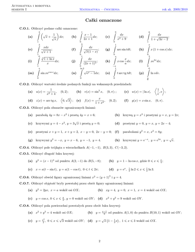
Całki oznaczone

Transkrypt

Całki oznaczone
Automatyka i robotyka
semestr I
rok ak. 2009/2010
Matematyka – ćwiczenia
Całki oznaczone
C.O.1. Obliczyć podane całki oznaczone:
Z1
Z2 √
1
x−1
x+ √
dx;
(b)
dx;
(a)
2x + 1
x
(e)
(i)
1
0
Z3
Z4
(f )
√
1+
0
1
Z1
Zπ
arc sin tdt;
(g)
(h)
0
0
Z2
dx
;
(2x + 1)3
√
(k)
x
x cos dx;
a
(l)
−a
Z1
ex − 1dx;
xe2x dx;
0
Ze
t arc tg tdt;
(o)
0
dx
√
;
3x − 2
x (1 + cos x) dx;
Za
(n)
0
(d)
0
0
Zln 2
sin xecos x dx;
dx
;
x(1 − x)
Z6
dx
;
x2 + 9
Z1
(j)
1
(m)
(c)
1
xdx
√
;
x+1
1
Ze √
4
1 + ln x
dx;
x
Zπ
Z9
(p)
0
ln vdv.
1
e
C.O.2. Obliczyć wartości średnie podanych funkcji na wskazanych przedziałach:
(a)
u(x) =
1
,
x2 + 4
(d) z(x) = arc tg x,
h0, 2i;
(b)
D √ E
0, 3 ; (e)
v(x) = sin3 x,
f (x) =
h0, πi; ;
x
,
1 + x2
(c) w(x) = | ln x|,
h0, 2i;
(f )
g(x) = x sin x,
1
,e ;
e
h0, πi.
C.O.3. Obliczyć pola obszarów ograniczonych liniami:
(a)
parabolą 4y = 8x − x2 i prostą 4y = x + 6;
(b) krzywą y = x3 i prostymi y = x, y = 2x;
(c)
√
krzywymi y = 4 − x2 , y = 3 x i prostą y = 0;
(d) prostymi y = 0, y = x, y = 2x − 4;
(e)
prostymi x + y = 1, x + y = 2, x − y = 0, 2x − y = 0; (f )
(g)
krzywymi y 2 = −x, y = x − 6, y = −1, y = 4.
parabolami y 2 = x, x2 = 8y;
(h) krzywymi y = e−x , y = e3x , y =
√
e.
C.O.4. Obliczyć pole trójkąta o wierzchołkach A(−1, −1), B(3, 3), C(−3, 2).
C.O.5. Obliczyć długość łuku krzywej:
(a)
y 2 = (x − 1)3 od punktu A(2, −1) do B(5, −8);
(b)
y = 1 − ln cos x, gdzie 0 ¬ x ¬
(c)
x = a(t − sin t), y = a(1 − cos t), 0 ¬ t ¬ 2π;
(d)
y = ex ,
1
2
ln 2 ¬ x ¬
1
2
π
4;
ln 3.
3
C.O.6. Obliczyć obwód figury ograniczonej liniami x2 = (y + 1) i y = 4.
C.O.7. Obliczyć objętość bryły powstałej przez obrót figury ograniczonej liniami:
(a)
y 2 = 2px, x = a wokół osi OX;
(c)
y = cos x, 0 ¬ x ¬
π
2,
(b) xy = 4, y = 0, x = 1, x = 4 wokół osi OX;
y = 0 wokół osi OY ; (d) x2 + y 2 = 9 wokół osi OY .
C.O.8. Obliczyć pola powierzchni powstałych przez obrót łuku krzywej:
(a)
x2 + y 2 = 4 wokół osi OX;
(c)
y=
x2
2 ,
0¬x¬
√
(b)
y=
3 wokół osi OY ; (d)
y=
2
x−1
9
√
od punktu A(1, 0) do punktu B(10, 1) wokół osi OY ;
x 1 − 13 x , 1 ¬ x ¬ 3 wokół osi OX.