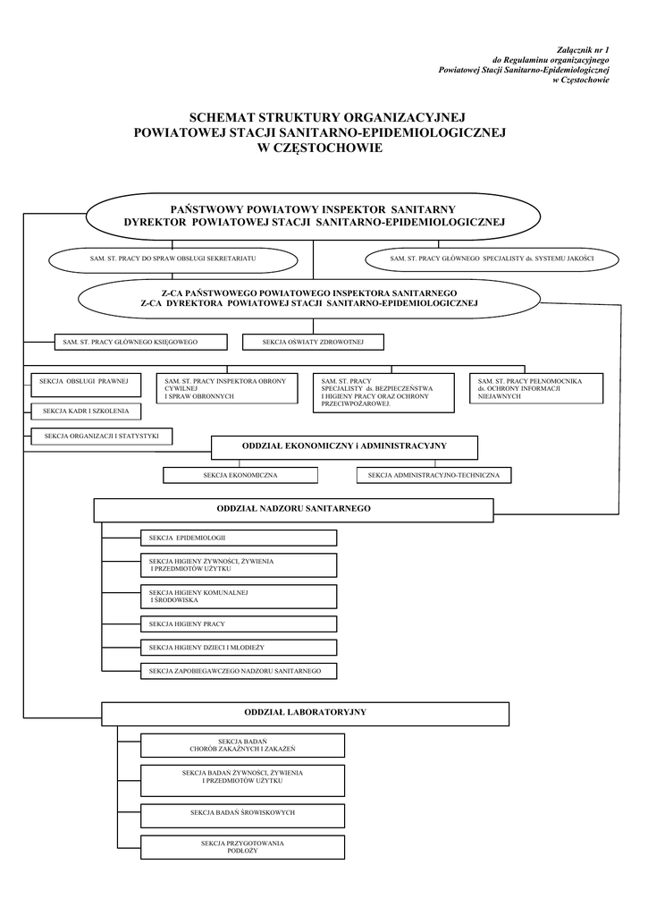
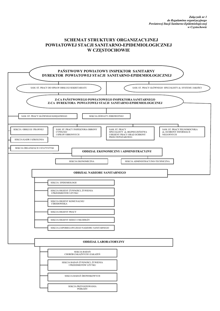
SCHEMAT STRUKTURY ORGANIZACYJNEJ

Transkrypt

SCHEMAT STRUKTURY ORGANIZACYJNEJ
Załącznik nr 1
do Regulaminu organizacyjnego
Powiatowej Stacji Sanitarno-Epidemiologicznej
w Częstochowie
SCHEMAT STRUKTURY ORGANIZACYJNEJ
POWIATOWEJ STACJI SANITARNO-EPIDEMIOLOGICZNEJ
W CZĘSTOCHOWIE
PAŃSTWOWY POWIATOWY INSPEKTOR SANITARNY
DYREKTOR POWIATOWEJ STACJI SANITARNO-EPIDEMIOLOGICZNEJ
SAM. ST. PRACY DO SPRAW OBSŁUGI SEKRETARIATU
SAM. ST. PRACY GŁÓWNEGO SPECJALISTY ds. SYSTEMU JAKOŚCI
Z-CA PAŃSTWOWEGO POWIATOWEGO INSPEKTORA SANITARNEGO
Z-CA DYREKTORA POWIATOWEJ STACJI SANITARNO-EPIDEMIOLOGICZNEJ
SAM. ST. PRACY GŁÓWNEGO KSIĘGOWEGO
SEKCJA OBSŁUGI PRAWNEJ
SEKCJA OŚWIATY ZDROWOTNEJ
SAM. ST. PRACY INSPEKTORA OBRONY
CYWILNEJ
I SPRAW OBRONNYCH
SAM. ST. PRACY
SPECJALISTY ds. BEZPIECZEŃSTWA
I HIGIENY PRACY ORAZ OCHRONY
PRZECIWPOŻAROWEJ.
SAM. ST. PRACY PEŁNOMOCNIKA
ds. OCHRONY INFORMACJI
NIEJAWNYCH
SEKCJA KADR I SZKOLENIA
SEKCJA ORGANIZACJI I STATYSTYKI
ODDZIAŁ EKONOMICZNY i ADMINISTRACYJNY
SEKCJA EKONOMICZNA
SEKCJA ADMINISTRACYJNO-TECHNICZNA
ODDZIAŁ NADZORU SANITARNEGO
SEKCJA EPIDEMIOLOGII
SEKCJA HIGIENY ŻYWNOŚCI, ŻYWIENIA
I PRZEDMIOTÓW UŻYTKU
SEKCJA HIGIENY KOMUNALNEJ
I ŚRODOWISKA
SEKCJA HIGIENY PRACY
SEKCJA HIGIENY DZIECI I MŁODIEŻY
SEKCJA ZAPOBIEGAWCZEGO NADZORU SANITARNEGO
ODDZIAŁ LABORATORYJNY
SEKCJA BADAŃ
CHORÓB ZAKAŹNYCH I ZAKAŻEŃ
SEKCJA BADAŃ ŻYWNOŚCI, ŻYWIENIA
I PRZEDMIOTÓW UŻYTKU
SEKCJA BADAŃ ŚROWISKOWYCH
SEKCJA PRZYGOTOWANIA
PODŁOŻY