PRZEKROJE KONSTRUKCYJNE zjazd

Transkrypt

PRZEKROJE KONSTRUKCYJNE zjazd
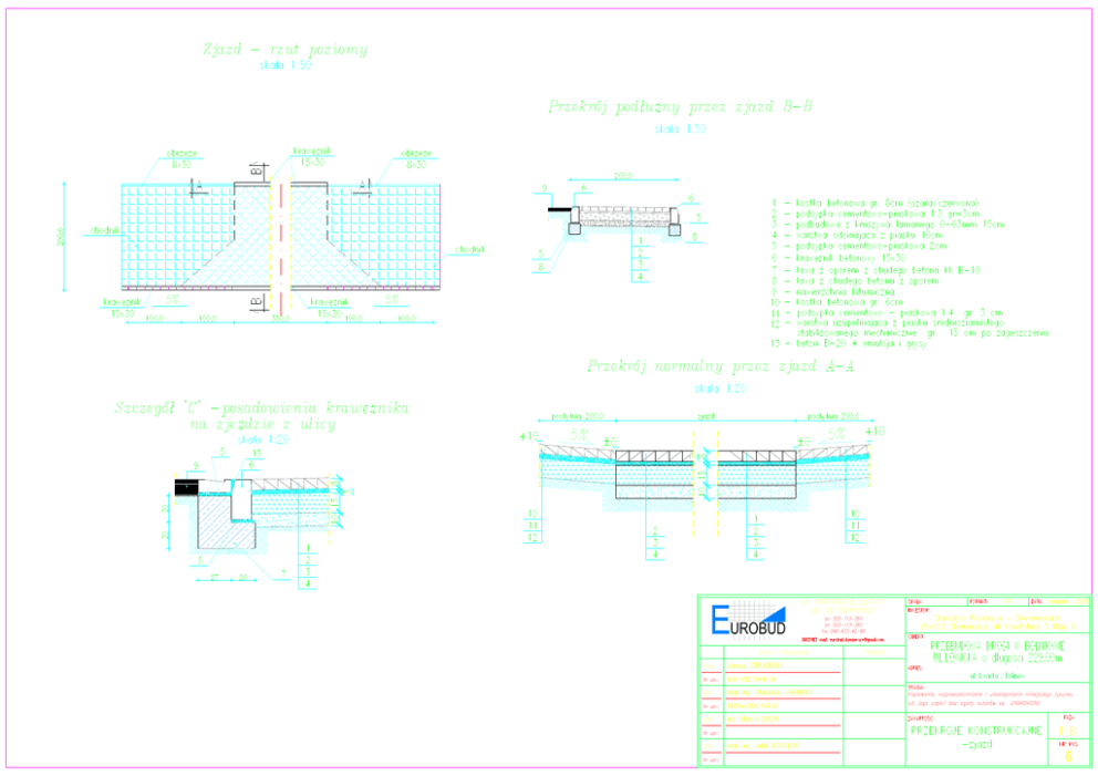
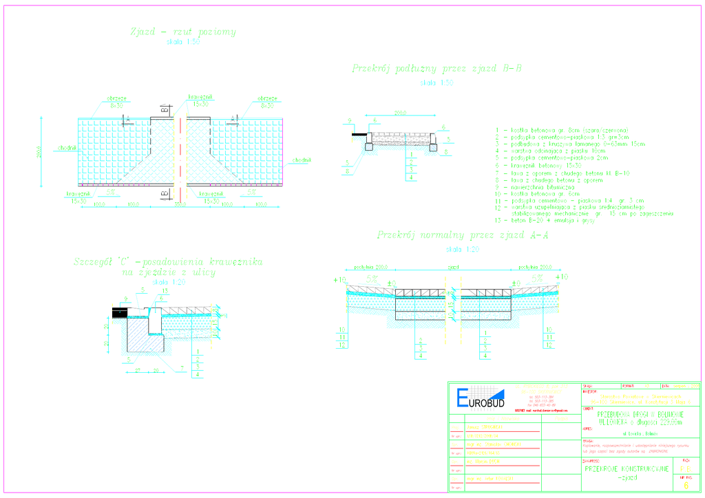
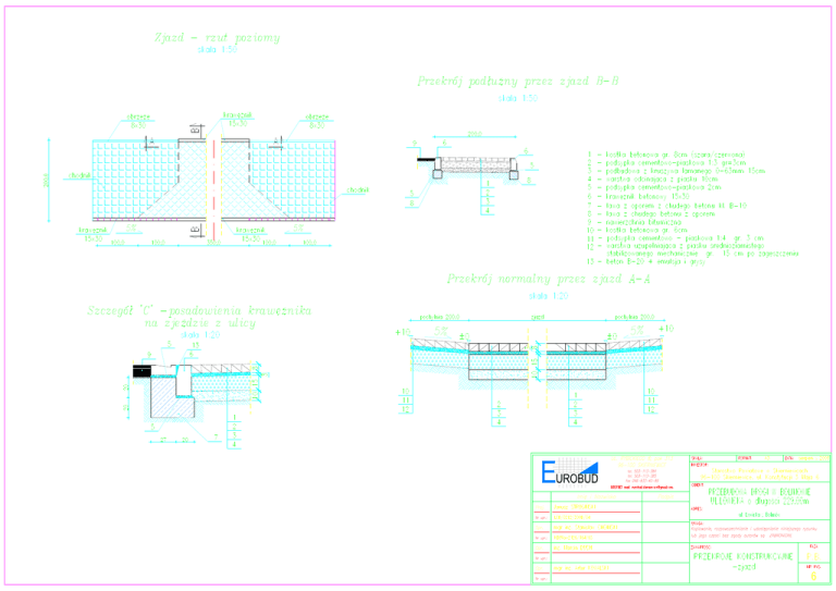
Zjazd - rzut poziomy
skala 1:50
Przekrój podłużny przez zjazd B-B
skala 1:50
krawężnik
15x30
B
obrzeże
8x30
obrzeże
8x30
A
9
200,0
6
6
1
2
3
4
5
6
7
8
9
10
11
12
kostka betonowa gr. 8cm (szara/czerwona)
podsypka cementowo-piaskowa 1:3 gr=3cm
podbudowa z kruszywa łamanego 0-63mm 15cm
warstwa odcinająca z piasku 10cm
podsypka cementowo-piaskowa 2cm
krawężnik betonowy 15x30
ława z oporem z chudego betonu kl. B-10
ława z chudego betonu z oporem
nawierzchnia bitumiczna
kostka betonowa gr. 6cm
podsypka cementowo - piaskowa 1:4 gr. 3 cm
warstwa uzupełniająca z piasku średnioziarnistego
stabilizowanego mechanicznie gr. 15 cm po zagęszczeniu
13 - beton B-20 + emulsja i grysy
5
chodnik
5%
krawężnik
15x30 100,0
B
chodnik
100,0
350,0
krawężnik
15x30 100,0
8
1
2
3
4
5
8
5%
100,0
-
Przekrój normalny przez zjazd A-A
Szczegół 'C' -posadowienia krawężnika
na zjeździe z ulicy
skala 1:20
pochylnia 200,0
+10
±0
±0
8
3
10 15
20
5
27
20
pochylnia 200,0
+10
5%
3
8
13
6
9
5%
zjazd
10 15
5
skala 1:20
20
200,0
A
7
1
2
3
4
10
11
12
10
11
12
1
2
3
4
2
3
4
EUROBUD
UL. RYBICKIEGO 8; pok 313
96-100 SKIERNIEWICE
tel. 503-113-384
tel. 503-113-385
fax 046-833-40-89
INTERNET mail: [email protected]
Imię i Nazwisko
Proj.
Janusz STRUGIŃSKI
Nr upr.:
LOD/0212/ZOOD/04
Spr.
mgr inż. Stanisław CHOIŃSKI
Nr upr.:
KBU1a-2126/164/65
Opr.
inż. Marcin DUCH
Nr upr.:
Opr.
Nr upr.:
mgr inż. Artur KOWALSKI
SKALA:
INWESTOR:
FORMAT:
A3
DATA: sierpień ; 2008
Starostwo Powiatowe w Skierniewicach
96-100 Skierniewice, ul. Konstytucji 3 Maja 6
OBIEKT:
Podpis
ADRES:
PRZEBUDOWA DROGI W BOLIMOWIE
UL.ŁOWICKA o długości 229,00m
ul. Łowicka ; Bolimów
UWAGA:
Kopiowanie, rozpowszechnianie i udostępnianie niniejszego rysunku
lub jego części bez zgody autorów są ZABRONIONE
ZAWARTOŚĆ:
PRZEKROJE KONSTRUKCYJNE
-zjazd
FAZA
P.B.
NR RYS.
6