PRZEKROJE KONSTRUKCYJNE-zjazd-Tory

Transkrypt

PRZEKROJE KONSTRUKCYJNE-zjazd-Tory
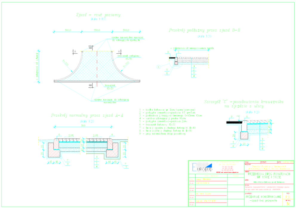
Zjazd - rzut poziomy
skala 1:100
350,0
Przekrój podłużny przez zjazd B-B
300,0
skala 1:50
B
rzedne nawierzchni nawiazać
do istniejących rzędnych
A
9
krawężnik zatopiony
15x30
0
30
R=
30
0
R=
C
w zależności od umiejscowienia zjazdu
6
1
2
3
4
5
8
Przekrój normalny przez zjazd A-A
skala 1:20
300
6
6
2,0%
kostka betonowa gr. 8cm (szara/czerwona)
podsypka cementowo-piaskowa 1:3 gr=3cm
podbudowa z kruszywa łamanego 0-63mm 15cm
warstwa odcinająca z piasku 10cm
podsypka cementowo-piaskowa 2cm
krawężnik betonowy 15x30
ława z oporem z chudego betonu kl. B-10
ława zwykła z chudego betonu kl. B-10
proj. nawierzchnia drogi powiatowej
skala 1:20
9
6
20
5
8
1
2
3
4
20
20
20
20
10 15 3 8
2,0%
-
8
1
2
3
4
5
6
7
8
9
Szczegół 'C' -posadowienia krawężnika
na zjeździe z ulicy
3
rzedne nawiazać do istniejącej
nawierzchni
10 15
B
krawężnik
15x30
2
w zależności od sytuacji
A
20
300,0
15
18
7
9
1
2
3
4
18
15
7
5
E
UL. RYBICKIEGO 8; pok 313
96-100 SKIERNIEWICE
UROBUD
Imię i Nazwisko
Proj.
Janusz STRUGIŃSKI
Nr upr.:
LOD/0212/ZOOD/04
Spr.
inż. Jacek Szyszka
Nr upr.:
Opr.
Nr upr.:
Podpis
FORMAT:
DATA:
czerwiec, 2008
Starostwo Powiatowe w Skierniewicach
ul Konstytucji 3 Maja 6, 96-100 Skierniewice
OBIEKT:
PRZEBUDOWA DRÓG POWIATOWYCH
NR 1318E I 5103E
ADRES:
Maków-Krężce-Dąbrowice; powiat Skierniewice
UWAGA:
Kopiowanie, rozpowszechnianie i udostępnianie niniejszego rysunku
lub jego części bez zgody autorów są ZABRONIONE
Nr upr.:
Opr.
tel. 503-113-384
tel. 503-113-385
fax 046-833-40-89
INTERNET mail: [email protected]
SKALA:
INWESTOR:
mgr inż. Artur KOWALSKI
ZAWARTOŚĆ:
PRZEKROJE KONSTRUKCYJNE
-zjazd bez przepustu
FAZA
P.B.
NR RYS.
5c