dx

Transkrypt

dx
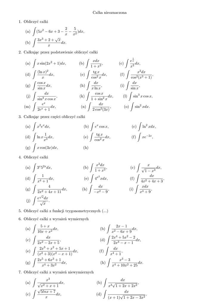
Całka nieoznaczona
1. Obliczyć całki
Z
2
5
(a) (5x2 − 6x + 3 − − 2 )dx,
x x
√
Z
3
3x + 2 + x
(b)
dx.
x
2. Całkując przez podstawienie obliczyć całki
Z
Z
xdx
2
(a)
x sin(2x + 1)dx,
(b)
,
1 + x2
Z
Z
tg x
(ln x)2
dx,
(e)
dx,
(d)
x
cos2 x
Z
Z
cos x
dx
(g)
dx,
(h)
,
sin x
x ln x
Z
Z
dx
cos x
(j)
,
(k)
dx,
sin3 x cos x
1 + sin2 x
Z
Z
ex
dx
(m)
dx,
(n)
,
x
2e + 1
2 cos2 (3x)
3. Całkując przez części obliczyć całki
Z
Z
(a)
x2 ex dx,
(b) ex cos x,
Z
Z
tg x
1
(e)
dx,
(d)
ln x 3 dx,
x
cos2 x
Z
(g)
x cos(3x)dx,
(h)
4. Obliczyć całki
Z
(a)
3x 52x dx,
Z
1
dx,
(d)
4
x +1
Z
4
(g)
dx,
2x2 + 4x + 11
Z √x
e dx
√ .
(j)
x
Z
(b)
Z
Z
1
ex
(c)
dx,
x2
Z
x2 dx
(f)
,
cos2 (x3 + 1)
Z
dx
(i)
,
sin x
Z
(l) sin3 x cos x,
Z
(o) sin2 xdx.
Z
ln2 xdx,
Z
xe−2x ,
(c)
(f)
x2 dx
,
1 + x2
Z
x
dx,
1 − x4
Z
dx
(f)
,
2
4x + 4x + 3
Z
xdx
(i)
,
x4 + 9
(c)
2
(e)
4x xdx,
Z
dx
(h)
,
−x2 − 9
√
5. Obliczyć całki z funkcji trygonometrycznych (...)
6. Obliczyć całki z wyrażeń wymiernych
Z
5+x
dx,
(a)
10x + x2
Z
dx
(c)
,
2x2 − 2x + 5
Z
2x3 + x2 + 5x + 1
(e)
dx,
(x2 + 3)(x2 − x + 1)
Z
2x5 + 6x3 + 1
(g)
dx,
x4 + 3x2
2x − 1
dx,
− 6x + 9
Z
2x4 + 5x2 − 2
(d)
dx,
2x3 − x − 1
Z
dx
(f)
,
4
x +1
Z
x3 − 3
(h)
dx.
x4 + 10x2 + 25
Z
(b)
x2
7. Obliczyć całki z wyrażeń niewymiernych
Z
Z
x3
dx
√
√
(a)
dx,
(b)
,
2
3
x +x+1
x 1 + 2x + 2x2
Z √
Z
5lnx + 7
dx
√
(c)
dx,
(d)
,
x
(x + 1) 1 + 2x − 3x2
Z √
(e)
q
x2
+ 2x + 4
dx,
(x − 1)2
√
x− 4x
√ dx,
3x + 4 x
Z
(f)
1+x
1−x
1−
Z √
(g)
3
Z
(h)
q
5
+x
dx,
1+x
1−x
dx
p
.
3
(x + 1)2 (x − 1)7