Przykładowe zadania z pochodnych 1

Transkrypt

Przykładowe zadania z pochodnych 1
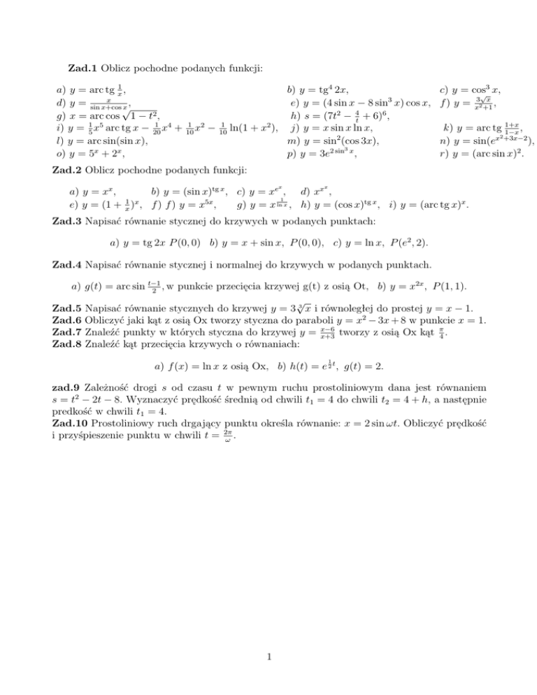
Zad.1 Oblicz pochodne podanych funkcji:
a) y = arc tg x1 ,
x
d) y = sin x+cos
,
x
√
g) x = arc cos 1 − t2 ,
1 4
i) y = 15 x5 arc tg x − 20
x +
l) y = arc sin(sin x),
o) y = 5x + 2x ,
b) y = tg4 2x,
e) y = (4 sin x − 8 sin3 x) cos x,
h) s = (7t2 − 4t + 6)6 ,
1 2
1
x − 10
ln(1 + x2 ), j) y = x sin x ln x,
10
m) y = sin2 (cos 3x),
3
p) y = 3e2 sin x ,
3
c) y = cos
x,
√
3 x
f ) y = x2 +1 ,
k) y = arc tg 1+x
,
1−x
x2 +3x−2
n) y = sin(e
),
2
r) y = (arc sin x) .
Zad.2 Oblicz pochodne podanych funkcji:
x
x
a) y = xx ,
b) y = (sin x)tg x , c) y = xe , d) xx ,
1
e) y = (1 + x1 )x , f ) f ) y = x5x ,
g) y = x ln x , h) y = (cos x)tg x , i) y = (arc tg x)x .
Zad.3 Napisać równanie stycznej do krzywych w podanych punktach:
a) y = tg 2x P (0, 0) b) y = x + sin x, P (0, 0), c) y = ln x, P (e2 , 2).
Zad.4 Napisać równanie stycznej i normalnej do krzywych w podanych punktach.
a) g(t) = arc sin t−1
, w punkcie przecięcia krzywej g(t) z osią Ot, b) y = x2x , P (1, 1).
2
√
Zad.5 Napisać równanie stycznych do krzywej y = 3 3 x i równoległej do prostej y = x − 1.
Zad.6 Obliczyć jaki kąt z osią Ox tworzy styczna do paraboli y = x2 − 3x + 8 w punkcie x = 1.
tworzy z osią Ox kąt π4 .
Zad.7 Znaleźć punkty w których styczna do krzywej y = x−6
x+3
Zad.8 Znaleźć kąt przecięcia krzywych o równaniach:
1
a) f (x) = ln x z osią Ox, b) h(t) = e 2 t , g(t) = 2.
zad.9 Zależność drogi s od czasu t w pewnym ruchu prostoliniowym dana jest równaniem
s = t2 − 2t − 8. Wyznaczyć prędkość średnią od chwili t1 = 4 do chwili t2 = 4 + h, a następnie
predkość w chwili t1 = 4.
Zad.10 Prostoliniowy ruch drgający punktu określa równanie: x = 2 sin ωt. Obliczyć prędkość
i przyśpieszenie punktu w chwili t = 2π
.
ω
1