proces przyłączeniowy do sieci wod-kan

Transkrypt

proces przyłączeniowy do sieci wod-kan
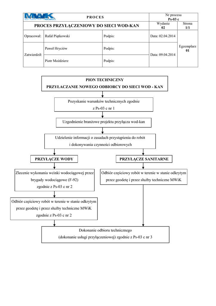
Nr procesu
Ps-03 c
Wydanie
Strona
02
1/1
PROCES
PROCES PRZYŁĄCZENIOWY DO SIECI WOD-KAN
Opracował:
Rafał Piątkowski
Podpis:
Paweł Hryciów
Podpis:
Data: 02.04.2014
Egzemplarz
01
Zatwierdził:
Data: 09.04.2014
Piotr Moździerz
Podpis:
PION TECHNICZNY
PRZYŁACZANIE NOWEGO ODBIORCY DO SIECI WOD - KAN
Pozyskanie warunków technicznych zgodnie
z Ps-03 c nr 1
Uzgodnienie branżowe projektu przyłącza wod-kan
Udzielenie informacji o zasadach przystąpienia do robót
i dokonywania czynności odbiorowych
PRZYŁĄCZE WODY
PRZYŁĄCZE SANITARNE
Zlecenie wykonania wcinki wodociągowej przez
Odbiór częściowy robót w terenie w stanie odkrytym
brygady wodociągowe (F-92)
przez geodetę i przez służby techniczne MWiK
zgodnie z Ps-03 c nr 2
Odbiór częściowy robót w terenie w stanie odkrytym
przez geodetę i przez służby techniczne MWiK
zgodnie z Ps-03 c nr 2
Dokonanie odbioru technicznego
(dokonanie usługi przyłączeniowej) zgodnie z Ps-03 c nr 3