
– •
—6˜
– •6˜
– š6˜
– ”£6˜
– ”£6˜
– ž8˜
– ™6˜
– •
£6˜
– 
”
˜
Á Â6½
Ã
Á Ä
Ä6Ã
Á ¿
½
Ã
Á »Â6Ã
Á Ç
È6Ã
Á »Å8Ã
Á Â6¿
Ã
Á Â+Å8Ã
û øú6ý
û õÿ6ý
û ø 6ý
û ø ý
û ÿ
ú6ý
û ø
÷
ý
û õÿ6ý
û õü6ý
û !þ ý
û ÿ6õ
ý
û ø 8ý
û ÿ
ú6ý
û ø
ø
ý
û ø 8ý
íî ïíð ñò
KA GGD GE
[R ]
ST \
S
v ‚|z ƒw
v ‚{z {{
™ ¤
˜œ ¢
¤™ 
§œ ›?š
™ ¤
˜œ §
™ ¤žœ ž
ÊÈ ÒÒË ÐÓ
ÊÈ ÒÓË Ñ
Ê
÷ñ øøô ûø
÷ñ øóô ðó
÷ñ ø
ûô üý
÷ñ ø
ðô ð?ò
3+* 1
70/ )9
1* <</ <
7
3+* 1
70/ :1
3+* 1
70/ 77
3+* 14/ )1
3+* 14/ ,:
3+* 1
)0/ :,
1* <4/ 44
3+* 163+/ :
9
b[ ^6`+] `e
`+[ b
Z0] ^
c
b[ ^b] ^^
`+[ bb] ``
`+[ bu] dd
’+ ••“ ™6’
• š6’+“ ’0—
’+ •
0“ ”—
• š
‘0“ •—
’+ ••“ £
‘
• š
0“ ‘—
’+ •
”0“ ”
’+ •—“ š™
• š
0“ žš
• š—“ ž8’
’+ •£“ ’0•
• žž;“ ” ž
• šž;“ ”š
• š
”0“ ™£
• š
0“ š™
• š
‘0“ —
‘
• šš“ ••
• 𙓠™—
’+ •6’+“ £™
• š
”0“ ‘”
’+ •£“ £
• 𙓠™™
’+ •—“ 
’
• š
0“ ™š
• šž;“ •
”
• š•“ žž
• šš“ ££
• š•“ ”‘
’+ •™“ ”
• šž;“ —™
• š6’+“ £

• ž.‘0“ š
”
• š—“ —£
• ž™“ •š
¼ ÅÅ;¾ ÅÆ
¼ Æ6À+¾ ÈÈ
¼ ÆÂ¾ ÈÂ
¼ Å8À+¾ À0È
¼ ÆÅ;¾ »Ä
¼ ÅÅ;¾ Å.»
¼ Æ
¿0¾ Æ
¿
¼ ½Ç¾ ¿Ç
þö úüù þþ
þö .õ0ù õÿ
+ö þÿù øþ
þö ÷þù þ þö ú ù ÿ þö ;ù þþ
þö ;ù ú
õ
þö þù ú
þö ú
õ0ù ÷ÿ
þö )+ù ü
õ
þö ú ;ù ÿ þö .ø0ù ú þö .ø0ù ÿ
þö ÷úù ú
ó ôí
õ
F KLH
W XQY
} x‚~
} 
u~
Ÿ ˜¡
Ÿ ¤¡
Ÿ ¡
Ÿ ¢¤¡
Í ÊÉÏ
Í ÎÊ
Ï
ö üýù
ö üýù
ö ûóù
ö ûóù
2 30:;5
2 30<;5
2 1
965
2 4
965
2 4
965
2 9 ,M5
2 30-;5
2 1<;5
2 4
765
_ b6`
a
_ `0f;a
_ b
Z6a
_ `0^;a
_ fu;a
– ™—;˜
– ••;˜
– ’”6˜
– ’’
˜
– ’‘6˜
– •—;˜
– •š;˜
– ™
”6˜
– ”•;˜
– •;˜
– •™;˜
– ”š;˜
– 
’
˜
– ™;˜
– ”
’
˜
– ’”6˜
– š;˜
– •žM˜
– ™
6˜
– ‘6˜
– ••;˜
– ’0—;˜
– •£;˜
– š;˜
– ‘6˜
– •
”6˜
–  žM˜
– •£;˜
– ™™;˜
– ’‘6˜
– £;˜
– ” žM˜
– —6’
˜
– ”6˜
Á ÇÇ;Ã
Á ÂÈ;Ã
Á ¿Æ;Ã
Á ¿Ä;Ã
Á »È;Ã
Á »Ä;Ã
Á ÄÆ;Ã
Á ÅÆ
Ä;Ã
û ÿü;ý
û ÿ
÷6ý
û þ
õ6ý
û üü;ý
û õø6ý
û õü;ý
û üÿ;ý
û ÿú;ý
û øõ6ý
û øü;ý
û õõ6ý
û ÿ ;ý
û 8õ6ý
û ü Mý
ö
÷ø ÷
ùú ÷
û
!
"# $%
C
KA K
LD E
E
SR X]T ]
]
uv |xz x
xv xz 
‚
¢˜™ 
¤œ ¤˜
§™ ¤œ ˜ž
¢˜™ ˜œ šž
§™ ˜œ ¢

ÎÇÈ ÔÐË ÉÔ
ÑÈ ÊÐË Ñ
Ñ
üðñ úõô ÷ø
ûñ ÷õô øõ
üðñ ú
ýô ÷ð
ûñ ÷ýô ø
ý
46)+* ,89+/ <;3
9+* 169+/ ,8)
46)+* ,89+/ 1;3
9+* 169+/ )
)
46)+* ,.40/ 4
1
9+* 1
40/ 37
46)+* 9
9+/ 7
)
40* <69+/ -
46)+* 910/ :
1
f0[ ^6Z+] ^6c
f6Z+[ \
Z+] c
Z
f0[ ^6Z+] d
d
f6Z+[ \
Z+] u
d
f0[ ^6c+] e.^
™6+ ‘
”+“ š
š
™0 š6”+“ ž8‘
™6+ ‘£0“ š
£
™0 š
£0“ ‘š
™6+ ‘£0“ ™6‘
™0 š
£0“ ’
’
™6+ ™;’“ ‘
”
™0 žM’“ ™
—
™6+ ’—0“ ™6”
™0 ‘—0“ ’—
™6+ ’—0“ £
™
™0 ‘—0“ —
•
™6+ •+ž6“ ‘
”
™0 ™+ž6“ ™
—
™6+ •
™0“ š
™
™0 ™
™0“ ž.•
™6+ •
•0“ ”ž
™0 ™
•0“ £
™
™6+ •6+“ ™
™0 ™6+“ ”•
™6+ •6”+“ •6‘
™0 ™6”+“ 6’
™6+ •
£0“ ž8‘
™0 ™
£0“ ‘6’
™6+ •
£0“ 

™0 ™
£0“ ”£
™6+ •
—0“ £;’
™0 ™
—0“ —6
™6”+ š6‘+“ š
•
™0 ’‘+“ ž8”
™6”+ š
—0“ 
”
™0 ’—0“ ”—
™6”+ ‘š0“ £+ž
’ š
š0“ —
™
È6¿+¼ ½
½+¾ Å.Ç
À¼ Æ6½+¾ È+Å
È6¿+¼ È
Æ0¾ Ä
È
À¼ Å.Æ0¾ Ç
Â
È6¿+¼ È+Å6¾ À»
À¼ Å
Å6¾ Â
Ä
È6¿+¼ È
È0¾ Å.Ä
À¼ Å.È0¾ È
Æ
6ø+ö 0ù ÿ
ö 0ù ü 6ø+ö 6õ+ù ü
ö 8õ+ù õ 6ø+ö ü0ù ÷
õ
ö .ü0ù ÿ
6ø+ö 6ù ÿ
ÿ
ö ÷
÷+ù ú
ú
6ø+ö 0ù ü
þ
ö ÷ ù ú6ø
6ø+ö þ
ú0ù þ6ø
ö ú0ù õü
6ø+ö !þ ù ÿ
ö !ù ü //
0
12
3$456&7398:$5
4
; <=
o
m
v
wx
yz{$z|$}~ €%.}|$‚ €ƒ„…}
†z&|
¦
ª
«¬
­®¯°°±²$³$´®9µ´&¶
¶)·
¸¯²
Þß
áâ
ã
ä&å æç!èéêëíì$îï$ïå è
ï$îì
ú
ï$î
ë$ç
èë
úþ
"!#
$
0)
>@?A
B@CED9FEGHB@CEDI"JC
K"CED
W@Z
cd
e&f J_]J#Df L5Jeg
Je&f hf e
FEDG
W[
klc
M
mDGOe
enCE`oi"JDhf G
e"apG
W2P
?c2r
_]JmhLsNJDL
m9eJ
W2U
kt2r
hGapf ee&iJ`G
FEunD
WW
k?t
oOJDh@e
e
CE`vGONwf h
e"apG
W\
kc?
u
Df Jf eK
f G
DDG
_DJ
\Y
r5d,>
F&JhxgGyzIf GOFC
G"e&K
\S
?cl
|GJDhG|}B~JN{G"e
FEunD
\2^
c2r
IGOe&fBxJ`9Ce
im`
\R
>@dA
gf `nM
G
D&eGnf `"JD9e
hxJM
“@Š
”•–
—˜™nš›…nœ—‚
9žn™
“ˆ
Ÿ@ –
j—˜š
™s¡œE˜¢&œE£
¤ ˜
“2†
”••
¦@œE£™O‚s„p¤ ¤ —
¡E§n˜
“2
”¨ ©5—@‚
‚
œE£v£¤ šnj—‚
‚"„p™
“‘
”«¬
‚
­¥9—££v¢¤ ˜š
¡E™n˜
““
”«¯
©
x—&°™n˜¡&—˜O°
¡E§n˜
ŽŽ
•¬•
¢™°&œ—x—£
¥9‚—
Ž
””–
ƒ˜™
¢™…"…
™H¦™nƒƒ
¥9‚—
Ž2‹
”–2«
„p¤ @œ#š¢—˜˜™
£
¡E§n˜
Ž’
Ÿ@”,Ÿ
ƒ¤ …ž"‚&¤ EœE£&‚ª¤ ££¤ ™
¤ ˜
Ž@Š
”•±
§5—¥™
˜¦™
ƒƒ
¥9‚—
Žˆ
«5 ©5—…
™
˜9‚
œE£vš
™
°
¡E§n˜
Ž2†
ŸŸ]±
©
˜—‚
‚
œ‚—#¢"—Eœ‚
¡E˜™
Ž2
” •
§
˜™…O‚
­£™
¤ ¢™
˜‚ª#™
£
¡E™n˜
Ž‘
”• ¦x—£9œE¥9#­}{¤ ˜9œ‚&x—
ª
9žn™
Ž“
”±¬
£¤ šOœEj—œE¥b©OœE6°&O—˜©Oœ‚
¡E˜™
Ž
Ÿ@ ,Ÿ
§
¤ ˜—˜¢"—²ƒ]—§n¤ —£
ª#™
£

Ÿ@” …Oœ…
­bx—‚Ožn@œ
­¥£
6‹
”±¯
¢¥£9¡&—¤ …š5—˜
¡E§n˜
’
”±¨
ª
—¤ £bx—˜9‚
¥9‚—
jŠ
”¨2«
—£¢™n˜&‚&™n£b©
™…
™
˜
¢™
£
ˆ
”•¨
EœœE˜&‚—…
­¤ ™„
§n™

6†
Ÿ]«Ÿ
ª
—£v­¥££¤ š§5—‚
£™
¢
6
Ÿ]««
—˜š"œ´¤ ‚"…,ªn—£
­¥£
‘
””,Ÿ
°&œ‚9­¤ š5—&„}—²š5—žn¥­¤ ˜&œ
¦2©
£
“
”Ÿ]¬
š
˜¤ ª‚&š°z…nœ—‚
9žn™
\].\
˜'™š'›
Î$Ï ¾
ï ñ
ëñ.ë
7
98:
_`9N
G
hK5J
eg#GONqC
JNJ
Jom
eg#GONqC
__5N
D_5N{G
Jom
NJNqe
]€q‚&ƒ
—˜
q¥¤
—¥
‚ª#™Oqœ
¢&E‚&§
—¥
——
——
—¥
q¥¤
——
—¥
™
©5—
¢&E‚&§
—˜
™
©5—
ƒ5ª
—q‚
—¥
——
¢&w¥
ƒ5{§
š
£9ª
—q‚
w™"¦
—˜
>'?.@%>'?@
^
‡ƒˆ
œ
¹$º'»&¼'½¾¿$À¾
Ð9ÑÒ Ó
ðë.ñ.ëòë
'ë.è'ëè
æ9é
%&!%&!
;
LMON
abM
i9CE`IJ
abM
F&JeF&Je
o
F&JeF&Je
o
i9CE`IJ
o
LMON
o
LMON
F&JeF&Je
o
LMON
o
i9CE`IJ
abM
LMON
„b…
…O

…O
„b…
š…O

¡&—‚¡&—‚

­¥&‚n®&ª
—˜£"—

š…O

š…O

š5—&„}—‚—#š
¤

°——#­"—

ªœE˜
„b…
‚&¥nžn¥š
¤

š…O
š…O
„b…
­¥&‚n®&ª
—˜£"—

š…O

­¥&‚,—§
™
˜9¡

š…O
„b…
š…O
„b…
³ 
š…O

­9œE£¢—

š…O
š…O
š…O

„ …
³ 
b
‚&¥nžn¥š
¤
„b…
š…O

­¥&‚n®&ª
—˜£"—

AB C
DE DF
_` abc bd
‰Š ‹
Œ ŒŽ
ž Ÿ ¡ ¢£
ÁÂ ÃÄÅ ÆÆ
ÔÕ Öר Ù×
óô õóö ÷ø
óô ÿøö õ
óô õûö óÿ
óô ÿ
ûö õþ
'( )*,+ -.
3( 42-+ -4
PQ RS2T US
PQ ZZT SY
PQ R2UT U[
PQ [S2T RS
PQ RR,T PS
PQ [R,T R2^
PQ R2PT \S
PQ [@ZT Z^
PQ Z^T WR
PQ Z5W,T ^Y
PQ RR,T RY
PQ [@ZT ^W
PQ R[,T Z5Y
PQ Z5[,T U^
PQ Z^T W[
PQ Z^T Y[
PQ R2PT \R
PQ [S2T U2Z
PQ [2^T ZP
PQ [\,T ^U
PQ R2UT ^S
†‡ ˆˆ,‰ Š‹
†‡ Š5’,‰ ‹2Š
†‡ ˆ“,‰ ’Ž
†‡ ’“,‰ ˆ
†‡ І‰ †Ž
†‡ Š5‘,‰ ‘‘
†‡ Š5“,‰ †ˆ
†‡ ŠŠ‰ ‹Ž
†‡ ˆ2‰ ˆ2†
†‡ ’2‰ ‹†
†‡ І‰ †“
†‡ ’“,‰ †‘
‡ ŽŽ,‰ ˆ‘
†‡ ’2‰ jŠ
†‡ ˆ2‰ ˆ2
†‡ Š‹‰ ’’
‡ Ž2‰ †
†‡ Š5ˆ,‰ Ž“
†‡ ˆ@Љ “2
†‡ Š‹‰ ‹†
†‡ ˆ2‰ “
†‡ ’2‰ Ž’
†‡ ˆ2‹‰ ŽŽ
†‡ Š5ˆ,‰ †
‡ Žˆ,‰ †Ž
†‡ ’2‰ ’’
†‡ Š"2‰ ŽŽ
‡ ‹2‰ ‹
†‡ ˆ’,‰ †’
†‡ ˆ“,‰ ŠŠ
†‡ А‰ “2†
†‡ Š"2‰ ˆ“
†‡ ˆ‘,‰ “‘
†‡ ’2†‰ ‘2†
‡ ˆ,‰ †
†‡ Š5’,‰ Ž
‡ Ž,‰ Ž
†‡ І‰ ‘‘
‡ Žˆ,‰ ‘2‹
†‡ ˆŽ,‰ ’ˆ
‡ Ž2‰ ˆ@Š
†‡ ˆ2‹‰ ˆ2
‡ Žˆ,‰ †“
†‡ Š"2‰ †’
†‡ ˆ2‰ 6‹
†‡ ‘,‰ ’Ž
†‡ І‰ ‹Ž
†‡ ŠŠ‰ ˆ
‡ jЉ Ž@Š
†‡ ˆˆ,‰ Ž@Š
‡ 6‹‰ ‘
†‡ ŠŠ‰ ‘
‡ ‹ˆ,‰ Ž
G H
IJ
e ddf
 ‘
’
¤ ¥
Ç ÈÄÉ
Ú ÙÖÛ
ù úûü
ù úøü
ù ø÷ü
ù ú÷ü
/ 0*21
/ ..*21
V UW2X
V U\2X
V \2PX
V \S6X
V W2^X
V \W2X
V W\2X
V SY2^X
V SY2UX
V WW2X
V WY2X
V SYS6X
V W2PX
V WY2X
V SYW2X
V UPX
V \Y2X
V \@ZX
V S6^R2X
V SYW2X
V \2^X
Œ Ž@Š
Œ Ž2
Œ Ž“2
Œ ŽŽ2
Œ ‘2‹
Œ “2
Œ “Ž2
Œ 6‹
Œ “2‹
Œ “’2
Œ ‘’2
Œ Ž6
Œ 6‹
Œ “6
Œ “’2
Œ Ž2†
Œ jŠ
Œ ˆ2
Œ Ž’2
Œ Žˆ2
Œ Ž2†
Œ 
Œ “2†
Œ 6†
Œ ‘2
Œ “@Š
Œ ’2
Œ 6†‹
Œ ““2
Œ ’2
Œ ‘2†
Œ Ž’2
Œ Ž2
Œ ‘‘2
Œ ’ˆ2
Œ Ž“2
Œ 6‹ˆ2
Œ 6
Œ 6‹Ž2
Œ 6‹Ž2
Œ ’2
Œ 6‹2Š
Œ “2
Œ Ž@Š
Œ Žˆ2
Œ ŠŠ
Œ ‘6
Œ jŠ
Œ ’6
Œ 6‹
Œ 6‹‘2
Œ 6
Œ jŠ5‘2
KL MNO PQ
d` ghc id
Š ‹
Ž Œ“
¦ž ŸŸ¡ Ÿ
ÆÂ ÊËÅ Ì
Ê
ÜÕ ×ÝØ Ô×
óô ÷õö ýþ
óô ÷ûö þ
ûô )óö õþ
ûô )þö ÷û
3( 4),+ -0
3( 4<,+ 023
UQ YW,T R@Z
UQ ^R,T [2^
UQ S6UT PW
UQ S6UT R[
UQ Y2UT ^S
UQ S6UT UU
UQ Y\,T SjZ
UQ ^2ZT [Y
UQ S6^T [@Z
UQ S[,T WS
UQ Y@ZT YS
UQ RW,T \[
UQ ^Y,T WW
UQ ^[,T ^Y
UQ S6PT \\
UQ ^^T Y2P
UQ S\,T UR
UQ ^2ZT UU
UQ S6^T ^\
UQ ^^T S6P
UQ R2PT WW
‡ ‘,‰ Ž2‹
‡ “,‰ ““
‡ ‹2Љ Ž’
‡ ‹2‰ Ž“
‡ ‹“,‰ ’2
‡ ‘,‰ “‘
‡ ‹2‰ ˆ’
‡ 6†‰ ‹
‡ А‰ ‹
‡ ‹’,‰ ’@Š
‡ ˆ2‰ 6‹
‡ ’’,‰ †
‡ ’2‰ Ž2
‡ ‹ˆ,‰ ‹ˆ
‡ ’2‰ ’ˆ
‡ ˆ,‰ ‘2†
‡ І‰ Ž@Š
‡ jЉ ‹
‡ “,‰ ‘@Š
‡ ‹ˆ,‰ ’
‡ ’2†‰ ‹Ž
‡ ‹Ž,‰ ‘ˆ
‡ ˆ’,‰ ’Ž
‡ ‹’,‰ 
‡ ’ˆ,‰ †’
‡ Ž,‰ Ž
‡ ˆ“,‰ ‹2Š
‡ ˆ,‰ ’
‡ ‹’,‰ ‘Ž
‡ ’2‰ †2Š
‡ ’’,‰ ˆ2‹
‡ ’Ž,‰ ‘
‡ Š5ˆ,‰ 6†
‡ 6‹‰ Š5‘
‡ ‹‹‰ ‹’
‡ ‹2‰ ‘‘
‡ ˆ’,‰ ‹
‡ ˆ,‰ 6‹
‡ ˆŽ,‰ ’“
‡ ’@Љ Ž@Š
‡ ’’,‰ “Ž
‡ ’@Љ Š5’
‡ ’’,‰ “’
‡ ’’,‰ †‹
‡ ˆ@Љ ˆ2
†‡ Š5’,‰ Ž2
‡ 2‰ †ˆ
‡ ’2‹‰ 6‹
‡ ˆŽ,‰ Ž
‡ ’’,‰ †ˆ
‡ ’2‰ ‹
‡ ‹‰ 
‡ ˆˆ,‰ ††
R SQT
e d
gf
 ““(”!’
¤ ¢£
Ÿ!¥
Ç Æ
ÈÉ
Ú Þ×)Û
ù ó
õü
ù ÷ûü
ù øûü
ù û
øü
/ 3*21
/ 3*21
V WR2X
V \R2X
V SYSjX
V WR2X
V WS6X
V W@ZX
V W@ZX
V \2PX
V W\2X
V W2^X
V UPX
V SS]Y@X
V SYP2X
V \W2X
V SYY@X
V \Y2X
V SYR@X
V \2UX
V W2UX
V \S6X
V S6^U2X
Œ ‘ˆ2
Œ Ž2Š
Œ “ˆ2
Œ Ž2
Œ ““2
Œ Ž‹2
Œ ‘“2
Œ ““2
Œ ]“@
Œ Ž“@
Œ 6‹5’@
Œ 6‹‹2
Œ Ž‘@
Œ j
Œ Ž“@
Œ “ˆ2
Œ ]‘@
Œ “Ž2
Œ ‘2
Œ ‹2
Œ Ž2
Œ Žˆ@
Œ 6‹†2
Œ ]Ž@
Œ Ž†2
Œ ‘2†
Œ ’’@
Œ “@Š
Œ “@Š
Œ 6‹5‘@
Œ Ž‹2
Œ †2
Œ ]ˆ@
Œ ‘‘2
Œ “2‹
Œ Ž‘@
Œ 6‹5ˆ@
Œ “2‹
Œ 6‹‹2
Œ 6‹5’@
Œ Ž2Š
Œ 6‹Š
Œ Žˆ@
Œ 6‹5Ž@
Œ 6‹2
Œ Š5Ž2
Œ 
Œ ]‘@
Œ 6‹"j
Œ 6‹"j
Œ ŽŽ@
Œ 6Š
Œ 6‹5“@
QL M
SO PK
jk l(mn o
p
‘Рސ Œ
•
§ž £¡ £
ËÂ ÍÌÅ Ì
Á
ÖÕ ×(ߨ ßà
÷ô ý
úö ÿø
÷ô ÿûö (ø
÷ô ýûö óú
÷ô !ö ý
÷
*5( 405+ *3
*5( .3,+ <3
[5Q S]\5T Z5P
[5Q S^,T UZ
[5Q Y\5T R^
[5Q S6ZT S]W
[5Q YP,T \R
[5Q ^5\5T PU
[5Q YP,T \R
[5Q S]W5T ^U
[5Q YW5T YR
[5Q ^5\5T P"S
[5Q Y\5T \Y
[5Q SU,T UU
[5Q SS@T Z5U
[5Q S]\5T \\
[5Q S]Y5T [2Z
[5Q ^ZT Z,R
[5Q Y\5T WY
[5Q SU,T ^^
[5Q Y[5T R[
[5Q SP,T ^5Y
[5Q Y\5T WW
ˆ5‡ ‹,‰ ‘†
ˆ5‡ Ž“5‰ Ž2Š
ˆ5‡ ,‰ “Ž
ˆ5‡ ,‰ ‘‘
ˆ5‡ ’Ž5‰ 5’
ˆ5‡ ]‘5‰ ‘’
ˆ5‡ ’Ž5‰ Š5†
ˆ5‡ Žˆ5‰ ˆ“
ˆ5‡ ‹‹,‰ ˆˆ
ˆ5‡ ކ,‰ ’‹
ˆ5‡ ‹†,‰ Š,ˆ
ˆ5‡ Žˆ5‰ †5’
ˆ5‡ ‹5Ž5‰ ’‹
ˆ5‡ ]ˆ5‰ ‘‘
ˆ5‡ ’@‰ “
ˆ5‡ @‰ Š,’
ˆ5‡ ‹"@‰ “†
ˆ5‡ ’Ž5‰ ŠŠ
ˆ5‡ ’,‰ ’
ˆ5‡ 6Љ †"
ˆ5‡ ‹†,‰ Ž’
ˆ5‡ Ž“5‰ 5’
ˆ5‡ ’,‰ Š,ˆ
ˆ5‡ ‹,‰ ]‘
ˆ5‡ ‹‹,‰ “Ž
ˆ5‡ †,‰ Ž
ˆ5‡ ŠŠ‰ ’‹
ˆ5‡ ‹5ˆ5‰ ’2Š
ˆ5‡ ]’5‰ Š,ˆ
ˆ5‡ ]Ž5‰ Š,Ž
ˆ5‡ ’‹,‰ “‹
ˆ5‡ †,‰ 5“
ˆ5‡ ‹5‘5‰ 5‘
ˆ5‡ Ž‘5‰ ‹5ˆ
ˆ5‡ ‹,‰ Š,ˆ
ˆ5‡ ]ˆ5‰ ]ˆ
ˆ5‡ ‹5ˆ5‰ ]‘
ˆ5‡ 6Љ †5Ž
ˆ5‡ ŠO@‰ †"
ˆ5‡ ‹5’5‰ Ž“
ˆ5‡ ’’5‰ Ž’
ˆ5‡ ,‰ ’
ˆ5‡ ’†,‰ Š
ˆ5‡ †,‰ Š
ˆ5‡ ’‘5‰ 5“
Ї ˆ“5‰ ’’
ˆ5‡ ސ,‰ ‘“
ˆ5‡ ]ˆ5‰ ˆ
ˆ5‡ ’@‰ “‹
ˆ5‡ ‹†,‰ 5‘
ˆ5‡ ’ˆ5‰ Ž2Š
ˆ5‡ †,‰ ‘ˆ
ˆ5‡ ’†,‰ ‘“
R SPT
q m
r!s
 Ž“–’
¤ ¢–¥
Ç Í(ÊÃ!É
Ú Ô
ÔÛ
ù ú
÷!ü
ù )ÿ÷!ü
ù ú–ü
ù ó
ûü
/ 0'21
/ 0321
V S^2ZX
V U5R@X
V WW@X
V UU2X
V U5\@X
V S]Y2U2X
V U5W@X
V WW@X
V W^2X
V S]Y2P2X
V \R@X
V W[@X
V S]YSjX
V \Y@X
V \P2X
V \U2X
V \SjX
V W2ZX
V U"SjX
V WSjX
V \^2X
Œ Š
Œ ‘2
Œ ‘†2
Œ “@
Œ j
Œ ‹Ž@
Œ Ž@
Œ ‹2
Œ “ˆ@
Œ 2
Œ ]Ž2‹2
Œ 5’@
Œ “‹2
Œ ]Ž“@
Œ jŠ
Œ ]ŽŽ@
Œ “’@
Œ 6Š5ˆ@
Œ ‹2Š
Œ ]Žˆ@
Œ ]Žj
Œ “Ž@
Œ ‹ˆ@
Œ ]Ž2‹2
Œ “†2
Œ Ž@
Œ ]’2†2
Œ ]’@Š
Œ 5ˆ@
Œ “ˆ@
Œ 6†2
Œ jŠ
Œ ]Žˆ@
Œ ‘’@
Œ ‹2
Œ ]Ž22
Œ “‘@
Œ ]Ž@Š
Œ ]’Ž@
Œ ‹“@
Œ 62
Œ 62
Œ ‹‹2
Œ ’@
Œ ‹†2
Œ ˆ2
Œ †Š
Œ ]Ž‘@
Œ ’@
Œ ]’22
Œ “@
Œ ˆ@
Œ ‹’@
@‡ ŽŽ
’5‡ ŽŽ
UVW X!YZ [V
tk u!tn rr
”ŒŠ ““ —Œ
¨ž §¢¡ ©
£
ÃÄÂ ÍÍÅ Æ
È
àÕ Öר Ù×
õúô ö ú
ÿô ÷ö øõ
õúô )þö ÷ú
ÿô ÷þö û
ý
)0,( .63+ .4
=( *23+ -RW,Q S\,T W2U
ZQ [\,T \\
RW,Q ^UT [\
[,Q Y2UT US
RW,Q ^W,T [S
[,Q YW,T PR
RW,Q RY,T S6U
[,Q SY,T ^\
RW,Q R2UT Y2^
[,Q S6UT SjZ
RW,Q RW,T ^S
[,Q SW,T RR
RW,Q RW,T PP
[,Q SW,T UW
RW,Q RW,T \2^
[,Q S\,T Y@Z
RW,Q Z5Y,T S\
[,Q ^Y,T RS
RW,Q ZUT UR
[,Q ^UT W[
RW,Q [Y,T ^U
ˆ,‡ ’Ž,‰ ’“
’‘,‡ ˆ’,‰ ˆŽ
ˆ,‡ ’’,‰ †‹
’“,‡ Žˆ,‰ ‘
ˆ,‡ Š5ˆ,‰ ’Ž
’“,‡ Ž‘,‰ ’’
ˆ,‡ Š5‘,‰ Š5ˆ
’“,‡ Ž‘,‰ ’@Š
ˆ,‡ Š5‘,‰ І
’“,‡ 2‰ ‘
ˆ,‡ ˆ2‰ ’Ž
’“,‡ 6‰ Ž@Š
ˆ,‡ ˆ2‰ 6†
’“,‡ “,‰ 6†
ˆ,‡ ˆ“,‰ ‹‘
’“,‡ “,‰ ‹’
ˆ,‡ ˆ“,‰ ’ˆ
’“,‡ ‹2‰ “2‹
†‡ Ž2‹‰ Ž@Š
’“,‡ ‹‹‰ ‹Ž
†‡ Ž2‹‰ ’2‹
’“,‡ ‹2Љ ’2†
†‡ Ž@Љ Š5‘
’“,‡ ‹ˆ,‰ †“
†‡ Žˆ,‰ ‘
’“,‡ ‹‰ “
†‡ Ž‘,‰ Ž’
’“,‡ ’’,‰ ‹‹
†‡ ’,‰ ’@Š
’“,‡ Š"2‰ ‘‘
†‡ ‹‹‰ ŽŽ
’“,‡ Š‹‰ 
†‡ ‹‹‰ ‹’
’“,‡ А‰ “@Š
†‡ ‹‘,‰ Ž2†
’“,‡ Š5‘,‰ ŠŠ
†‡ ‹‘,‰ ˆ2†
’“,‡ ˆ@Љ Š‹
†‡ ’@Љ ˆ@Š
’“,‡ ˆˆ,‰ “ˆ
†‡ ’2†‰ Ž2
Š5Ž,‡ ŽŽ,‰ †
†‡ Š5Ž,‰ “
Š5Ž,‡ Ž2‹‰ А
†‡ Š‹‰ ˆ“
Š5Ž,‡ Ž2†‰ ŠŠ
†‡ І‰ ˆ2†
Š5Ž,‡ Ž‘,‰ Š"
†‡ Š5‘,‰ ˆ’
Š5Ž,‡ jЉ Š"
†‡ ˆ@Љ ˆ’
Š5Ž,‡ ‹†‰ ““
‡ Ž2‰ 
µ6¶·
¸¹º
»9¼E½¾¿ ÀÁsÂý&ÄÅ
Æ
ÇÈ
É
6ÿ
"!#%$ & ')(%*
7B55
CDE
FHG)I.JLK#MON PQIQR%N
MON SATLUQV
WLXZY
cBej
n1op
qsrQt%u%vZwyxr#z{
|Z}%~
‡BŽŠ
“”•
–.—#˜˜)™Zšy›1˜—#š)–™Zœ 
)žœ
¥Bª¤
±²³
´.™#Qž)µZ¶·´.™¸œ
¸¹ š
¥Bª¢
»¼½
¾¿QÀÁ ÂHÃÄAÅ Æ¿#Â
ÇZÁ%Â
ÑBÒÔ
»»Û
Ü ÁÅ ÂÝ ÙÈ·ÆÁ Ý È Á
ÇZÁ%Â
ÑBÒÚ
»»Þ
Â.ÀØ¿#Âs¾A¿ÂÝ Ä
Ù)ß%Á
ÑBÒÏ
»ÞÞ
àáÆÝ Å Á Æ)ÄZâQ×QÁ"ÙAÆÂÝ ×
ÇZØ%Â
óöí
ú1ûú
ü ý.þ ÿ ü QþZãè#éä
ê
óö1ó
ú
)þ ê)åQÿ
þ#å
ø
óöî
ûû
æZäü è#ê)þHèé ý äéQþ
,.--
<=>
8@? A"#BCED!FHG"IJ
K
LM
,.-*'
<OP
KFBM9LQRCLSC9
TSC
,.-)
<P<
A"#LCLU VWXYZ[\]Z_^[\
`
^a
l.gq
sts
u!v_wv_[B[
vBb]xpv_[Ba^_W
c]y
l.gd
s~
X^_p"z
v$u^"€WXYzH{B‚][b
`
^a
l.gr
~*sƒ
WX3v$[HY W„w3^"bY W
Z[B]
l.gi
st
X^a]wv"W„…BY c†Y b[BY W
Z[B]
lNm3f
sƒ‡
W]!€v_[B…„cY p$z!v_]a
Z‚[
lNm
l
sˆˆ
p"zH[BY Wb^ww]uW]u:a‰v_[W
…B]u
lNmo
sƒŠ
Xa‰v"cw3^"bz‹WpB^"b
b
{Wv
lNm3g
stƒ
X{B[HwY [bxc†Y a‰v_u
p\]
lNmm
‡ƒŠ
‚[!v_Y pB^Œ[BY pBpv_[B…^
v${W
lNm3j
s1~
z!v"cŽc^_p"Xh …Hh
{Wv
lNmq
‡ƒƒ
…!v"c†Y ]uW„…BY [HX
‚]a
lNmd
s‘s
cHv_[HX
^’b3v"cHv"W
zB{Bu
lNm3r
sƒ‘
]!\]
|{H]a“Z_^{Ha‰}_]u
w[!v
lNm3i
~*s
pv_[H…B]u!v"WE{!v_u„pv_[Ba^_W
c]y
l.jf
ssˆ
bz^_cHv"WWY c^u
Z‚[
l.jl
sˆs
^z”
v"cHvW{W{c{
`u
l.jo
sŠˆ
\]cHv_u‹Y uH…B[HY p"z
p\]
l.jg
stˆ
`a‰v”H][€‹v”HuB]
Z‚[
l.j*m
sŠs
c]aa][R`]!b[HY
wY u
l.jj
~*‡
c^wwvBb!b‹‚[B{p$]
pv_u
l.jq
s~‡
‚{B[cHv_uEb^‚Y v"W
W
€@]
l.jd
s~t
v"pb^u:…!v}_Y …
Z‚[
l.jr
ss
wa*^{HzB[‹]v_u
‚]a
l.ji
‡ƒ
v_uB…H][W]u„p"{H[b
…B]u
l;qf
ƒ‘
ZY c^u:[BY pv_[B…^
}$]u
l;q!l
s
‚{p$Xz^a.\c"v_[BX
{Wv
l;qo
st
[^"bz€@]aaŽ…
v_a]
Y [Ba
í
î9ïð
Ê5Ë&Ì}ËÍË#Ê
Î
ñ
?''A@
'
WlL]
A‘A’
› °
O¶L¸
ÖQ¾Z×QØ
ÖQ¾Z×QØ
¿ÙÙAÂ
èAøAä
èøøAé
73
K!J
"A"F
`!\
c
w3cc
`!\
c
]a`3v
]a`3v
v"p"{
…c{
vHc"v
vHpHp"[
c"v
vHc"v
w3c†‚
c"vHcŽW
ww3c
w3cc
v"p"{
c]

vHpHp"[
v"p"{
Wca
pBc"v
W}$]cŽ^
v"p"{
w3c†‚
…c{
w3c"}
vHc"v
cŽp"{HY
+,.[\.]
m
€.
‘
Ÿ—A A—¡L—
´º. –
ÈÅ.¾
Ù
ÈÅ.¾
Ù
ÈÅ.¾
Ù
ãäQå%æQç è#éêLè
ø
QèA
å Qèå
ø
ÿý
ø
!""$#
8:9
G!9
A
G!9
A
X!bc
p
zB{W|}v_[Bu
v
X!bc
X!bc
X!bc
p
€:b
zB{W1v_‚][Z
p
zB{W|}v_[Bu
v
p
X!bc
p
X!bc
p
X!bc
p
X!bc
p
X!bc
p
W{\{BXY
p
X!bc
X!bc
X!bc
X!bc
€:b
p
p
”!v"c"v$z
v
p
X!bc
p
X!bc
p
”!v"c"v$z
v
€:b
zB{W1v_‚][Z
p
X!bc
p
X!bc
p
zB{W|}v_[Bu
v
p
X!bc
€:b
X!bc
Zv"WZvHW
p
ÏÐ ÑÑ,Ò ÑÓ Ô jÕ Ö5×2Ø
òó ôô2õ òö ÷ 6ô øòù
/10 234 35
;10 >84 2
<
^1_ ``a b1c
g1_ bka hg
‚1ƒ „…† „1‡
Œ1ƒ ‡‰† ‰
¢1£ ¤1¥¦ §¨
¢1£ ¤¨¦ ®§
¬1£ ¯¢1¦ ®­
¬1£ ¯§¦ §¤
É1Ê ËÌÍ ÎÏ
É1Ê ÕÒ1Í Ì1Ñ
É1Ê ÕÒ1Í ÑÑ
Ô1Ê ÒÌÍ ÉÔ
É1Ê ÕÕÍ ËÚ
Ô1Ê Ñ=ËÍ Õ
Ë
ë1ì íî1ï ðñ
ë1ì ó=ôï ó=ô
ñ1ì ðùï ùð
ë1ì óóï îí
ñ1ì ô÷ï ëî
ë1ì í÷ï ÷
ô
%& ''!( )*'
%& )51( 0*'
%& )%( 0*'
6& ,;6( 66
6& 24( '6
6& ,.)1( 6!,
de fg1h ij
de lNm!h mq
de fg1h oo
de l.g1h gl
de l.f1h m
l
de oqh og
qe jr1h mo
de or1h lNm
de f*m!h gg
de o!lh og
de fg1h or
de mm!h oi
de l.j1h od
de oi1h l;q
de fr1h if
de g*m!h l;q
qe jr1h jj
de oi1h l;o
de fj1h ff
de om!h dj
de gj1h md
de goh fl
qe jr1h qm
de gj1h il
de l.r1h gj
de of1h oo
de lNm!h dg
de goh qq
de l;qh rf
de gr1h o!l
de ooh dm
de of1h rl
de g*m!h q!l
de gj1h df
de o!lh gi
de goh ig
de l.g1h r*m
de m3j1h gf
de glh m3r
de m3r1h dg
de l.f1h or
de fi1h ri
qe gg1h g*m
qe j*m!h l;q
de fr1h fg
de joh m3j
de oqh l.g
de mqh qi
de l;qh l;o
de m3r1h jl
qe jqh ji
de l;dh gq
de o!lh jl
de m3i1h mm
r1e ooh rd
de o!lh qi
6 789:
6 77B;:
d cBe^f
d cBejf
ˆ ‡‰
Š‹
ˆ ‡BŽ‹
© ¥Bª¥B«
© ¥¥¯«
© ¥=®­«
© ¥¥B¢«
Ð ÑÌÒÓ
Ð ÏÔÓ
Ð ÑBÒÒÓ
Ð Ñ=ËÎÓ
Ð ÑBÒÚÓ
Ð ÑÎ
ËÓ
ò ó=ôîõ
ò óöîõ
ò óöùõ
ò óBîñõ
ò óó÷õ
ò óBîîõ
+ ,,.-/
+ ,,,;/
+ ,.-2/
+ ,.-5/
+ ,N'
,;/
+ ,.-%/
k lNm3jn
k l.ggn
k lNm3gn
k l.gfn
k l.jon
k lNm3in
k l.ggn
k l.jl;n
k lNmqn
k lNm3jn
k lNmmn
k l;qmn
k l.jdn
k l.jgn
k l.jfn
k l.jrn
k l.gjn
k l.jon
k lNmdn
k lNmdn
k l;don
k l.jjn
k l.gqn
k l;q!l;n
k l;qfn
k lNmon
k l.jqn
k l.jqn
k l.jin
k l;qon
k l;qjn
k lNmmn
k l;d!l;n
k l;qfn
k l;qgn
k l.jdn
k l.j*mn
k l;qjn
k l;qin
k l;qin
k l.jl;n
k l;omn
k rl;n
k l.ffn
k lNm3in
k l;dgn
k l;qqn
k l;qdn
k l.jrn
k l;qrn
k l;oin
k l.grn
k l;qmn
k l;d!l;n
k l.ron
k lNmqn
ÙÚ Ö5×,Û Ù× Ü ÝÞÝjß
òó ú5û,õ ü2ø ÷ ôôôjù
;10 <;14 25
;10 2514 22
g1_ hia he
g1_ hka h^
Œ1ƒ ‰
І ‰
Œ1ƒ „…† Œ
¬1£ ¤¨¦ ­
®
­£ ¯
®¦ ¢­
¬1£ ¤
®¦ ®L¥
¬1£ §§¦ ®¤
Ô1Ê ÎÒ1Í ËÌ
Ô1Ê ËÎÍ ËÒ
Ô1Ê ÎÉ1Í ËÏ
ÚÊ ÌÚÍ ÑBÉ
Ô1Ê ÎÏÍ Ï1Ñ
Ô1Ê ÕÕÍ ÒÉ
ë1ì ðíï öð
ë1ì ð÷ï ðñ
ë1ì ðíï îô
ë1ì ð÷ï ÷ñ
ë1ì ôöï ðö
÷ì îôï ÷ñ
01& ,.21( ''
6& '4( 56& )*'!( %5
01& ,.21( %0
6& )4( 2)
01& 201( 6'
de gf1h dj
de m3j1h r*m
de m
lh rf
r1e l.r1h oi
r1e l.f1h fo
r1e fqh og
de m3i1h df
r1e jg1h ri
r1e fdh l.f
r1e gf1h fj
r1e l;oh go
r1e l.r1h ri
r1e flh m3i
r1e l;qh fq
r1e f*m!h dr
r1e l;dh dq
de jj1h qf
r1e j*m!h or
r1e fdh rq
r1e glh dj
r1e fdh l;o
r1e fqh jl
r1e o!lh io
r1e l.f1h rd
r1e or1h ji
r1e ooh fr
r1e fr1h md
r1e gi1h oi
r1e fdh qf
r1e oi1h id
r1e gi1h m3r
r1e gf1h m
l
r1e l.r1h dr
r1e l;qh gj
r1e gqh gd
r1e gi1h lNm
r1e l;dh ro
r1e gqh m3i
r1e fdh lNm
r1e gdh dm
r1e flh rj
r1e oqh qd
de l;qh qq
de l.f1h rj
r1e odh lNm
i1e l.g1h lNm
r1e goh jj
r1e jqh om
r1e jg1h og
r1e m3r1h l.i
de jj1h d!l
r1e gj1h qd
r1e mm!h f*m
i1e l;oh of
r1e m3r1h mm
r1e m3f1h qm
6 78<:
6 7B5<:
d cj`
f
d cBeb
f
ˆ ‡BŽ„
‹
ˆ ‡‰‡=‹
© ¥=®¤
«
© ¥§®«
© ¥=®¯
«
© ¥¯¥=«
Ð ÑÑÏ
Ó
Ð ÑÑBËÓ
Ð ÑBÒÉÓ
Ð ÑÎÚ
Ó
Ð ÑBÒÏ
Ó
Ð ÑBÒÚ
Ó
ò óö÷
õ
ò óöí
õ
ò óöëõ
ò óöîõ
ò óöö
õ
ò ó=ôù
õ
+ ,.)%/
+ ,,-*/
+ ,N',N/
+ ,N',N/
+ ,.-5*/
+ ,.-5*/
k llj*n
k ll.qn
k l.gon
k lNm3qn
k l.jj*n
k l.gj*n
k l.gqn
k l;qmn
k lNm1i*n
k l.jon
k l.jr*n
k lNm3dn
k lNm3qn
k lNm1g*n
k lNm1r*n
k lNm1j*n
k lNm1g*n
k l;q3j*n
k l.jg*n
k l.jmn
k l.jf*n
k l.gqn
k l;qmn
k lNm3on
k l;qqn
k lNm1r*n
k l.jmn
k l;q3f*n
k l.jon
k l.j!lNn
k l;d3f*n
k l.jg*n
k l;qon
k lNmmn
k l;q3r*n
k l.ji*n
k l;q
lNn
k l.jdn
k l.j!lNn
k l.jr*n
k lNm3dn
k l.jf*n
k irn
k dqn
k l;q3j*n
k l;d3g*n
k l;qdn
k l;qqn
k l;d3j*n
k l;q3g*n
k lNmmn
k l.jqn
k l;don
k l;don
k l;d3g*n
k l;qon
à5á â5ã5ä åå æ ç6è5é@ê
ý5þ ÿ ÿ 20 794 35
20 8>4 3;
`_ eea ck
`_ eka ki
„ƒ ‡† ‡BŠ
„ƒ ‰Ž† …‰
¤£ ¥¢¦ ¥¨
¤£ ª­¦ ¤­
¤£ ª¢¦ ¯ª
¤£ ®ª¦ ¨¯
ÕÊ ÑÉÍ ËÌ
ÕÊ ËÒÍ ÕË
ÕÊ ÑÏÍ ÌÏ
ÕÊ ËÌÍ ÒË
ÕÊ ÒÕÍ ËÔ
ÕÊ ÕÌÍ ËÔ
ðì îëï ñ÷
ðì ôíï ôñ
ðì îùï ðî
ðì ôëï ññ
ðì óðï óí
ðì ðùï ôí
)3& 4323( )4
)3& 43)3( 632
)3& 4
,*( 6'
)3& '1-3( 06
)3& 4303( %
,
)3& '3%1( 6'
j3e omh ij
j3e gq1h fm
j3e od1h d
l
q1e fo1h fj
j3e o3g3h o3r
j3e ml*h ir
j3e l.d1h q3r
j3e gmh d
l
j3e o3i3h rd
j3e m1j3h mm
j3e o3g3h jq
j3e gi3h jr
j3e o3r3h o3f
j3e j!l*h rf
j3e gf3h q3i
j3e jg3h rm
j3e go1h d3j
j3e m3d1h fr
j3e gg3h f!l
j3e jq1h lf
j3e gj3h qo
j3e m3o1h ii
j3e m3d1h dq
j3e m1j3h ff
j3e gf3h d3g
j3e mmh jq
j3e gmh rd
j3e jj3h qm
j3e jj3h ri
j3e jj3h m1f
j3e go1h gg
q1e ff3h iq
j3e m1g3h gr
j3e jr3h fd
j3e g!l*h m3q
j3e m1j3h q3r
j3e m1j3h mm
q1e ff3h gq
j3e m3q1h gm
q1e o3g3h lg
j3e gq1h fr
j3e jo1h m1g
j3e fj3h lr
j3e oo1h jg
j3e gi3h d
l
q1e lg3h f!l
j3e m3d1h m1r
q1e fmh jf
j3e mmh fm
q1e lf3h oo
j3e omh rr
j3e m3q1h l;m
j3e gi3h gr
q1e l.d1h lj
j3e gq1h lf
q1e fg3h q3j
6 757=:
6 77B5:
d cei
f
d cbk
f
ˆ ‡Ž‰
‹
ˆ ‡‡„
‹
© ¥¥¥=«
© ¥¯
®«
© ¥§¢«
© ¥§§
«
Ð ÑÑBÒÓ
Ð ÑÎÒÓ
Ð ÑÒÒÓ
Ð ÑÒÚ
Ó
Ð ÑÎÕ
Ó
Ð ÑBËÔÓ
ò óö÷
õ
ò óîù
õ
ò óBôîõ
ò óBôñõ
ò óíñõ
ò óð÷
õ
+ ,.4)*/
+ ,22*/
+ ,.4%/
+ ,-)*/
+ ,;'
,N/
+ ,;'4/
k lgg*n
k l.of*n
k lgi*n
k l.q!lNn
k lgf*n
k lglNn
k ll.r*n
k ll.r*n
k l;mmn
k lgi*n
k lglNn
k l.odn
k l;m3f*n
k l;m3r*n
k l;mqn
k ljlNn
k ljon
k l;mmn
k ljg*n
k ljj*n
k ljr*n
k lg*mn
k l.df*n
k lgr*n
k l;mdn
k lgdn
k ljdn
k lj*mn
k l.dj*n
k ljg*n
k ljlNn
k l.qf*n
k l.qg*n
k ljdn
k l;m3i*n
k l;m3f*n
k l.qqn
k lji*n
k l.qr*n
k l.d!lNn
k lji*n
k l;m3i*n
k q3i*n
k imn
k l.qon
k l.qj*n
k l.qi*n
k l.qg*n
k l.qmn
k l.qmn
k lgon
k l;m
lNn
k l.q!lNn
k l.qr*n
k l.qf*n
k l.qon
è5ë,á éë,ä à2ì
þ Ñ
Ê ÌÌ
,*& 22
l*e ff
o1e ff
q1e ff
g3e ff
l*e ff
<>0 884 <5
;10 784 2
<
hb_ j
ha `j
g1_ c=ha ^`
Šƒ ‰Œ1† ŠL‡
Œ1ƒ ‡BŒ1† „‰
®¯£ ®¯¦ ¥¥
¬1£ ª¯¦ ª§
®¯£ ®¢1¦ ¢¥
¬1£ ª¢1¦ ¬§
ËÌÊ ËÔ1Í ÑBÉ
Ô1Ê ÒÔ1Í ÒÚ
ËÌÊ ÕÉ1Í ÔÉ
Ô1Ê ÎÉ1Í ÚÚ
ËLÑÊ Ì1ÑÍ ÑÎ
Ô1Ê ËLÑÍ ÒÕ
ôLóì óöï ëð
ë1ì ðöï ÷ë
ôLóì óBë1ï ôö
ë1ì ðë1ï ðð
ôLóì îíï ôð
÷ì ííï ðë
'
,& 4-1( 56
01& 2*'!( 25
'
,& 4)1( )5
01& 2)1( 6!,
'
,& -*'!( -4
01& ,N'!( ''
m
le gj1h ii
r1e l;qh ll
m
le mqh gr
r1e oqh jf
m
le jr1h l.j
r1e gr1h od
moe foh j*m
r1e moh qq
moe l.r1h fo
r1e jr1h lNm
moe o!lh io
i1e foh f*m
moe o!lh ir
i1e foh l.f
moe gf1h l.g
i1e l.f1h oj
moe gdh gr
i1e l;dh jf
moe gr1h md
i1e l.r1h ji
moe gi1h do
i1e l.i1h r*m
moe m3f1h l.f
i1e of1h oo
moe mm!h jg
i1e om!h qj
m3g1e fj1h qq
i1e m3j1h dr
m3g1e og1h rd
l.f1e fg1h ii
m3g1e oqh dg
l.f1e fqh rj
m3g1e oqh ri
l.f1e fdh fl
m3g1e oqh id
l.f1e fdh fi
m3g1e gi1h oj
l.f1e l.i1h gd
mm!e lNm!h jq
l.f1e j*m!h qr
mm!e l;dh of
l.f1e jdh go
mm!e ooh do
lle foh r*m
mm!e gg1h m3r
lle l.g1h qf
mm!e gg1h ji
lle l.g1h d!l
mm!e m3f1h gl
lle of1h m3g
mm!e jqh gj
lle gqh md
m3j1e fg1h do
lle m3g1h r*m
m3j1e jg1h gi
l;oe gg1h jl
•;–—
˜™š
›œHœ_žBžHŸ ‹›†¡ ¢Ÿ
£¤¥
À;½Ç
ÎÏÐ
Ñ"ÒÓÔՐÑ_ÕBÖH×BØ!Ù
ÚÛÜ
ç;ãê
ñòó
ôõ_õôHö÷øBù úù ÷
ù ûBú
!"$#&% ')(+*$,.-/"&(!-&0$1&% 2
-&(!0
KNI
XYZ [+\!]!^F_a` b$` [cEd` He>f.g` [
_a^&]
KNL
iij
kl.m)n!o p+nl/qr+psmFp
r>pst
˜’
™š›
…œ‡‰ …&ˆžŸ†ˆ!…& >œ¡ $¢F£
¤¡ˆ! ‹–
¨©ª «¬$­ ®!¯!°²±$­ ³´
°&¯!±
½¶½
ÅÆÇ
ÈÉ.ÊÊË>É¡Ì$Í Î!Ê
ÏaÐ)Ñ
ÕÓà
Åãä å$É.æ!ÊÒaâ$ç.É.Ì)è+ÒaÌ$Í Ò
áÑFá
ÕÓÞ
éêë ì.í îî?ï¡ð$ñ&òì!ïôó&í õ)ï¡ó$öF÷
ødùú
aù!"!#%$ ø&')( *+
aù'
=6A
JKL
MONP Q2QSRT)UV
WXRT
^ej
k"lm
TCR2Rn"QoW&p!q)P Q
T)N2U
^ee
vwk
pCRr!xZyq)NX[zrQ
U)N2T
^e\
v{w
Uu|[}P WXRToZ2pu|[&R!Q
P q)~
^ed
vvv
[!R&QXZ2P TR&[!RT)U5R
ruQR
^\a
v‚ƒ
„X|!V)UiT)N2P ~
+„q
…†
‡ˆ‰
Š)‹2Œu‹2ŒŽ)ŒCސ!‘
’‹2“
…†
™‡ˆ
”"ŽŒ)Œ)‹šiŒCŽ)•2Š5ŽŒ
uŽ
…†
¨"©ª
“«+¬2‹C­zŽ“’2‹2•«
‹5¬
…†
‡‰™
— ‹2““DŽuši’2‹2•25ŽŒ)‘
u!°
…†
‡‰²
Œu«+“­³¬"ސ)“
Ž%2•
ÈHÉ"È
î"ï"ð
ù
¦§"¨¦§H¨
Ê
Ý!Þß
ï
üý"þüýHþ
©ª «3¬1­ ®®
ž ËÌ1Á Å!À
àá âãä âå
àá ëãä ã!ç
23+*
45 678 69
IJ KLM L
N
IJ PIM SW
IJ TWM R
U
wx yz{ |}
‹Œ Ž ސ
‹Œ —– •
‹Œ —’ Ž
‹
¶· ¸
¹º »¸
¶· Âĺ ½¿
ÓÔ Õ?Ö× ÓØ
ÓÔ ÕÝ× ØÜ
ÓÔ ÖÜ× Ú
Ó
ÓÔ ÚÕ
× ÓÓ
ýþ ÿ ýþ C!DFEG
un+v
…&†‡‰ˆ
¥¦+‡
†‡¤
´®+µ
´!°FµÃ
åaá$áÑ
W)[&R
Y2Tu[&t
U[zr
[€W&r!P
R![&R
R&W&r
— –}’
Ž!–&Ž
 — –}‹
— –€
H
Š
§/¦
³
ÈFÒaÌ$ËÉ
á
æè+å
Éáâ
FG+.H
H
C\+E
]!ghf
øaø
ûü+ø
,)-./0213)451
I
YCZX[
MiZ
p)rQst2Rq)T5R
W
YCZX[
W
R&QoR!Q
W
R&QoR!Q
W
YCZX[
W
”C•X–
˜
šCŽ&–&Ž%Š5Ž
§i•
®Ž&o®Ž!
˜
šCŽ&–&Ž%Š5Ž
«Ž&–•X˜
´2´2´µ¶)·2¸ ¹o´´2´)º»¼z½¾¿À Á »Â ½"Ã ĀŠ¿ÆÇÈÉËÊÌX¿À Á »Â ȼÄÍÎÎÏCÐ ÎÑÐ ÒDÏÓÒÊÄ ÏÏCÄ ÊÔ
”C•X–
¯ °;±²³
Ä À;ÅËÆ
æ ç;ãàè
æ ç;ããè
ÿ ;
ÿ ;ÿ 67 869 :;
=A7 B?9 BC=
\] ^\_ `a
\] hh_ ej
j] `h_ f5^
e] ^\_ ^\
\] ^g_ ^\
\] hj_ af
\] f"h_ ga
\] `a_ ^a
\] gj_ gC^
e] f5^_ ee
j] `\_ af
e] aj_ jf
: 69;
<
O K?P>KQ
O KIT
Q
O KI
PQ
~ €z

‘ Ž’
“
‘ ˜“
‘ Ž•“
¼ ½¶»
¾
¼ ½¶»
¾
Ù ÕÚÚ
Û
Ù ÕÞ
ÓÛ
Ù ÕÓÓÛ
Ù ÕÓàÛ
ý
ý
< =6:>
< =@E>
b ^\ac
b ^eec
b ^g`c
b ^Df"ac
b ^edc
b ^edc
b ^\fc
b ^\gc
b ^\hc
b ^jhc
b ^hgc
b ^gC^c
´1µ ¶·¸ ¹¶
Ì1¾ À.¿1Á ÅÍ
å1á éé1ä çç
ç.é1á â!çä âê
ÿ 45 998 =>6
LJ R
IM SR
WJ RWM I
P
WJ UK
M I
P
zx |{ |‚
”Œ •– —
”Œ •– —Ž
”Œ • –’
¿· ¹½
º À¿
¿· Á¿º ÄÂ
ÜÔ ÕÓ× ÓÜ
ÜÔ ÕØ× àÓ
ÜÔ Ú
à× Ø
Ó
ßÔ Øß× ÝÓ
þ ý
ÿþ ÿ ;7 ??9 66
;7 85=9 :B
d] `e_ f5^
^a] aj_ da
e] hg_ ^^
e] fj_ a^
d] `\_ eC^
^a] he_ ^a
^a] hj_ de
^^] a`_ \j
d] ^DfC_ dg
d] ^a_ `\
e] f"a_ `e
e] fg_ eC^
º »;¹·¼
Ä À;Å
ÀNÆ
æ ç;ààè
æ ç;ààè
: 6?=7
<
O KSI
Q
O KIWQ
O KIPQ
~ ‚}
‘ ˜>?“
‘ ‹>?“
‘ ŽŽ“
¼ ½À¸¾
¼ ½À¶
¾
Ù ÕÝØÛ
Ù Õ?ÖØÛ
Ù ÕÓÖÛ
Ù ÕÝßÛ
ýÿ ý
< =6"@>
< =6"A>
b ^\gc
b ^ejc
b ^^ec
b ^^ec
b ^\hc
b ^\gc
b ^\fc
b ^\hc
b ^\C^Dc
b ^e"ac
b ^hac
b ^^gc
½1¾ ¿!À*Á Â3Ã
½1¾ ÀÍ3Á Ç1¿
ê3á ëëä ìà
ã1á âà1ä éê
Ä À.ÅÃ*Æ
Ä À.½½Æ
æ ç.ãê*è
æ ç.àì*è
.ÿ .ÿ 95 =98 @;
TJ TIM LU
TJ TIM PR
NJ URM R
P
‚x |
ƒ{ €z
˜Œ —˜ –’
ŽŒ  ’’
˜Œ VŽ ‹‹
Á· Á½º ½Â
À· ¿º Á»
ÚÔ ÞØ× ßß
ÚÔ ÚÞ× ÕÖ
ÚÔ Úß× ÝÜ
ÝÔ Úà× Ú
Ö
þ þ ÿ ÿ A"7 8;"9 :B
:7 EA"9 AB
`"] ``"_ f"g
j] `C^_ \f
`"] hg_ ad
`"] hj_ he
j] ^g_ hC^
j] `a"_ je
j] `a"_ g"a
e] h`"_ \a
`"] `f_ he
`"] f"j_ dd
`"] hf_ `d
`"] `f_ `d
: 6A4
<
O KVT
N
Q
O KIN
Q
O KNWQ
~ V‚
€

‘ ‹—
“
‘ VŽ•“
‘ ˜‹
“
¼ ½¶¹
¾
¼ ½¶Ä¾
Ù ÕÖÜÛ
Ù ÕVÚØÛ
Ù ÕÓÓ
Û
Ù ÕVÜ
à
Û
Vý Vý < =6C=D>
< =68>
b ^efc
b ^\^Dc
b ^`ac
b ^gC^Dc
b ^\^Dc
b ^\ac
b ^\hc
b ^\`c
b ^ehc
b ^f"hc
b ^``c
b ^`gc
›œ žŸ › ¡¢¡£
žœ ¡›Ÿ ¤ž ¥›£
›œ ¤žŸ ¥ž ¡¦¤£
›œ ¢¦Ÿ ¦¢ ¥¥£
žœ ¤žŸ žC¡ ¦¯£
"œ ¯5¡Ÿ ¦¯ ¡¯ž£
›œ ¢¦Ÿ ž± ¥ž£
žœ ¯›Ÿ žC¡ ¡ ¤£
¥œ ¯Ÿ ¡ ¡ ¦£
žœ ¡D±CŸ ±± ¥¡£
"œ ¡¤"Ÿ › ¥ž£
¡¢œ ¡Ÿ ±5¡ ¡¦£
¦"œ ¤¥"Ÿ ±"¯ ¡¦£
95 BB
UJ RR
‚x „„
˜Œ ––
Á· »»
ÜÔ ØØ
ÚÔ ØØ
þ ÿÿ
=?"7 ??
g"h"] aa
fX^] aa
hh"] aa
hC^] aa
fd"] aa
``"] aa
^a
ǽ¾ ¿ÂÁ ý
À;¾ ÇÂÁ ÌÃ
ëãá ë3ê1ä ãí
ç.ì1á âê1ä íé
ÿ ÿ =45 648 ;
4
KSJ T
IM PW
PLJ STM SS
KTJ KTM PT
ƒzx ‚z{ ?ƒ
ŽŒ ” —˜
•’Œ Ž• –
˜Œ • ——
Á»· ¹½
º ¶
½¶· »½
º ÁÄ
ÚØÔ àà× ß
Ý
ÕÓÔ ØÞ× ØÜ
ÚÕ
Ô ÞÖ× ÞØ
ÕÜÔ Õ?Ö× Öà
þ ÿ þ ÿÿ
þ =7 ?8C7 =A9 8"E
E?7 AA9 AA
^] ^g] f"h_ \h
hd] gh_ d`
^] gC^] h\_ ^e
f"\] ^\_ gd
^] gh] ge_ a^
`a] ae_ ^h
^] gfC] fg_ ^h
`^] gg_ g`
^] h`] ^DfC_ \f
^] a^] `fC_ dj
^] hj] ae_ ^Df
^] ag] fe_ gj