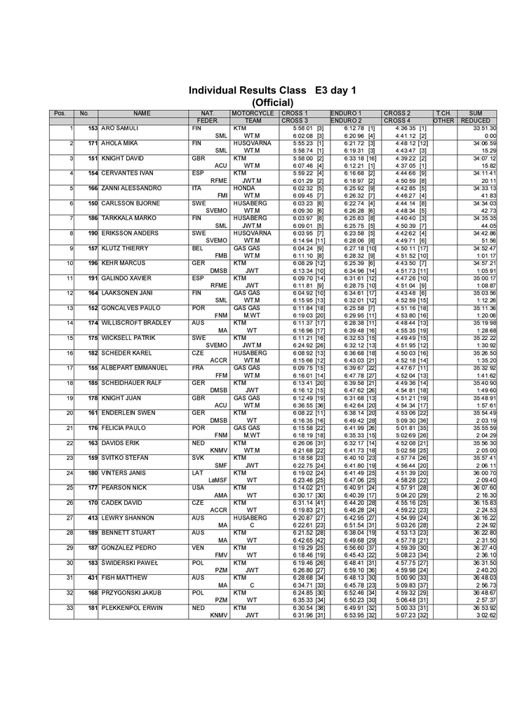
Individual Results Class E3 day 1 (Official)

Transkrypt

Individual Results Class E3 day 1 (Official)
c
¤
dfeg h(ijlkChmonpq
­f®
­ ¯(°±²¯´³oµ ¶J¯
Å
ÔfÕ
Ô Öר ÙÚÛQÜvÝÞ(Ø Ü
øfùú ûüýþFÿü þFÿ
ð
7
899 :;<"<>=?;@ABB;<>C"DFE
J
\]^ _`a>bccdIegfhdIa"e>i
w
ƒ„… †#‡ˆ"‰‰#‡Š‹‡ŒŽ‡|ˆ>‰
,QGLYLGXDO5HVXOWV&ODVV(GD\
2IILFLDO
"!#
$%&(''*)
+,-./1032
ACBDBFEG
rCq s
’“o”
·Cµ ¸
»ÏoÐ
ßàFá
óôõ
ü
"ý !#ü
tvuw
HBJIK
• –— ˜
*
¹º1»F¼1½¾(¿À¾
Ñ*ÒÓ Ï
âvãä
ö ã÷ ä
&$ %(') *
= G#;
HFEI<>C;
Y(GZ X
W#X =
cjki
l"m
c`fiaFn
c{|i}~d
j(€ }
‘ ’
“"”
•‡–—ˆF˜
•Œ¦Š
§&¨(†© Œ
²¸k®
¹"º
²¼»
½µ¯"´µ
² ½|®Ë~³
¸(ÌÍ Ë
Ö¼®Ò
×
µŽ²Ø×
µ>²
¸(ÌÍ Ë
Ù ËÚÖ
× ®¼¯
I
±ÌË
·
ËI²
Ö
Þ&¸(Ì
èê
ë
ìíî
é"ü#îÚè
ý&þ(í
üâ ã
ß
àŽêØß
à>ê
êî¦á
þ(í î
¡
«¬­ ®¯"° ±²²³I´¶µ´"·>®¯F²
Ã
«ÐÑ ±ÒºÌÓÔ̹>° ®¼¯>¯Õ
Î&À
«¬Ü ±®¹"¯Ë>µ¯FÝ|ºF²
ÎÎ
«¬« ß
àáâ ã>äFå(æà¼çâ èé
öú
á‹ààìêåIã"èãØý‹àã"â
ö&ù
'@*
AB
9DC C E 5 :#FEG
&H
E!
',/
A
9DC "I!K?L:C I
9D
'>$
N
"OG;I?L
P
'>1
F?E:#66"LL
5 2
',)
N
"OC GO2LJ2 5
',<
A
N
ILC O:QM
2
F
.=
R0
LG
C 9D
.2'
A
R
5 C EC S
.
.
R
T
G2C GC I
LG
.4
U
&C :IS: 5 E
0I
.*
N
V
C :!WMXC L:
bg
mn
n
op?qEr!\st;tu v"w
x\&q
b
`
mn
z
vq{pw#{q|Eu {
v}p
b
i
~2m3
Y
p2^Dr€\!2qtLt!st
qEx!\
bk
m„
…
‚ptLtLp2_2_W\_x2qr_
qEx!\
bl
m„
n
ƒst}qYp&}#op{rs
|Ept
c
j
m„

† ‡Sˆ ‰Š‹Œ!ˆŽ?!‡DŠ&
Ž‘’
Ÿ&—
¥?¦0§
¨&ˆ Œ!©ª”"L“2“©LŠ2‡
E«!Œ
Ÿœ
§­
®
Ž‹£0¯!°‘ ±²!³´,µ¶³·¸
¹º»
Æ
Æ
ÎÏ0Î
¹»
г³Ðѹº»KÐÒÌD´ Ñ
ÑLÐÓ
5 6
6"
&E6K
"
5&5 6
G!6!F
""
G!6!F
5 6
I6"
6 5
Y3Z[K\!]
q["q
qvv"r
["q
["q
]?["|
Ž2£”
”"
¹2˽
³Ñ½"Ô
!"#!
687 9;:
I2:6
9J:
I2:6
M,9J:7 6
OL!0F
9J:7 6
!"#!
9J:7 6
I2:6
M,9J:
!"#!
9J:7 6
I2:6
9J:
!"#!
687 9;:
I2:6
9J:7 6
I2:6
M,9J:
I2:6
^J_
w2_[
^J_
w2_[
^J_
Lx!\0q‚prƒ
v
w2_[
^J_
w2_[
^J_
2“”
¤,‡J“
2“”
¬
³2¼½
ÌJ¼
³2¼½
µ,ÌJ¼
LMN(OOQP
x
y xz
{ |C}
™C𠛐œC ›ž
Á
 ÁÁ
à ĉÅ
Á
 ÁÌ
à ʐË
å
æ åç
è éé
íCæ éòCè ð‰í
+, -. / 01
JK L MN O M
JK LSN T#Q
op qrs tr
op qs rq
™š ›œ ž Ÿ
™š ›ž ›ª
¾¿ ÀÁ ÃÄ
¾¿ ÎÏÊ ÃÊ
¾¿ ÀÊÂ È Ê
¾¿ ÎÎ Â Î&À
¾¿ ÀÉ ÈÃ
¾¿ Î&Á ÁÊ
ïð ñòó ôñ
ïð öö ó ÿö
ïð ñ÷ó ò ú
ïð ö&ûó òû
$&% '
'( )*
$&% ',<0( =
4
$&% '
'( 41
$&% '>$&( <$
$&% '
'( .2'
$&% .*2( <.
$&% =
)0( <.
$&% ',/0( $
$
$&% =
<0( 1/
$&% '>$&( =&'
$&% ',40( *'
$&% '>$&( '>.
$&% '>.&( *?<
$&% 4$&( /
/
$&% =
)0( .
.
$&% '>$&( 4
/
$&% ',/0( /
)
$&% ',)0( ',<
$&% .
$&( =$
$&% .2'( $)
$&% ',)0( /
)
$&% .
.&( 1/
$&% ',<0( =.
`&a bc0d e`
`&a y@e2d jb
`&a c
j0d y>i
`&a c&yd y@e
`&a y,l0d k
c
`&a bj0d ki
`&a b
b&d `2y
`&a b2yd gb
`&a eb&d `g
`&a y,l0d bl
`&a y,k0d e`
•&– —,˜0™ š•
•&– œ
•&™ ž
¢
•&– œž0™ •ž
•&– Ÿš2™ ¡2—
¾&¿ ÀÁ2Â Ã
Ä
¾&¿ Æ
Ä0Â Æ
Æ
¾&¿ Æ
Ç0Â ÄÁ
¾&¿ Æ&Í ɾ
~ f€
Ÿ f¡
Æ ÇÈ
Æ ÇÈ
ê ëì
ê ðì
RSTUM1NWV
C‚ ƒ…„C† ‡‰ˆ
¢C£ ¤‰¥
¦ §¢
ÉC Ävǐà ÊÄ
ÉC ǬÎ
à ÅCÇ
íCæ îî
è ï¬ç
íCæ ï…ëCè ëvï
Š ƒ…‹
¨ ©‰ª
Æ ÅÈ
Æ ÅÈ
ê ï…íì
ê ï…ì
+ ,' )+ .=+ '>1
+ '>1
+ '>$
+ .
$
+ ',4+ '>.
+ ',/+ '@*+ .=+ ',/+ ',<+ 4$
+ '
'>+ '>$
+ .
.
+ ',)+ 4&'>+ .
.
+ .4+ .*+ .*f bgh
f b2y>h
f c
jh
f ey>h
f b2y>h
f b
i
h
f bch
f bkh
f eb
h
f bgh
f y,lh
› œ
•

› œ
¡

› Ÿš
› Ÿ
Ÿ
Å Æ
ÇÈ
Å ÆÁÈ
Å Æ
ÃÈ
Å Æ&Í>È
$&% ./0( /
)
$&% .<0( <
/
$&% .)0( 4
)
$&% 4
<0( *?)
$&% 4.&( /
4
$&% 4.&( '>.
$&% 4$&( $)
$&% *?40( =
4
$&% 4
<0( $
1
$&% *1&( 1)
$&% 4
<0( /
)
$&% *1&( $
.
$&% 4&'( $)
$&% *.&( $*
$&% 4
)0( '@*
$&% *?<0( *.
$&% *'( <
<
$&% 4
/0( 4
4
$&% 4.&( '>1
$&% *'( 14
$&% *?=0( ',=
$&% *'( )
=
$&% *'( *?<
`&a ei&d j`
`&a e?j0d l&y
`&a e?j0d c
l
`&a e
e2d bj
`&a e`&d bk
`&a eb&d l
g
`&a g&yd ge
`&a c
k0d je
`&a e?l0d `k
`&a g`&d `j
`&a e?g0d e?c
•&– š?ž0™ š—
•&– ˜0™ —,¢
•&– š?ž0™ —,Ÿ
•&– š? 0™ ¡ž
¾&¿ ÄÀ& Á¾
¾&¿ Ä
Ç0Â ÀÆ
¾&¿ Á?É0Â É&Í
¾&¿ Ä
Æ0Â É
Ä
+ 1
+
' '>+ '
'>+ '>$
+ ',/+ ',4+ ',)+ .2'>+ .
.
+ .
1
+ .2'>+ .
$
+ ',4+ .=+ .=+ .)+ .
$
+ ',/+ '@*+ ',)+ .4+ ',<+ ./f bgh
f beh
f y>i
h
f bkh
f beh
f b
i
h
f c&y>h
f y,lh
f blh
f ci
h
f b
b
h
› Ÿ&—>
› Ÿ•

› Ÿ
¢
› œŸ
Å ÆÁÈ
Å Æ
ÇÈ
Å ÆÀ
È
Å ÆÀ
È
20 3
P QR
P[ R
uo v
uo v
¡¢
¤¢
ÅÆ Ç
Å ÎÎÇ
Å ÃÇ
Å ÉÇ
Å ÎÈÇ
Å Î&À Ç
õ öÏ÷ø
õ òø
õ ö&ñ ø
õ ö&ù ø
+, .&4/ 1 5
JK MQN S M
JK MJN O M
op tts w x
op tos tz
™š £¤ ¡œ
™š £¤ Ÿ¤
¾¿ ÈÁ ÄÉ
¾¿ ÈÉ À ¾
¾¿ ÈÆÂ Î&É
¾¿ ÈÉ Á È
¾¿ ÈÄ ÁÃ
¾¿ ÁÊ à ¾
ïð ùö ó ïö
ïð úÿó ôû
ïð ù÷ó ïö
ïð ù úó ñö
2 03
PS R
P [R
u xv
u ov
¡ ¢
¤ ¢
ÅÄ Ç
ÅÉ Ç
Å Î&À Ç
ÅÃ Ç
Å ¾Ç
Å ÎÏÊÇ
õ öúø
õ ö&ñ ø
õ öôø
õ öúø
4516(7798
:; <=;
XY1Z([[]\
Z^_`FY
ŒC‚ 
† ‰Ž Š ƒ‹
©C£ ©«f¦ «¬¤ ¨ ¤ª
ËCÂ Ë
ÌJÃ Ç¬Ä Æ Ç¬ÄÈ
ËCÂ Ë
ÅJÃ ËJÊ Æ ÅfÈ
ðCæ î‰ñJè ë‰ë ê ëì
ðCæ îò
è é‰å ê ïì
6, 7-#/ 71
TK T#MN UQ
TK T#JN M[
xp xxs yx
xp xz#s r x
¥š ¥›# ¥›
¥š ¤›# œž
Ê¿ Ê#È ¾È
Ê¿ ÊÃ#Â ÆÎ
Ê¿ ÄÀ#Â ÎÎ
Ê¿ ÄÎÂ ÄÈ
Ê¿ ÊÁ#Â ÄÀ
Ê¿ ÄÎÂ Æ#Á
÷ð ÷#ôó úï
÷ð ûöó ñ ÷
÷ð ÷ù#ó ÷ÿ
÷ð ûúó ûò
*&% /2'( ',$
*&% /4?( )=
*&% *0)?( **
*&% //?( 4/
*&% *0<?( *0<
*&% /2'( </
*&% /=?( =4
*&% /
.0( '3)
*&% *?10( $1
*&% /
.0( =*
*&% *0<?( 4
$
*&% /*&( )2'
*&% /2'( .'
*&% /*&( 4*
*&% /4?( =
$
/?% =<?( 4=
/?% =2'( )2'
/?% =
.0( $?<
*&% /
.0( =)
/?% =
.0( /)
*&% /
10( 1
*
*&% /
$0( **
*&% /2'( 4<
e&a gk?d b?k
e&a g
i0d l2y
g?a je&d b?j
e&a gg?d y,`
e&a gl?d bb
e&a ge&d ll
g?a jc?d b`
e&a gc?d y3c
e&a g
i0d i?k
e&a gl?d cl
g?a jk?d b?c
š&– ¡0™ ¡? š&– ˜?™ ˜ž
?– ¢¢?™ ˜¢
?– ¢˜?™ žŸ
Á&¿ ÄÉ? Æ
À
Ä?¿ Ç
¾0Â Á0Ã
Ä?¿ ÇÇ?Â ÆÆ
Ä?¿ Ç
Ê0Â À?Æ
2 43
P QR
P TR
u zv
u ‚v
Ϣ
Ÿ ¢
Å ÊÇ
ž Ç
Å Î&Æ Ç
Å ÎÛÀÇ
ÅÆ Ç
Å ÎÎÏÇ
õ öÛñø
õ òø
õï ø
õ öÛûø
+ '3)+ ',$+ '34+ '3<+ '3/+ ',.+ ',$+ '>*
+ ''@+ '34+ '>*
+ '3)+ '3<+ ',1+ ..+ 4
$+ 4/+ .$+ .'@+ .?/+ .$+ .?=+ .?=f bbh
f b?kh
f b?lh
f b?gh
f b?ch
f b
e
h
f b?kh
f b?ch
f by@h
f cjh
f ce
h
› œ¡
› œ
š

› ŸŸ
› Ÿ
¡
Å À?ÉÈ
Å Æ2Í@È
Å Æ2Í@È
Å Æ
ÀÈ
>?1@
Y`ab1X`a

‚ ŽCƒ† ‘
¥
¦ ¥¥
ÅfËv ͐ÉCà ÁÎ
ǬÁ
à ĉÎ
îfðvæ éòCè ï…ë
ï¬å
è çë
0-/ ..
OTK OON V&O
TV N UO
rxp rxs qr
xts wr
œ¥š œ¤ œ¤
¥¥ ›¤
ÁÊ¿ ÊÈÂ É ¾
ÄÎ Â Ä ¾
ÁÊ¿ Ä ÈÂ ÊÆ
Î ¿ ÀÎ Â ÎÆ
ÁÊ¿ Ä ÆÂ ÈÎ
Î ¿ ÀÄÂ ÃÎ
ùûð ññó öô
ö ð ñÿó ÿ ô
ùûð ñùó û ï
ö ð öúó úï
4
/0% '
'( 4$
'% .=0( =$
4
/0% ',<0( <
)
'% .)0( $)
4
/0% .
.&( .
.
'% 4
=0( <.
4
/0% .
$&( /
=
'% 4
/0( .=
4
/0% 4.&( <.
'% *'( $
.
4
/0% *?=0( <
=
'% *?<0( $=
4
/0% *?)0( <&'
'% /1&( $2'
4
/0% /*2( *?<
.&% =
40( ',<
4
/0% /
/0( /
<
.&% =*2( .<
4
/0% /$&( 4
=
.&% =
/0( =
=
4
/0% /1&( *'
.&% =$&( '
'
4$&% =
=0( 1=
b&a j
l0d e?j
c`&a ji&d `j
b&a y>`&d c
j
c`&a y,g0d k
c
b&a be2d g
c
c`&a y>`&d b
b
b&a be2d lb
c`&a b
b&d k
j
b&a c&yd g
j
c`&a b
i&d e?j
b&a c`&d y,j
Ÿ•&– Ÿ&—™ ¢
œ&– š?¢0™ œ¢
Ÿ•&– š?ž0™ ¢
Ÿ
œ&– •&™ ¡Ÿ
ƾ&¿ Á?Ã0 ¾
Ê
À&¿ ÄÊ&Â ÆÊ
ƾ&¿ Ä
Æ0Â ÉÀ
Æ0¿ ÇÀ&Â ¾
À
ÕÖ
ר
Ù
ÚÛÜ#ÚÛ!ÝÞ
ßà!á
&!
))*
+,.-0/213465 798$:;1
<0=?>
JF
WXY
Z\[]\^?_?`ba#`;c0]d;e\_\f `2ef `
]gcBZ
kn
z#Y{
|}~};€\~0?‚
ƒ„…
٤
ª$«U¬
œ.­D®9¯?°±œD­;²?š\³ ´
®0µ?¯
ÂÅ
Ê#ËÌ Í;ÎÏ\Ð0чÒÓÍ;ÔÕEև×2Ø\Ù Í.Ñ
Ú2Ï?Ð
èî
öö÷
øù\ù‡Ýúà;ï$àDð
à9ÜBÝ
ègô
ýþÿ
(
*I F
I!I
*I P
to
tu
*t r
*t |
w!x
w{
w$z
®!²
®©
®!®
®$§
®$±
Ü!Þ
ó!ù
ñö
ñô
ñ!ý
ñü
ñ$÷
ñó
ñ!ñ
ñ!û
ñþ
ñù
ûö
ûô
û!ý
ûü
û$÷
0*1!2
0R/S
00R
`*a!b
`*!€
`*ˆ!€
`*!Š
``ˆ
`*!b
b!b
`*a!“
µ¶!·
µ¿$À
À*Ã!Ä
µ¶!¿
µ·!Ç
ßà/á
343365798;: <
<3T898;: 4U>89: BV
X*B>?: <AY*B[ZB\: Z
cde9fg;hijkg9l
k~Cc~Ani9‚ƒgiA„kg;e
e9hmh†‰e?i9†_k‚
…*k~9†,i‹Ahm*k;nŒ k‚
m*kŒ †!hiƒh?g;Œ }
އ9Œ nh}‡9Œ †!†.i
‘kgCcAkUkld
”–•—,˜™;š›?œUž•Ÿ C¡£¢ ¤
¸¹º;žœ¹CŸœ¹»¦œœ
Á9œ¹A¡Â¢ ½9œ£™¹;½™ 9Á
¾C•¹™Å—Æ™ 9ž
¡;™š˜¢ ½‹¼9•Á?º
œ¹C¡™½;¢ š‹¦È™ 9¹;¢ š
â9ãäåÅæ$ãçAèéëêì[ã
î?ï 㠏ð
äâ ã â ;ãèUèCã ðÂêAè
ð î;êCäâ‹ä îAèïCã?ç
å åå ç è‹ÿ ð ïî è
â ð .ï çU!ì "
ð
ä î;$㠃
î %?ãîï
&
èAå [î ÿ;ã?å
íã ðÂãîƒî C)ð ç9ÿ
â %/ïå ð ðîï ç
â çAä»
ð î è +
ç9êï 'èäâ;ã ïâ ð ;è
èäâ %.ïãçƒã?î å
+îƒî ÿ9ãå
î &
ãî9ã.ä çï ç
9ï0
ï ãïãî
í î '"0î?ïCê9î =>?8
@C<B
5C]?4
cm?g
…d†
~Ck
ch?g
~Ck
~Ck
‡9~9‚
¥•¦
¼™½
ž?œ¦
¼C›?œ
Cš™
¦È™9˜
íã?î
íã?î
î
íã?î
íî9ã
êCè#
í%?î
ä'?ã
êCè#
íã?î
ä'?ã
ç ð
ç9ãÿ
ä'?ã
äç
í%?î
6"B
J"J"K L242MONP 1%Q%M
R%LS
6A
JWX GYT.S12SZT1[UQ%S
M2Z
(
""*
(
,
(*
(,
12#3
âLã!ä0åæçèé
ê&ë ì&íî í>ï ð ñò
ó
ô&õ ö?÷0ø ùú û üýþ
ÿ 3ÿ ÿ
- B5@
B;WB
B;5;58
k}~
…„j
k;jk
eAjAm
k;jk
k;jk
jk;j‰
¥›¡
¼9¡™
¸*¡£ž
™;¼;¼¹
™;¡™
Ê/Ë̉ÍAÎ
ÿAðè
ÿAðè
ð‰äê
ÿAðè
ã
;
ð
äê
;ä;äî
;
ð
ÿAðè
;ä;äî
çCð‰èåçCð
;ä;äî
ä9ð
äê
79@A<B>48C=
5
=AB<U=AB;<
5
79@A<?^A\B89VB
5
lnj
}
‡9~AkmhgCc
}
cAkUcAk;
}
lnj
}
cAkUcAk;
}
lnj
}
lnj
Žƒn’ j
˜¡
¾9 Aš™žœ¹CŸ
”ƒ˜
ŸA™šUŸA™;š
”ƒ˜
˜¡
¼
ŸA™šUŸA™;š
—.”ƒ˜
ɕ¹
σÐ
åïð
ä
åïð
ä
í èUí ;è
ìƒï
åïð
ä
â9êAè î9ç ìƒï
åïð
ä
åïð
ä
åïð
ä
åïð
ä
åïð
ä
â9êA$è &ãîCí
ä
åïð
åïð
ä
î
ä
â9êA$è &ãîCí
ìƒï / ð
åïð
ä
!
#$& &$(
DE F$DG HI
DE IDG ON
DE OKG K!K
DE I!IG N$O
DE FQ$G D!D
DE IQ$G I*P
op q!rs tu
op t*rs xt
op q!xs |$u
op t*rs x$o
op q$us zx
op w$os x{
op q!ws u!z
op t*ws r$o
op q$os x$z
op w{$s r!|
op t*xs oq
up x{$s {!{
op tus r!r
op w!ws q!w
§¨ ©ª$« ¬!¬
§¨ ®!´« ©!©
§¨ ©*®« ®!³
§¨ ®!´« ®©
§¨ ©±« ª.¬
±¨ ¯!¯« ±ª
§¨ ©±« ±ª
§¨ ®$§« ©*´
§¨ ®$§« ¬©
±¨ ¬$§« ©*²
§¨ ²!²« ¬$±
ÑÒ ÓÑÔ ÕÖ
ñò óô$õ ö÷
ñò ó$ñõ ûù
ñò ó!ùõ þô
ûò ô,ûõ ý$÷
ñò ó$ýõ þ!ó
ûò ö$ûõ ü$ý
ûò ö÷õ ÷ñ
ûò ö!ùõ ûþ
ñò ÷!÷õ ý!û
ñò ó$ýõ þô
ñò ó$ûõ ý!ý
ûò ô,ûõ þ$û
ñò ó$ûõ ûþ
ûò ö!öõ ü÷
ñò ü$ñõ ÷!÷
ñò ó!óõ ûö
ñò ó÷õ ÷*þ
ûò ö!ùõ þ$ñ
ûò ö÷õ ù!ó
ûò ý!ýõ ýö
ûò ö!öõ ýþ
ûò ô.þõ þ!ö
ñò ó$ýõ ü÷
ûò ý$÷õ ö!ö
ûò ýóõ ü÷
ûò ô,ûõ ýö
ûò ö$ûõ ü$ñ
ûò ýô$õ ÷*þ
ñò ó!üõ ÷*ü
ûò ô,ûõ ýô
ûò ô,ýõ ü!ö
ûò ÷*óõ ö$ñ
& '( )$&
& '!) $&
ME N$DG O!M
ME N$MG H!H
ME N$DG D!M
ME OQ$G Q.K
ME Q.NG FQ
ME F$OG P!H
up x!qs x$u
up {.xs r{
up z{$s x!|
up zws z{
op w!|s q!w
up z{$s |!w
up {,os q!r
up q$us {,z
up q{$s o!z
up zxs |$u
up x!|s z!u
up z$ts o$t
up q!xs oq
up zws |{
±¨ ¯!§« ©*²
±¨ ²!¬« §¬
±¨ ²!²« ¬ª
±¨ ©*®« ±$©
±¨ ¯$©« ²©
±¨ ²!²« ®!´
±¨ ²ª$« ©!©
±¨ ©*®« ³!´
±¨ ¯´« ´!²
±¨ ©§« ª.®
±¨ ¬$±« ª,¯
ÙÒ ÚÖ$Ô Ö,Ù
ûò ü$ûõ ÷ý
ûò ÷*üõ ûþ
ûò ô,ûõ ñ$÷
ûò ü$ýõ ù!ö
ûò ÷*ùõ ñ!û
ûò ó!ùõ ýþ
ûò ü$ýõ ö!þ
ûò ÷!÷õ ö$ñ
ûò ü!þõ ÷!÷
ûò ó!óõ ýô
ûò ü$ñõ û!û
ûò ó$ýõ ñ!ñ
ûò ó$ýõ ö!þ
ûò ó!ùõ ù$ñ
ûò ô.öõ ý$÷
ûò ýùõ þ!ù
ûò ü!ùõ ö$ñ
þò ô_÷õ ü!ó
ûò ÷ýõ ü!ö
ûò ó÷õ ý!û
ûò ó!öõ ñ!û
þò ö$ûõ ù$ý
ûò ó$ýõ ñ!û
þò ö÷õ ù!þ
ûò ó$ñõ ù!ó
ûò óô$õ ó!ö
ûò ó!óõ ü!þ
þò ö!óõ ü$û
þò ô.öõ ô.ù
þò ü!öõ ô,ñ
ûò óô$õ ù!ó
þò ö$ýõ ö÷
)* +,( (+
)* +.& +/'
P*E NF*G Q/P
P*E Q,IG FP
P*E NH*G IP
P*E Q.DG MO
P*E N$IG K!O
P*E Q,IG N!M
w*p {.us r!z
w*p {/r*s uo
w*p xw*s w$t
w*p z*x*s qq
w*p {.os |q
w*p zos {.u
w*p {{s z!t
w*p {.us u*x
w*p {.os o*|
w*p z!ts qx
w*p {.us z*r
w*p qw*s w{
w*p {/w*s q|
w*p z{s x!z
®*¨ ª,©« ¬³
®*¨ ²!±« ª.±
®*¨ ª/¬*« ²³
®*¨ ª/´*« §*²
®*¨ ¬$©« ²!¯
®*¨ ¯*²*« ³³
®*¨ ªª« ²®
®*¨ ¯!©« §*²
®*¨ ª/®*« ©³
®*¨ ª/®*« ³²
®*¨ ª/¬*« ²´
Ü*Ò Ö/Ü*Ô Ö.Ý
ó*ò ý*ö*õ þö
ó*ò üö*õ ý*ó
ó*ò ý*ù*õ ý*ö
ó*ò ÷þ*õ û*ü
ó*ò ô,÷õ þ$÷
ó*ò ý*þ*õ ù!ñ
ó*ò ýýõ ù$÷
ó*ò ÷ôõ ý*ù
ó*ò ô/ó*õ ñ*ü
ó*ò ôôõ ÷÷
ó*ò ýýõ ñ*þ
ó*ò üó*õ ÷*û
ó*ò ýýõ üö
ó*ò ü!ýõ ü!ñ
ó*ò ô/ö*õ ô/ó
ó*ò ý*ü*õ ýû
ó*ò ý!÷õ þ$÷
ó*ò ÷ö*õ ý*ó
ó*ò ýûõ ñý
ó*ò ÷ü*õ ý!÷
ó*ò ý*ó*õ ùó
ó*ò ÷ó*õ öó
ó*ò üôõ ùù
ó*ò óù*õ ü!ý
ó*ò üôõ ùö
ó*ò ÷ü*õ ñô
ó*ò üù*õ ùü
ó*ò ÷ù*õ ô/ö
ó*ò ý!÷õ ô/ü
ó*ò óü*õ üþ
ó*ò üôõ ÷÷
ó*ò óü*õ öô
F1%1
GH5
A.<.<DS
^vw]
†D}.†˜—
·.È.ÈDÉ
ïBð2ÝBñ
ðDà
TUV
4M1\
@[email protected]
<
hBdDcEhBd.c
x
|$~‡†
™š\› œ
¶$·D¸D·9¹g·
È
ÛÜBÝ?ÞBß\à;áâgà
òó
ÛÜBÝà;ñ\ù\á0û
ü
451
451
451
U
U
FG HFI JK
FG HTI ORN
ij klm nn
ij kkm ni
ˆ‰ Š‹$Œ Ž
ž Ÿ ¡ #¢
º» ¼½¾ ¿RÀ
º» Ǽ¾ ÂÅ
ãä åæç æ#è
ãä èåç îí
ãä èãç ãê
ãä êõç õæ
6#7 8"9$: ;<9
6#7 8A#: 99
6#7 9,A#: 66
6#7 EE$: ;;
6#7 ;IC: >,A
6#7 C9$: A"B
L JHM
L HTM
o kpq
o kyq
 А‘
£ Ÿ ¤
Á ÂÂÃ
Á Çg¿”Ã
é êëì
é èîì
é ííì
é êõì
" #$!%
" #$&!%
J I*K$L
J I*P$L
J F!P$L
J I*F$L
J I*F$L
J F!H$L
v w!x$y
v tu!y
v t*x$y
v t*r$y
v t*|$y
v wty
v t*w$y
v t!ty
v to!y
v w!x$y
v w{,y
v ox$y
v w!r$y
v w$z!y
­ ®$¯!°
­ ®$±!°
­ ®©°
­ ®!´$°
­ ®$§!°
­ ±$©°
­ ®$±!°
­ ®!®$°
­ §®$°
­ §ª,°
­ ©!©°
× ÓÑ!Ø
ø ó!ù$ú
ø ó$ñ!ú
ø ñù$ú
ø ñþ$ú
ø ñ!ý!ú
ø ñ!ý!ú
ø ûô,ú
ø ñü$ú
ø ó!ü$ú
ø óô,ú
ø ñ!ñ!ú
ø ñù$ú
ø ñ!û!ú
ø ó!ù$ú
ø ÷û!ú
ø ó!ü$ú
ø ñ$÷ú
ø ñ$÷ú
ø û!ý!ú
ø ûü$ú
ø ûö$ú
ø ûö$ú
ø ñô,ú
ø ûó$ú
ø þ$ý!ú
ø ñ!ñ!ú
ø û$÷ú
ø û!ý!ú
ø ñü$ú
ø ñ!û!ú
ø ûó$ú
ø þ!ü$ú
= 6">,?
= 6A?
= 6"E,?
= 66?
= 6A?
= @9,?
!#"$ "%
FG NHI H$O
FG NFI QH
ij rim ir
ij rsm tRk
މ ’’Œ “R’
¥ž ¦#¢$¡ ¦Ÿ
º» ĺ¾ ½Â
½» ÆÄ¾ ƺ
ãä íãç êã
ëä îãç îô
ãä í#è$ç ëå
ëä îíç í#è
@$7 9#;,: @@
@$7 ;D8#: 6"E
@$7 ;<9$: BC
@$7 ;D8#: C;
@$7 99$: C"6
@$7 8"@$: C;
&&
L JJM
L J#PM
o ksq
o krq
 ‹g“”‘
£ Ÿ§¤
Á ÂÅÃ
Á ÂÅÃ
é êãì
é èåì
é êíì
é èîì
" (*#$%
" (+,%
J I!IL
J I*F$L
J I*P$L
J IM!L
J I*H$L
J PIL
v tz!y
v t!ty
v w!q$y
v w!x$y
v t*x$y
v t*r$y
v w{,y
v w$u!y
v w!|$y
v to!y
v tu!y
v t*|$y
v w$u!y
v w{,y
­ ®!®$°
­ ®!²$°
­ §ª,°
­ §¬$°
­ ®©°
­ ®$§!°
­ ®!´$°
­ §ª,°
­ ®$§!°
­ §!¯!°
­ ©§!°
× Û$Ù!Ø
ø ñü$ú
ø ó!þ$ú
ø ó$ý!ú
ø ó!ó$ú
ø ñ!û!ú
ø ñ!û!ú
ø ñö$ú
ø ó!ù$ú
ø ñ$÷ú
ø ñ!ñ!ú
ø ñ!ý!ú
ø ñ$÷ú
ø ûö$ú
ø ñþ$ú
ø ÷*þ$ú
ø ó$ý!ú
ø ñó$ú
ø û!ñ!ú
ø ñ!ñ!ú
ø ñó$ú
ø ñþ$ú
ø û!ý!ú
ø ûô,ú
ø ûö$ú
ø ûü$ú
ø ñü$ú
ø û!ý!ú
ø ûô,ú
ø û!û!ú
ø ûþ$ú
ø ñù$ú
ø ñù$ú
= 6A?
= 6"B,?
= 6"@,?
= 6,C"?
= 6,C"?
= 66?
! '& ((
NG KNI FN
NG OO#I OUK
rj l$t#m lu
rj lpm yu
‰ ’’Œ •
ž ¦ ¡ $¨
Ä» ¿Uƾ ½½
Ä» ƽ¾ º½
íä îåç åè
íä ôRëç æå
íä îêç îê
íä ôUêç åí
B7 8"6$: 8B
B7 C$@: 6"6
B7 E,C#: B">
B7 B8$: B,C
B7 C6$: A;
A$7 9"9: >;
ÿ
ÿ & '#"$ &
JQG KOI ORJ
JG KTI VJ
knj lpm rp
kj tRsm yp
•މ “R’Œ Š–
Ÿž ¨R§¡ ©§
½» ¼Å¾ ÀÆ
» ÂÀ¾ ÄÆ
êëä ê#è$ç íå
êä èêç åå
êëä èåç îã
êä íîç ëã
%
L PHM
L JV#M
o kuq
o kr#q
 •Š‘
£ Ÿ¦#¤
Á ÇÀ#Ã
Á ÂÂ#Ã
é êãì
é èõ#ì
é êëì
é èî#ì
" )!$%
" (*$%
J FKL
J I*O$L
J II!L
J IPL
J INL
J IQ_L
v o{_y
v wxy
v t{_y
v w{_y
v w|y
v wry
v t|y
v t*u$y
v wry
v w!o$y
v o*xy
v o*qy
v wwy
v wqy
­ ®ª_°
­ §!©!°
­ ©*±$°
­ ©³°
­ ²³°
­ ®®°
­ ®¬°
­ ®!±$°
­ ®!§$°
­ ©©!°
­ ©*§$°
× ÓÛØ
ø ñý$ú
ø ñ*öú
ø ûô_ú
ø û*öú
ø óüú
ø óùú
ø ñ*óú
ø ññ$ú
ø ó!û$ú
ø üùú
ø ñ!÷!ú
ø ñý$ú
ø ñ*üú
ø ñô_ú
ø ÷óú
ø ó$÷!ú
ø ñû$ú
ø ñ*óú
ø û*öú
ø ñû$ú
ø ñ*þú
ø ñ*ùú
ø ûñ$ú
ø ûû$ú
ø û*óú
ø ñ*þú
ø û*ùú
ø û*üú
ø ññ$ú
ø ûñ$ú
ø û*üú
ø û*óú
= A>?
= 6;I?
= 6@?
= 6C?
= @"B?
= 6@?
¯¨ ¬¬
ôò öö
ýò öö
#$& (* !&
# )! #$&
F$ME PIG H!N
IE N!FG DN
F!KE N$DG H$O
IE Q.PG D!O
F!KE Q_IG H!N
IE OFG DN
q!rp {,os |$u
tp zws o!u
q!rp q{$s zx
tp q!|s |!x
q!rp q$us o{
tp tos q{
q!rp t!ts x$z
tp w$zs u!z
q!|p x{$s t*|
wp {.xs {.|
q!|p x!rs t!t
wp {,us {_t
q!|p {,os {.r
wp z$ts r!r
²!³¨ ¯!±« ±²
®¨ ²$§« ©*²
²!³¨ ²ª$« ³!¬
®¨ ©*¬« §¬
²!³¨ ²$§« ¬©
®¨ ©!©« ±$©
²!³¨ ²$±« ®!³
®¨ ©§« ¯³
²!³¨ ©*´« ´$±
®¨ ®$±« ®$±
²!³¨ ®!²« ±!±
ÑÒ Ú$ÝÔ ÓÙ
÷*öò ö!öõ ö!þ
ñò ö!þõ ûþ
÷*öò ýóõ ó$ý
ñò ü÷õ ý!ý
÷*öò ü$ýõ ù$ý
ñò ÷ô$õ ñ!ý
÷*öò ü÷õ ñô
ñò ÷*üõ üô
÷*öò ü$ûõ þ!ö
ñò ÷ñõ ó!ö
÷*öò ÷ýõ ñ!û
ñò óô$õ ü$û
÷*öò ÷!÷õ þ$ý
ñò ó!üõ ó$ý
÷*öò ÷*óõ ñù
ñò ó÷õ ü!ù
÷ô$ò ö$ýõ þ÷
ûò ô!ô$õ ó÷
÷ô$ò ô_÷õ ó!þ
ûò ýüõ ýþ
÷ô$ò ýþõ ñ!û
ûò ü$ûõ ü$û
÷ô$ò ÷*óõ ü!ö
ûò ó÷õ ö!ö
÷ô$ò ÷ñõ ó!ö
ûò ó!óõ ýö
÷ô$ò ó!þõ ñ!ý
þò ö$ûõ ü$ý
÷ýò ö!þõ ó!ö
þò ô,ûõ ýö
÷ýò ô.óõ þ!ö
þò ý$÷õ ó!ö
C"8#7 ;DA#: 6"E
@$7 8"B$: CE
C"8#7 8">$: >,A
@$7 E@$: AA
CE$7 ;<E$: 9#;
>$7 8;,: 6;
]]
^__ `ab cdfegh"b i&j
k%lm
Œ"”
–—— ˜š™›œž ŸŸ0 œ¡¢£.¡¤
ž ¡¥
©"¬
»¼<» ½¾¿ÀÁàĎÂ,ÆÇ ÈÂ ÆÆÀ
ÉÀÈ
éæ
ì"ì"í î&ïðñò%óô0õ%öò%÷õ%ø ò&ô
õ%÷ö
þ#ý
!"
#$%
1.
>>>
'? #A@B!A"DC
@FEF"
1-
IJK
L8M:NOQPODMR
S<NDT
]^
I(iJ
UMjNDk(MlmMnl n
l Nd
]a
IpK
Vd<M%nR8l g:SUTS,Vd
gq%S
†z
‰ŠŠ
‹Œ ŽŒ ytDŒ=‹Œ ŽŽŒ w8
‘,x(w
†ƒ
“(”•
–— ˜:™Fš›œ<š<žŸš›8— ˜
Fš¡
¤¤
“³´
±šµš(¶·£8¸ 8¹Fšµ
š<žDº
¤ª
““¼
½¾£¿š(¶·£:¸›F— ¾
š<žDº
ª¦
“´4”
»,µ— œš›À¸µo¸A — ›Fµ
ª,®
“¼4”
žœ¸›F›8š,œ<œÀœš›F›<¸ ˜:š
— ›Fµ
ª¯
“¼³
™(¸±µ— ˜Aš¢f±A— œ
˜¶%š
nop
‘’“
’
¦§¨0¦§¨
¶)·¸¹
·
ÊËÅ0ÊËÅ
Ú ÛÜ
Ý
ùðú
öî
&(')
8#8#:9
&(')
):8)H
g
rFsDt%uDvwxFy<w
‡
(’
w8‡8‡:x
‘,‘
¢(œ£
¢ £:±
¢(œ£
›F»£fš
£H˜:¹8—
¸8˜8˜:›
g
U(VL
LfS<LHNDl
£H˜:¹8—
#
U(VL
dFeLfS
›F»£fš
#
¢(œ£
˜
˜
˜
½D¸:ž½D¸8ž
˜
½D¸:ž½D¸8ž
˜
¢(œ£
˜
ÁÁÁ%Â%ÃFÄÅ ÆÁ%ÁÁFÇ%ÈÉ¿ÊË,ÌÍ Î ÈÏ ÊÐÏ ÑHÒ ÌÓÔÕÖØ×ÙÌÍ Î ÈÏ ÕÉ,ÑÚÛÛÜ(Ý ÛÞ4Ý ßoÜàßá4Ñ Üá4Ñ Ûâ
q#r s"t$u s"v
Œ#† ˆ,‰ ސ
©#ª «<¬$­ ®®
©#ª ²³$­ ©º
Ì#Í Î"Ï$Ð Ñ,Ì
Þ#ß à<á$â ãá
û#ü ý<þ$ÿ ýDû
û#ü #ÿ *,+ -.,/ -*
*,+ 514/ 5<;
*,+ .*,/ 7,;
*,+ 65(/ G7
W,X YW,Z [Y
W,X `[4Z `c
c,X a[4Z `Y
W,X ho^(Z Y(h
z,{ |,}~ <}
z,{ „4~ …|
ƒ,{ …ˆ,~ }}
ƒ,{ |4~ }„
¤4¥ ¦¦4§ ¨¦
¤4¥ ¯¦4§ ¯°
¤4¥ ¦¦4§ ¦¤
¤4¥ ¯¦4§ ®¬
²,¥ °¯,§ ²¤
²,¥ ¨ª4§ ¬­
²,¥ °­,§ ²¦
²,¥ °²,§ ­¤
¤4¥ ¦¨(§ ¦¨
¤4¥ ®=­,§ ­¨
¤4¥ ®¦4§ ®¬
¤4¥ ¯°4§ ®¬
w xy,z
‹ ”#D
¯ ©"°,±
¯ °,º±
Ò Ñ#ÓDÔ
ä ÞàDå
ûû
þ
0 123
0 163
0 1-3
0 113
\ ]^_
\ W[_
\ c]_
\ ca_
€ z‚
€ „‚
€ †|‚
€ †ƒ‚
© ª¦«
© ª,®=«
© ¤ª«
© ª¦«
© ¤²«
© ¤­«
© ¤¤«
© ²¤«
© ª,®=«
© ¤ª«
© ª¯«
© ª¯«
{$| }~# ~€
”$† …•$‰ …,Œ
°$ª «<°$­ ²³
°$ª ³³$­ ¬,©
Ñ$Í ÎÕ#Ð Ö×
á$ß æç$â Þè
þ$ü ý $ÿ þ þ$ü þ$ÿ û 14+ .5(/ .1
14+ 6.,/ ;=.
14+ .*,/ 51
14+ 6-4/ *(;
]4X YW,Z `[
[4X b,hZ hb
]4X b,hZ cc
]4X b]4Z ca
ƒ,{ }o(~ |
ƒ,{ }=ˆ,~ ƒ†
†4{ „4~ |
„4{ „4~ …
ª4¥ ¦¨(§ ¬¤
ª4¥ ®=¯,§ ­­
¤4¥ °ª4§ °,®
ª4¥ °²,§ ¬¬
¤4¥ ®°4§ ª°
®®¥ ®°4§ ¤°
¤4¥ °°4§ ¤¬
ª4¥ °­,§ ¯¯
ª4¥ ¨¦4§ ¬¤
ª4¥ ¨°4§ ­¤
ª4¥ ¨¯,§ ¨<®
®¦4¥ ®¦4§ ¤¤
 ‚ƒ,„
‹ ”•,
¯ °#«D±
¯ ©"¬,±
Ò Ñ×"Ô
ä éç,å
û
þ
0 1.3
0 1,;=3
0 123
0 1.3
\ ]a_
\ ]^_
\ Wa_
\ W`_
€ |‚
€ |‚
€ †„‚
€ †z‚
© ª¦«
© ¤²«
© ¤¤«
© ¤ª«
© ¤¦«
© ª¯«
© ¤²«
© ¤¤«
© ª,®=«
© ª¦«
© ª¯«
© ª,®=«
…† ‡,ˆ#‰ ˆ$Š
…† ˆ$”‰ Š"”
´ª ²µ$­ ®"®
µ$ª ®©$­ ²µ
ØÍ Ï"ÙÐ Ì"Î
ê$ß æ"çâ ë"ë
ü $ÿ ý"ý
$ü ý ÿ 6+ 524/ 71
24+ ;6/ -(;
6+ 547/ -G
24+ ;6/ 61
aX abZ Wb
c4X Y]Z ha
aX `(hZ c^
c4X b(hZ hc
|{ „~ 4…
|{ ˆ~ |
|{ z4~ zz
z4{ ,~ |
­4¥ ®¯4§ ¦°
­4¥ °¤§ ­ª
¬¥ ¬¬§ ¤¤
­4¥ ¯¤§ ¬¦
¬¥ ¨­4§ ¤­
­4¥ ¨4¦§ °¨
­4¥ ¦¯4§ ­­
­4¥ ¨²4§ ¨®
¬¥ ¬¬§ ¬¯
­4¥ ¨²4§ °°
­4¥ ¦¯4§ ¤¦
­4¥ ¨®§ ¬ª
‹ Œ"Œ,
‹ Œ"Ž,
¯ °«I±
¯ °º,±
Ò Ì"Î,Ô
ä éàIå
þû
þ
0 1.3
0 153
0 173
0 163
\ ]c_
\ ]c_
\ W^_
\ W[_
€ 4…‚
€ |ˆ‚
€ †…‚
€ †‚
© ª¯«
© ¤¤«
© ¤ª«
© ¤²«
© ¤¨«
© ¤ª«
© ª¦«
© ª¯«
© ¤¤«
© ª(®o«
© ª(®o«
© ª¦«
ˆ‡$† ˆ"Ž#‰ D
Š$† …•$‰ ”,
²³$ª ²°$­ ´°
¬$ª ´,©#­ º"°
×Ï$Í Ø,Î#Ð Ù,Ì
à<æ$ß ææ$â ÞÞ
ü $ÿ ý $ü #ý,ÿ ^,X bb
†{ 
,{ 
¤¥ ¦¦
®¦¥ ¦¦
®=¨,¥ ¦¦
®²4¥ ¦¦
¯<®¥ ¦¦
¯¨,¥ ¦¦
55(+ -14/ 6*
;74+ 5*,/ .*
55(+ -G4/ 7*
;74+ 5*,/ **
^^(X a^(Z cY
hhX b`4Z `Y
^a4X ac,Z c^
h=Y,X ba4Z `^
z,{ …ƒ,~ „ƒ
}=ˆ,{ z,~ zƒ
„4{ }=ˆ,~ ƒ
}|4{ ˆ(}~ }=ƒ
¬¬4¥ ¯¤4§ ¬ª
¯(®¥ °²,§ ¯ª
¬²,¥ ¦,®§ ¨²
¯°4¥ ®¦4§ ®=²
®¥ ¦,®¥ ®=²,§ °¦
¯²,¥ ¯­,§ ¦¦
®¥ ¦°4¥ ®o¨(§ ¬¯
¯ª4¥ ¯°4§ ¯¯
®¥ ¦ª4¥ ¯²,§ ²ª
°¬4¥ °­,§ ¨ª
®¥ ®°4¥ ®¦4§ ª¤
°ª4¥ ®ª4§ ­¤