Biuletyn IR 01.2014

Transkrypt

Biuletyn IR 01.2014
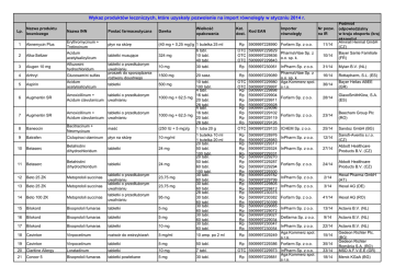
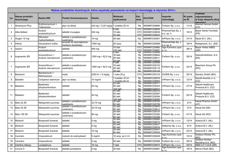
Wykaz produktów leczniczych, które uzyskały pozwolenie na import równoległy w styczniu 2014 r.
Nazwa produktu
Lp.
leczniczego
1
Aknemycin Plus
Nazwa INN
Postać farmaceutyczna
Dawka
Erythromycinum +
Tretinoinum
płyn na skórę
(40 mg + 0,25 mg)/g 1 butelka 25 ml
tabletki musujące
2
Alka-Seltzer
Acidum
acetylsalicylicum
3
Alugen 10 mg
Alfuzosini
hydrochloridum
4
Wielkość
opakowania
tabletki o przedłużonym
uwalnianiu
proszek do sporządzania
roztworu doustnego
324 mg
6 tabl.
10 tabl.
40 tabl.
10 mg
30 tabl.
Arthryl
Glucosamini sulfas
5
Aspirin
Acidum
acetylsalicylicum
6
Augmentin SR
Amoxicillinum +
Acidum clavulanicum
tabletki o przedłużonym
uwalnianiu
7
Augmentin SR
Amoxicillinum +
Acidum clavulanicum
tabletki o przedłużonym
uwalnianiu
8
Baneocin
Bacitracinum +
Neomycinum
maść
10 tabl.
500 mg
100 tabl.
4 tabl.
16 tabl.
1000 mg + 62,5 mg
20 tabl.
28 tabl.
4 tabl.
16 tabl.
1000 mg + 62,5 mg
20 tabl.
28 tabl.
(250 IU + 5 mg)/g
1 tuba 20 g
9
Batrafen
Ciclopiroxi olaminum
płyn na skórę
10 mg/ml
10
Betaserc
Betahistini
dihydrochloridum
tabletki
24 mg
11
Betaserc
Betahistini
dihydrochloridum
tabletki
24 mg
12
Beto 25 ZK
Metoprololi succinas
13
Beto 25 ZK
Metoprololi succinas
14
Beto 100 ZK
Metoprololi succinas
tabletki o przedłużonym
uwalnianiu
95 mg
15
Bilokord
Bisoprololi fumaras
tabletki
5 mg
16
Bilokord
Bisoprololi fumaras
tabletki
5 mg
17
Bilokord
Bisoprololi fumaras
tabletki
10 mg
18
Cavinton
Vinpocetinum
roztwór do wstrzykiwań
19
Cavinton
Vinpocetinum
20
Claritine Allergy
Loratadinum
21
Concor 5
Bisoprololi fumaras
tabletki
1500 mg
20 sasz.
Kat.
Kod EAN
dost.
Rp
Importer
równoległy
5909997228990 Forfarm Sp. z o.o.
OTC 5909997229829
PharmaVitae Sp. z
OTC 5909997229836
o.o. sp. k.
OTC 5909997229843
Rp
Bayer Sante Familiale
(FR)
31/14
Mylan B.V. (NL)
16/14
Rottapharm, S.L. (ES)
36/14
Bayer Hellas ABEE
(GR)
28/14
GlaxoSmithKline, S.A.
(ES)
23/14
Beecham Group Plc
(RO)
25/14
Sandoz GmbH (BG)
InPharm Sp. z o.o.
12/14
Sanofi-Aventis s.r.o.
(CZ)
InPharm Sp. z o.o.
27/14
Abbott Healthcare
Products B.V. (CZ)
Forfarm Sp. z o.o.
24/14
Abbott Healthcare
Products B.V. (CZ)
InPharm Sp. z o.o.
2/14
Hexal Pharma GmbH
(AT)
InPharm Sp. z o.o.
3/14
Hexal AG (DE)
Forfarm Sp. z o.o.
41/14
Hexal AG (RO)
InPharm Sp. z o.o.
13/14
Actavis B.V. (NL)
Delfarma Sp. z o.o.
9/14
Actavis B.V. (NL)
InPharm Sp. z o.o.
22/14
Actavis B.V. (NL)
Aga Kommerz spol.
s r.o.
15/14
5909997230061 InPharm Sp. z o.o.
PharmaVitae Sp. z
Rp 5909997229089
o.o. sp. k.
OTC 5909997229980 Aga Kommerz spol.
OTC 5909997229997 s r.o.
Rp 5909997229898
Rp 5909997229904
Forfarm Sp. z o.o.
Rp 5909997229911
Rp 5909997229928
Rp 5909997229096
Rp 5909997229102
Forfarm Sp. z o.o.
Rp 5909997229119
Rp 5909997229126
OTC 5909997229133 ICHEM Sp. z o.o.
Rp
Rp
Rp
Rp
Rp
Rp
Rp
Rp
Rp
Rp
Rp
Rp
Rp
Rp
Rp
Rp
Rp
Rp
Rp
Rp
Rp
Rp
5909997228976
5909997228983
5909997229317
5909997229324
5909997229331
5909997229270
5909997229287
5909997229294
5909997229300
5909997229782
5909997229799
5909997229805
5909997229812
5909997230375
5909997230382
5909997230399
5909997229065
5909997229072
5909997229027
5909997229034
5909997230047
5909997230054
5 mg/ml
10 amp. po 2 ml
Rp
5909997229249
tabletki
5 mg
50 tabl.
Rp
5909997229386 Forfarm Sp. z o.o.
tabletki
10 mg
7 tabl.
tabletki powlekane
5 mg
30 tabl.
23,75 mg
23,75 mg
11/14
Podmiot
odpowiedzialny
w kraju eksportu (kraj
eksportu)
Almirall Hermal GmbH
(CZ)
10/14
1 butelka 10 ml
1 butelka 20 ml
20 tabl.
50 tabl.
100 tabl.
20 tabl.
50 tabl.
60 tabl.
100 tabl.
30 tabl.
60 tabl.
30 tabl.
60 tabl.
28 tabl.
30 tabl.
60 tabl.
30 tabl.
60 tabl.
30 tabl.
60 tabl.
30 tabl.
60 tabl.
tabletki o przedłużonym
uwalnianiu
tabletki o przedłużonym
uwalnianiu
Nr pozw.
na IR
OTC 5909997229973 InPharm Sp. z o.o.
Aga Kommerz spol.
Rp 5909997229881
s r.o.
33/14
Gedeon Richter Plc.
(BG)
Gedeon Richter
România S.A. (RO)
MSD A.F.V.E.E (GR)
18/14
Merck KGaA (BG)
35/14
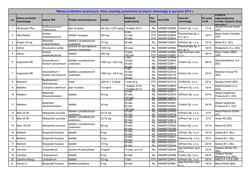
Wykaz produktów leczniczych, które uzyskały pozwolenie na import równoległy w styczniu 2014 r.
Nazwa produktu
Lp.
leczniczego
Nazwa INN
Postać farmaceutyczna
Dawka
Wielkość
opakowania
22
Concor Cor 2,5
Bisoprololi fumaras
tabletki powlekane
2,5 mg
28 tabl.
Rp
23
Concor Cor 5
Bisoprololi fumaras
tabletki powlekane
5 mg
28 tabl.
Rp
24
Daktarin
Miconazoli nitras
krem
20 mg/g
1 tuba 30 g
25
Emla
Lidocainum +
Prilocainum
krem
(25 mg + 25 mg)/g
26
Escitil
Escitalopramum
tabletki powlekane
10 mg
27
Estreva
Estradiolum
żel
0,1%
Meglumini
amidotrizoas + Natrii
amidotrizoas
Betahistini
dihydrochloridum
roztwór
(660 mg + 100
mg)/ml
tabletki
24 mg
Kat.
Kod EAN
dost.
PharmaVitae Sp. z
o.o. sp. k.
1 tuba 5 g
5 tub po 5 g
28 tabl.
56 tabl.
Rp
Rp
Rp
Rp
5902023771422 Pretium Farm Sp. z
5902023771507 o.o.
5909997229935
Forfarm Sp. z o.o.
5909997229942
1 tuba 50g
Rp
5909997230009 Forfarm Sp. z o.o.
1 butelka 100 ml
5 butelek po 100 ml
10 butelek po 100 ml
20 tabl.
30 tabl.
50 tabl.
1 tabl.
3 tabl.
1 dozownik 120 g
1 tuba 60 g
Rp
Rp
Rp
Rp
Rp
Rp
Rp
Rp
Rp
Rp
5909997230016
5909997230023
5909997230030
5902023771767
5902023771774
5902023771781
5909997229041
5909997229058
5909997230351
5909997230344
Gastrografin
29
Histigen
30
Ibandronic Acid Mylan Acidum ibandronicum tabletki powlekane
150 mg
31
Ketonal
żel
25 mg/g (2,5%)
maść do oczu
(1 mg + 3500 j.m. +
1 tuba 3,5 g
6000 j.m.)/g
Rp
kapsułki miękkie
60 mg + 300 mg
20 kaps.
Rp
Rp
Rp
Dexamethasonum +
Neomycini sulfas +
Polymyxini B sulfas
Alverini citras +
Simeticonum
Pretium Farm Sp. z
o.o.
Pretium Farm Sp. z
5902023771897
o.o.
5902023771903
OTC 5909997229256
28
Ketoprofenum
Importer
równoległy
19/14
Podmiot
odpowiedzialny
w kraju eksportu (kraj
eksportu)
Merck KGaA (ES)
6/14
Merck KGaA (ES)
Nr pozw.
na IR
17/14
5/14
29/14
38/14
InPharm Sp. z o.o.
42/14
Bayer Hellas ABEE
(GR)
Pretium Farm Sp. z
o.o.
4/14
Generics [UK] Limited
(GB)
Delfarma Sp. z o.o.
8/14
Mylan B.V. (NL)
InPharm Sp. z o.o.
43/14
Sandoz (FR)
45/14
Alcon-Couvreur n.v.
(CZ)
37/14
Laboratoires MAYOLY
SPINDLER (FR)
Aga Kommerz spol.
s r.o.
MB Pharma Spółka
5909997229393 z o.o. Spółka
Komandytowa
5909997229959
Forfarm Sp. z o.o.
5909997229966
5909997230405
32
Maxitrol
33
Meteospasmyl
34
Novynette
Ethinylestradiolum +
Desogestrelum
tabletki powlekane
0,02 mg + 0,15 mg
21 tabl.
63 tabl.
35
Nurofen dla dzieci
Junior truskawkowy
Ibuprofenum
zawiesina doustna
40 mg/ml
1 butelka 100 ml
1 butelka 150 ml
36
Pimafucort
krem
(10 mg + 10 mg +
3500 I.U.)/g
1 tuba 15 g
Rp
5909997229409 Delfarma Sp. z o.o.
44/14
37
Pimafucort
maść
(10 mg + 10 mg +
3500 I.U.)/g
1 tuba 15 g
Rp
5909997229379 Delfarma Sp. z o.o.
32/14
38
Sinecod
Butamirati citras
syrop
1,5 mg/ml
1 butelka 200 ml
Pretium Farm Sp. z
o.o.
30/14
39
Sintrom
Acenocoumarolum
tabletki
4 mg
20 tabl.
Natamycinum +
Hydrocortisonum +
Neomycinum
Natamycinum +
Hydrocortisonum +
Neomycinum
40
Tetralysal
Lymecyclinum
kapsułki twarde
300 mg
41
Voltaren Emulgel 1%
Diclofenacum
natricum
żel
10 mg/g
16 kaps.
28 kaps.
1 tuba 50g
2 tuby po 50 g
1 tuba 100 g
OTC 5909997229003
InPharm Sp. z o.o.
OTC 5909997229010
OTC 5902023771705
Johnson and Johnson
Hellas Consumer (S.A.)
(GR)
AstraZeneca UK
Limited (GB)
EGIS Pharmaceuticals
PLC (CZ)
Teva Pharma Belgium
S.A. (BE)
Rp
5909997230368 Forfarm Sp. z o.o.
Rp
Rp
OTC
OTC
OTC
5909997229355
ICHEM Sp. z o.o.
5909997229362
5909997230078
5909997230092 Forfarm Sp. z o.o.
5909997230085
34/14
14/14
39/14
26/14
40/14
Gedeon Richter Plc.
(BE)
Reckitt Benckiser
Deutschland GmbH
(DE)
Astellas Pharma Kft.
(HU)
Astellas Pharma Kft.
(HU)
Novartis Hungária Kft.
(Consumer Health
részlege) (HU)
Novartis Pharma
GmbH (RO)
Galderma (UK) Limited
Meridien House (GB)
Novartis Consumer
Health GmbH (DE)
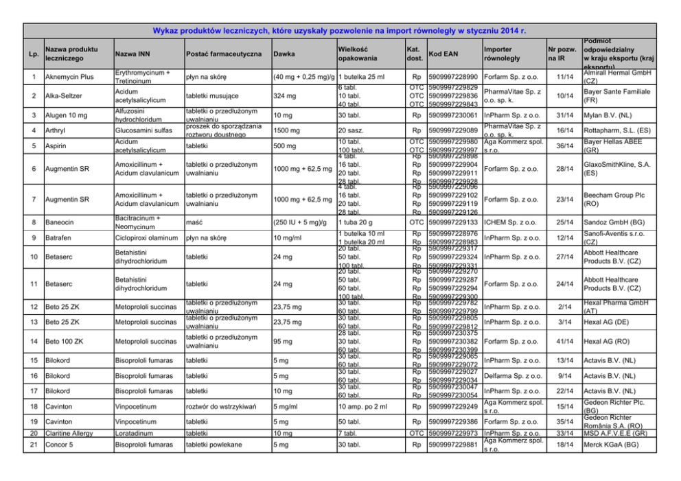
Wykaz produktów leczniczych, które uzyskały pozwolenie na import równoległy w styczniu 2014 r.
Nazwa produktu
Lp.
leczniczego
Nazwa INN
Postać farmaceutyczna
Dawka
42
Xanax
Alprazolamum
tabletki
1 mg
43
Xefo Rapid
Lornoxicamum
tabletki powlekane
8 mg
44
Zentel
Albendazolum
tabletki do rozgryzania i
żucia
45
Zentel
Albendazolum
zawiesina doustna
Wielkość
opakowania
Kat.
Kod EAN
dost.
30 tabl.
50 tabl.
100 tabl.
10 tabl.
20 tabl.
30 tabl.
Rp
Rp
Rp
Rp
Rp
Rp
400 mg
1 tabl.
Rp
400 mg/20 ml
1 butelka 20 ml
Rp
Importer
równoległy
5909997229850
5909997229867 InPharm Sp. z o.o.
5909997229874
5909997228945
5909997228952 Forfarm Sp. z o.o.
5909997228969
Pretium Farm Sp. z
5902023771910
o.o.
5909997229263
PharmaVitae Sp. z
o.o. sp. k.
Nr pozw.
na IR
21/14
1/14
7/14
20/14
Podmiot
odpowiedzialny
w kraju eksportu (kraj
eksportu)
Pfizer spol. s r.o. (CZ)
Nycomed Austria
GmbH (RO)
Omega Pharma
Portuguesa,
Unipessoal, Lda. (PT)
Omega Pharma
Portuguesa,
Unipessoal, Lda. (PT)