1. Informacja o kontrolach przeprowadzonych przez Wydział Inspekcji

Transkrypt

1. Informacja o kontrolach przeprowadzonych przez Wydział Inspekcji
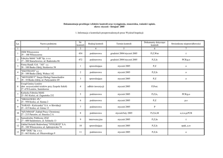
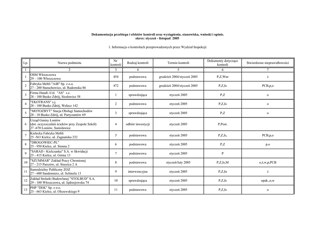
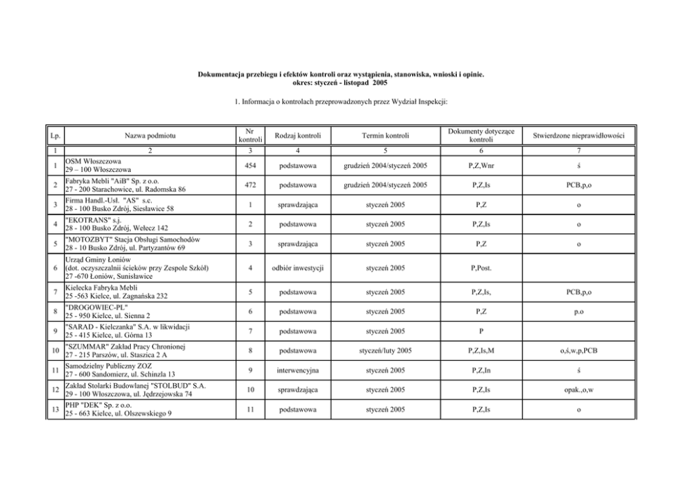
Dokumentacja przebiegu i efektów kontroli oraz wystąpienia, stanowiska, wnioski i opinie.
okres: styczeń - listopad 2005
1. Informacja o kontrolach przeprowadzonych przez Wydział Inspekcji:
Lp.
Nazwa podmiotu
1
2
Nr
kontroli
3
Rodzaj kontroli
Termin kontroli
4
5
Dokumenty dotyczące
kontroli
6
Stwierdzone nieprawidłowości
7
1
OSM Włoszczowa
29 – 100 Włoszczowa
454
podstawowa
grudzień 2004/styczeń 2005
P,Z,Wnr
ś
2
Fabryka Mebli "AiB" Sp. z o.o.
27 - 200 Starachowice, ul. Radomska 86
472
podstawowa
grudzień 2004/styczeń 2005
P,Z,Is
PCB,p,o
3
Firma Handl.-Usł. "AS" s.c.
28 - 100 Busko Zdrój, Siesławice 58
1
sprawdzająca
styczeń 2005
P,Z
o
4
"EKOTRANS" s.j.
28 - 100 Busko Zdrój, Wełecz 142
2
podstawowa
styczeń 2005
P,Z,Is
o
5
"MOTOZBYT" Stacja Obsługi Samochodów
28 - 10 Busko Zdrój, ul. Partyzantów 69
3
sprawdzająca
styczeń 2005
P,Z
o
6
Urząd Gminy Łoniów
(dot. oczyszczalnii ścieków przy Zespole Szkół)
27 -670 Łoniów, Sunisławice
4
odbiór inwestycji
styczeń 2005
P,Post.
7
Kielecka Fabryka Mebli
25 -563 Kielce, ul. Zagnańska 232
5
podstawowa
styczeń 2005
P,Z,Is,
PCB,p,o
8
"DROGOWIEC-PL"
25 - 950 Kielce, ul. Sienna 2
6
podstawowa
styczeń 2005
P,Z
p.o
9
"SARAD - Kielczanka" S.A. w likwidacji
25 - 415 Kielce, ul. Górna 13
7
podstawowa
styczeń 2005
P
10
"SZUMMAR" Zakład Pracy Chronionej
27 - 215 Parszów, ul. Staszica 2 A
8
podstawowa
styczeń/luty 2005
P,Z,Is,M
o,ś,w,p,PCB
11
Samodzielny Publiczny ZOZ
27 - 600 Sandomierz, ul. Schinzla 13
9
interwencyjna
styczeń 2005
P,Z,In
ś
12
Zakład Stolarki Budowlanej "STOLBUD" S.A.
29 - 100 Włoszczowa, ul. Jędrzejowska 74
10
sprawdzająca
styczeń 2005
P,Z,Is
opak.,o,w
13
PHP "DEK" Sp. z o.o.
25 - 663 Kielce, ul. Olszewskiego 9
11
podstawowa
styczeń 2005
P,Z,Is
o
14
Grupa Ożarów S.A.
27 - 530 Ożarów, Krasy 77
12
sprawdzająca
styczeń 2005
P,Z
15
DS. SMITH-POLSKA S.A.
25 -639 Kielce, ul. Malik ów 150
13
sprawdzająca
styczeń 2005
P
14
podstawowa
styczeń 2005
P,Z,Is,In
Firma Produkcyjna Wędlin i Wyrobów
16 Wędliniarskich
28 - 230 Połaniec, ul. Ogrodowa 1
o,p
o,SZWO
17
Przetwórstwo Owoców i Warzyw "GOMAR"
25 - 372Kielce, ul. Skrajna 58
15
podstawowa
styczeń 2005
P,In
18
"PETRO-PLUS" Stacja Paliw wł. Krawczyk
25 - 320 Kielce, ul. Domaszowska 71
16
podstawowa
styczeń 2005
P,Z
19
"NAPA" Sp. j.
26 - 100 Skarżysko Kamienna, ul. Łyżwy 128
17
sprawdzająca
styczeń/ luty 2005
P
20
PUPH wł. Struski
26 - 060 Chęciny, Os. Sosnówka 1 c
18
odbiór inwestycji
styczeń 2005
P,Z,Post.
o
21
Zakład Uboju i Wyrobu Wędlin
28 - 160 Wiślica, Koniecmosty 82
19
podstawowa
styczeń 2005
P,Z,Is,Ir
ś,o
22
Naprawa Pojazdów "Grzyb"
28 - 100 Busko Zdrój, Mikułowice 119
20
podstawowa
styczeń 2005
P,W,Is,In
23
"STAR-GAZ"
28 - 100 Busko Zdrój, ul. Wojska Polskiego 119
21
podstawowa
styczeń 2005
P,Z,Is
24
Specjalistyczne Gospodarstwo Drobiarskie
28 - 100 Busko Zdrój, Mikułowice 3
22
sprawdzająca
styczeń/luty 2005
P,In
25
"CABAŁA COMPLEX" Stacja Paliw w Jasieńcu
gm. Słupia Jędrzejowska
23
odbiór inwestycji
styczeń 2005
P,Is
26
Zakłady Wyrobów Metalowych SHL S.A.
25 - 953 Kielce, ul. Zagńska 27
24
interwencyjna
styczeń 2005
P
27
Drukarnia "Duet" Sp. j.
25 - 415 Kielce, ul. Górna 11 a
25
odbiór inwestycji
styczeń 2005
P,Is,Post.
26
sprawdzająca
styczeń 2005
P,Z,Is
o
Urząd Gminy Sadowie
28 (dot. składowisko odpadów Grocholice)
27 - 580 Sadowie
o,p
ś,o
29
Przedsiebiorstwo Wielobranżowe
26 - 130 Suchedniów, ul. Kościuszki 4
27
podstawowa
styczeń 2005
P,Z,Is
o
30
Spalarnia Odpadów Medycznych "EXPOL-BIS" Sp. j.
26 - 110 Skarżysko-Kam. , ul. Solkola
28
interwencyjna
styczeń/luty 2005
P,Z,Wns,Ir,In,M
p,o
31
Sprzedaż Detaliczna Paliw - Gaz
26 - 060 Chęciny, Korzecko 87
29
interwencyjna
styczeń 2005
P,Is,Ir
Warsztat Rzemieślniczy
32 Grażyna i Janusz Cymbra
28 - 300 Jedrzejów, Mniów 167
30
sprawdzająca
styczeń 2005
P,Post.
Krajowa Spółka Cukrowa S.A.
33 Cukrownia "Częstocice"
27 - 400 Ostrowiec Św., ul. Świętokrzyska 27
31
sprawdzająca
styczeń 2005
P,Post.
34
PPHU "ASKO"
26 - 110 Skarżysko Kamienna, ul. 1-go Maja 78
32
sprawdzająca
styczeń/marzec/kwiecień 2005
P
35
"TABEX-OZMO" Sp. z o.o.
27 - 400 Ostrowiec Św. , ul. Sandomierska 112
33
sprawdzająca
styczeń 2005
P,W,In
34
sprawdzająca
styczeń 2005
P,Is
35
sprawdzająca
styczeń/luty 2005
P,Z
"DS. SMITH Polska" S.A.
38 25 - 639 Kielce, ul. Malików 150
36
sprawdzająca
styczeń/luty 2005
P
Zakład Cukierniczy wł. M.Fit
39 26 - 085 Miedziana Góra, ul. Liliowa 3
37
podstawowa
styczeń 2005
P,Z,Ir,Is,In
p,o
"DALKIA POLSKA" S.A. Obiekty w Jędrzejowie
40 28 - 300 Jędrzejów, ul. Przypkowskiego 37
38
sprawdzająca
styczeń/luty 2005
P,Z,Is
p,o
"HENKEL POLSKA" S.A. Zakład Produkcyjny
41 26 - 220 Stąporków, Stara Góra
39
podstawowa
luty/marzec 2005
P,Is
Areoklub Pińczowski
42 28 - 400 Pińczów, ul. Legionistów 26 a
40
sprawdzająca
luty 2005
P,Post.
Celsa Huta Ostrowiec Sp. z o.o.
43 27 - 400 Ostrowiec, ul. Samsonowicza 2
41
sprawdzająca
luty 2005
P,Z
MPEC Sp. z o.o.
44 25 -611 Kielce, ul. Mielczarskiego 139
42
sprawdzająca
marzec/kwiecień 2005
P,Z
Komenda Miejska Policji - kotłownia
45 25 - 008 Kielce, ul. Staszica 14
43
interwencyjna
luty 2005
P,In
Zakład Produkcyjny Opakowan Tekturowych
46 "SŁAWAL" s.c.
26 - 110 Skarżysko Kamienna, ul. Rejowska 99
44
sprawdzająca
luty/kwiecień 2005
P
Zakład Regeneracji Tworzyw Sztucznych
47 26 -230 Radoszyce, ul. Mickiewicza 3
45
interwencyjna
luty 2005
N,Is
Urząd Gminy Małogoszcz
36 (dot. składowiska odpadów w Mieronicach)
28 - 366 Małogoszcz, ul.Jędrzejowska 15 a
37
PPHU "WTÓRPOL" Zakład Pracy Chronionej
26 - 110 Skarżysko-Kam., ul. Żurawia 1
o,p
o
Miejski Zarząd Dróg
48 25 - 384 Kielce, ul. Prędowskiej 7
46
odbiór inwestycji
luty 2005
P,Post.
Przeds. Remontowo Montażowe "REMUR"
49 28 - 400 Pińczów, ul. Grodziskowa 15
47
podstawowa
luty 2005
N
Stacja Paliw "ANGIELSCY" Sp. j.
50 26 - 020 Chmielnik, Śladków Mały
48
podstawowa
luty 2005
P,Z,Is
o
ZPUH "METROL"
51 28 - 100 Busko Zdrój, Zwierzyniec
49
sprawdzająca
luty 2005
P,Z,Is,M
o,w,p
Zakład Gospodarki Komunalnej
52 (dot. czyszczalni ścieków w Gnojnie)
28 - 114 Gnojnie
50
sprawdzająca
luty 2005
P,Z
ś
P.H.T "Supon" Sp. z o.o.
53 25- 110 Kielce, ul. Sandomierska
52
sprawdzająca
luty 2005
N
Zakład Przetwórstwa Mięsnego Hochel Ryszard
54 26 - 065 Micigózd, ul. Częstochowska 6
53
interwencyjna
luty 2005
P,Z,Wns,Wnr,Ir
o
PPUH "STAR-POL"
55 26 - 050 Zagnańsk, Lekomin 23
54
interwencyjna
luty 2005
P,Z,Is,Ir
o,ś
Zakład Energetyki Cieplnej
56 28 - 200 Staszów, ul. Langiewicza 14
55
sprawdzająca
luty 2005
P,Z,Is
p
Budowlano-Montażowa Spółdzielnia Pracy
57 "BUDOMONT"
28 - 200 Staszów, ul. Towarowa 7
56
podstawowa
luty 2005
N
Odlewnie Wyrobów Kanalizacyjnych Sp. z o.o.
58 26 - 200 Staporków, ul. Staszica 1A
57
sprawdzająca
luty 2005
N
Urząd Miasta i Gminy Chmielnik
59 (dot. składowiska odpadów w Suchowoli)
26 - 020 Chmielnik, Pl. Kościelny 5
58
sprawdzająca
luty 2005
P,Is
Wojewódzki Szpital Zespolony
60 25 - 736 Kielce, ul. Grunwaldzka 45
59
sprawdzająca
Luty 2005
P,Z,Is,In
azbest,o
OSM Bidziny
61 Oddział w Staszowie
28 - 200 Staszów, ul. Parkowa 9
60
sprawdzająca
luty 2005
P,Z,Is
p
Bar Mleczny
62 28 - 200 Staszów, Rynek 6
61
interwencyjna
luty 2005
P,Z,In
p
Spalarnia Odpadów Medycznych ZOZ Busko
63 28 - 100 Busko Zdrój, ul. Bohaterów Warszawy
62
sprawdzająca
luty 2005
P,Z
o,p
PPU "ARFOX"
64 28 - 330 Wodzisław, Mierzawa 66
63
sprawdzająca
luty/kwiecień 2005
P
Poligrafia S.A.
65 25 - 323 Kielce, ul. Manifestu Lipcowego 24
64
sprawdzająca
luty 2005
P,Z,Is
Posesja prywatna
66 26 - 026 Morawica,Bilcza-Podgórze
65
interwencyjna
luty 2005
P,Is
Sklep Wielobranżowy
67 26 -060 Chęciny, ul. Radkowska 1 c
66
odbiór inwestycji
luty 2005
P,Post.
"PREKON" Sp. zo.o.
68 27 - 200 Starachowice, ul. Składowa 33
67
odbiór inwestycji
luty 2005
P,Post.
SAINT-GOBAIN Weber Terranova Sp. zo.o.
69 27 - 400 Ostrowiec Św.,ul. 11 - go Listopada 60
69
sprawdzająca
luty 2005
P,Z
Okręgowa Spółdzielnia Mleczarska
70 27-400 Ostrowiec Św.,, ul. Zagłoby 32
70
sprawdzająca
luty/marzec 2005
P,Z
o,PCB
Spółdzielnia Inwalidów "SIMKO"
71 Zakład Pracy Chronionej
26 - 110 Skarżysko - Kam., ul. 1- go Maja 99
71
podstawowa
luty 2005
P,Z,Is
p,o,ś,w
72
sprawdzająca
luty/marzec 2005
P,Z
PCB
"QUICK PACK Polska" Sp. z o.o
73 28 - 300 Jędrzejów, Lasków
73
sprawdzająca
luty/czerwiec 2005
P
"BETONCHEM"
74 26 - 200 Końskie, ul. Piłsudskiego 32
74
odbiór inwestycji
luty 2005
P,Post.
ETC Sp. zo.o.
75 27 - 400 Ostrowiec Św., ul. Drukarska 14
75
sprawdzająca
luty/marzec 2005
P,Is
Celsa Huta Ostrowiec Sp. zo.o.
76 27 - 400 Ostrowiec, ul. Samsonowicza 2
76
sprawdzająca
luty 2005
P,Z,Ir
72
Kieleckie Zakłady Naprawy Samochodów Sp. zo.o.
w likwidacji
25 - 701 Kielce, ul. Krakowska 62
77
Rafineria Jasło S.A. Stacja Paliw
27 - 600 Sandomierz, ul. Lwowska 48
77
odbiór inwestycji
luty 2005
P,Ir,Is,In
78
PPHU "INTERSPEED" Sp. zo.o.
27 - 400 Ostrowiec Św, ul. Gulińskiego 26
78
sprawdzająca
luty/marzec 2005
P
79
"PILKINGTON AUTOMOTIVE Poland" Sp. zo.o.
27 - 600 Sandomierz, ul. Portowa 24
79
odbiór inwestycji
luty 2005
P,Post.
"Hydrogeotechnika" Sp. zo.o.
80 25 - 116 Kielce, ul. Ściegiennego 262 a
80
sprawdzająca
marzec 2005
P,Ir,Is,In
PH "Domgoss" S.A.
81 25 - 020 Kielce, ul. Chęcińska 14 a
81
interwencyjna
marzec 2005
P,Z
o
o
p,o
"EkoPlon" S.A.
82 Zakład Produkcji Nawozów
28 - 225 Szydłów, Grabki Duże
82
sprawdzająca
marzec 2005
P,Is
OSM "Jedność"
83 28 - 151 Biechów, Wójcza
83
sprawdzająca
marzec 2005
N
Generalna Dyrekcja Dróg Krajowych i Autostrad
84 Obwód Służby Liniowej
28 - 100 Busko Zdrój, Grotniki Duże
84
interwencyjna
marzec 2005
P,Z,Is
w
PT-H "Utrans"
85 28 - 100 Busko - Zdrój, Mikułowice 359
85
sprawdzająca
marzec 2005
P,Z,Is,M
o
PPUH "Sudolanka"
86 28 - 300 Jędrzejów, Sudół 24
86
odbiór inwestycji
marzec 2005
P,Z,Post.,Is
o
"KAMIR" S.C.
87 25 - 020 Kielce, ul. Checińska 14
87
interwencyjna
marzec 2005
P,Z,In
o,p
"INFOMAX"
88 Zakład Pracy Chronionej
25 -604 Kielce, ul. Opienińska 21
88
interwencyjna
marzec 2005
P,Z,In
p
PPH "PRECYZJA" Sp. z o.o.
89 28 - 200 Staszów, ul. Oględowska 15
89
sprawdzająca
kwiecień 2005
P,Z
opak.
"KIEL-PAK" Sp. j.
90 25 -655 Kielce, ul. 1-go Maja 165 a
90
sprawdzająca
marzec/maj 2005
P
"Bracia Kasprzak" Sp. J.
91 Gospodarstwo Ogrodnicze
26 - 065 Piekoszów, ul. Czarnowska 54
91
sprawdzająca
marzec 2005
P,Z,Is,M
p,w,o,azbest
PPUH "Kanarek" Ubojnia Drobiu
92 26 - 065 Piekoszów, ul. Słoneczna 22
92
podstawowa
marzec 2005
P,Z,Is
w,o,SZWO
"SHMIDT" Sp. zo.o.
93 25 -650 Kielce, ul. Skrajna 80 a
93
odbiór inwestycji
kwiecień 2005
P,Post.
Sklep Ogrodniczo Przemysłowy
94 02 - 500 Ostrowiec Św., ul. Słowackiego 70
94
sprawdzająca
marzec 2005
P,Post.
Sklep Ogrodniczo Przemysłowy
95 02 - 500 Ostrowiec Św., ul. Słowackiego 71
95
sprawdzająca
marzec 2006
P,Post.
ZUH Przetwórstwa Rybnego "AKWEN3"
96 28 - 200 Staszów, Towarowa
96
odbiór inwestycji
marzec 2005
P,Post.
PPUH "CYNKOMENT"
97 27 - 200 Starachowice, ul. Składowa 29
97
podstawowa
marzec 2005
P,Z,Is
o,PCB
Przedsiębiorstwo Topienia Bazaltu Sp. zo.o.
98 27 - 200 Starachowice, ul. Piłsudskiego 68
98
podstawowa
marzec/kwiecień 2005
P,Z,Is
o,PCB,azbest
"PREON" Sp. zo.o.
99 27 - 200 Starachowice, ul. Składowa 33
99
podstawowa
marzec 2005
P,Z
o, opak.
"ETC plus" S.A.
100 27 - 400 Ostrowiec Św, ul. Drukarska 14
100
sprawdzająca
marzec 2005
P,Z,Is
o
"AUTO-NAPRAWA"
101 28 - 100 Busko Zdrój, ul. Młyńska 24
101
podstawowa
marzec 2005
P,Is
PHU "MAXAUTO"
102 28 - 100 Busko Zdrój, ul. Wojska Polskiego 48
102
podstawowa
marzec 2005
P,Z
Zakład Gospodarki Komunalnej w Rudkach
103 (oczyszczalnia ścieków w Rudkach)
26- 006 Nowa Słupia, ul. Górnicza 4
103
podstawowa
marzec 2005
P,Z,Is
Zakład Gospodarki Komunalnej w Rudkach
104 (oczyszczalnia ścieków w Nowej Słupii)
26 - 006 Nowa Słupia, ul. Górnicza 5
104
podstawowa
marzec 2005
P,Z,Is
"NOMI"
105 25 - 560 Kielce, ul. Zagnańska 119
105
sprawdzająca
marzec 2005
P
"FORTUM DZT" S.A.
106 Zakład Energetyki Cieplnej
26 - 220 Stąporków, ul. Słowackiego 3 a
106
sprawdzająca
marzec 2005
P,Z
"TRAK-STOL"
107 26 - 062 Fałków, Smyków 72
107
odbiór inwestycji
marzec 2005
P,Post.
PPUH "POLMARK" Sp. zo.o.
108 25 - 620 Kielce, ul. Kolberga 4
108
podstawowa
marzec 2005
P,Z
o
IKM"AGROPOM" Sp. zo.o.
109 28 - 100 Busko Zdrój, ul. Boh. Warszawy 120
109
podstawowa
marzec 2005
P,Z,Is
o,ś,p
Zakład Mechaniki i Blacharstwa Samochodowego
110 28 - 100 Busko Zdrój, ul. Boh. Warszawy 120
110
podstawowa
marzec 2005
P,Z,Is
o
Komunalny Związek Ciepłownictwa "PONIDZIE"
111 28 - 100 Busko Zdrój, ul. Kilińskiego 41
111
interwencyjna
marzec 2005
P
Super Hobby Market Budowlany "OBI" Sp. zo.o.
112 25-558 Kielce, ul. Zagnańska 67
112
sprawdzająca
marzec 2005
P
RSP "Nowe Życie"
113 28 -330 Wodzisław, Przezwody 89
113
sprawdzająca
marzec 2005
P,Z
ś,o,azbest
RSP "BILCZA"
114 26 - 026 Morawica, ul. Bukowa 2
114
sprawdzająca
marzec 2005
P,Z
ś, azbest
Sklep "AGROCENTRUM"
115 25 - 369 Kielce, ul. Żeromskiego 17
115
sprawdzająca
kwiecień 2005
P
o
p
"ARON" Sp. zo.o.
116 25 - 852 Kielce, ul. Chorzowska 22
116
sprawdzająca
marzec 2005
P,Z
o
Stacja Kontroli Pojazdów "AUTOMIX"
117 26 - 052 Sitkówka Nowiny, Zagrody 64 b
117
interwencja
kwiecień 2005
P,Z,Is,In
p,o,w,ś
FW "ELBUD"
118 26 - 080 mniów, ul. Leśna 2
118
interwencyjna
marzec 2005
P,Z
o,p
Urząd Gminy w Nagłowicach
119 (dot. oczyszczalni ścieków w Wawrzynie)
28 - 362 Nagłowice
119
interwencyjna
marzec 2005
P,W,Is
ś
"PRAKTIKER Polska" Sp. zo.o.
120 25 - 323 Kielce, ul. Radomska 8
120
sprawdzająca
marzec 2005
P
"Bracia Kasprzak" Sp. J.
121 Gospodarstwo Ogrodnicze
26 - 065 Piekoszów, ul. Czarnowska 54
121
interwencyjna
marzec 2005
P,Ir,Ws,M
PW "BUDOMEX"
122 27 - 400 Ostrowiec Św., Dębowa Stara Wola 25
122
sprawdzająca
marzec 2005
P,Podst.
Zakład Handlowo Usługowy
123 26 - 008 Górno, Krajno II 22
123
interwencyjna
marzec/kwiecień 2005
P,Z,Is,In
opłaty
ZPUH "STYRMET"
124 29 -100 Włoszczowa, ul. Sienkiewicza 96
124
interwencyjna
kwiecień 2005
P,Z,In
o
Tuczarnia Trzody Chlewnej
125 28 - 300 Jędrzejów, Niestachów Drugi 12
125
odbiór inwestycji
kwiecień 2005
P,Z
Ubojnia Drobiu s. j.
126 26 - 085 Miedziana Góra, Przyjmo 22
126
interwencyjna
kwiecień 2005
P,Z,Is,M
"Saint-Gobain Weber Terranowa" Sp. zo.o.
127 27 - 400 Ostrowiec Św., ul. 11-go Listopada 60
127
odbiór inwestycji
kwiecień 2005
P,Post.,Is
"KOWENT" S.A.
128 26 -200 Końskie, ul. Warszawska 52
128
podstawowa
kwiecień 2005
P,Z,Is,M
o,ś,PCB
Stacja Paliw Płynnych
129 27 - 640 Klimontów, ul. Słoneczna 1
129
odbiór inwestycji
kwiecień 2005
P,Z,Post.
o
PPHU "AGROPLON" Sklep Ogrodniczy
130 29 - 100 Włoszczowa,ul. Partyzantów 38
130
odbiór inwestycji
kwiecień 2005
P,Post.
Zakład Rolny i Przetwórstwa Mięsnego
131 "JANPOL" s.j.
26 - 020 Chmielnik, ul. Witosa 39
131
podstawowa
kwiecień 2005
P,Z
Przedsiębiorstwo Wielobranżowe
132 28 -100 Busko Zdrój, Wełecz
132
podstawowa
kwiecień 2005
P,Z
ś
ś,o,p,SZWO
o
P.P.H.U. "JANEX"
133 28 - 136 Nowy Korczyn, Stopnica
133
podstawowa
kwiecień 2005
N
"Auto-Gaz-Tytan" Stacja Paliw
134 27 - 600 Sandomierz
134
interwencyjna
kwiecień 2005
P,In
"MEGATERM-PLUS" Sp. zo.o.
135 25 - 650 Kielce, ul. Skrajna 86
135
podstawowa
kwiecień 2005
P,Z,Is
Chemiczna Spółdzielnia Pracy "CHEMIPLASTYKA"
136 25 - 562 Kielce, ul. Peryferyjna 8
137
sprawdzająca
kwiecień 2005
P
Zakład Produkcyjno Transportowy "TRANSBET"
137 26 - 115 Skarżysko Kamienna, ul. Sokola 34
138
sprawdzająca
kwiecień 2005
P,Z,Is,In
Przedsiębiorstwo Usługowo Handlowe
138 26 - 060 Chęciny, Korzecko
139
interwencyjna
kwiecień 2005
P,Wnr,In,M
Obrót Złomem Metali Nieżelaznych i Stalą "OZMNIS"
139 28 -200 Jędrzejów, ul. Głowackiego
140
sprawdzająca
kwiecień 2005
P,Is
Skup i Przerób Złomem "HAPARTA"
140 28 -362 Nagłowice, Cierno Żabieniec 916
141
sprawdzająca
kwiecień 2005
P,Is
PHU "KRIS" Punkt Skupu Złomu
141 28 -340 Sędziszów, ul. Leśna 38
142
sprawdzająca
kwiecień 2006
P,Is
Zakłady Przemysłu Wapienniczego
142 "Trzuskawica" S.A.
26 - 052 Sitkówka Nowiny
143
interwencyjna
kwiecień 2005
N,In
"TABEX-OZMO" Sp. zo.o.
143 27 - 400 Ostrowiec Św., ul. Sandomierska 112
144
interwencyjna
kwiecień 2005
P
"Poligrafia- Bis" Sp. zo.o.
144 27 - 200 Starachowice, ul. Bema 2 c
145
sprawdzająca
kwiecień/maj 2005
P,Z,WnsIr,In
opłaty
ZUPH "AG-POL"
145 27 -200 Starachowice, ul. Radomska 53
146
podstawowa
kwiecień 2005
P,Z,In
o
PPHU "BESTPNEUMATIC"
146 25 - 729 Kielce, ul.Urzędnicza 16
147
sprawdzająca
kwiecień 2005
P
Firma Handl.-Usł. "ZB"
147 25-670 Kielce, ul. Łódzka 314 b
148
sprawdzająca
kwiecień 2005
P
"Elektrownia Połaniec" S.A.
148 Grupa Electrabel
28 - 230 Połaniec
149
sprawdzająca
kwiecień/maj/czerwiec 2005
P
Szpital dla Nerwowo i Psychicznie Chorych
149 26 - 026 Morawica, ul. Spacerowa 5
150
sprawdzająca
czerwiec 2005
P
o,PCB, opak.
opłaty,o
Zakład Stolarski "BiG"
150 29 -100 Włoszczowa, ul. Jedrzejowska 79 d
151
sprawdzająca
kwiecień 2005
P,Post.
"KOLPORTER" S.A. oddział świętokrzyski
151 25 - 620 Kielce, ul. Kolberga 11
152
sprawdzająca
kwiecień 2005
P,Z
"REM-WOD" Sp. z o.o.
152 25-324 Kielce, ul. Legnicka 28
153
interwencyjna
kwiecień 2005
P,Z,Is
p,o
PW "ALPOL" Sp. zo.o.
153 26 -052 Sitkówka Nowiny, Sitkówka 15 a
154
interwencyjna
kwiecień 2004
P,Z
p,w,opłaty
Ośrodek Sportowo - Rekreacyjny "Rawszczyzna"
154 27 -400 Ostrowiec Św., ul. Mickewicza 32
155
odbiór inwestycji
kwiecień 2005
P,Post.
Miejski Ośrodek Sportu i Rekreacji
155 (dot. stadionu piłkarskiego w Kielcach)
25 - 0116 Kielce, ul. Żytnia 1
156
sprawdzająca
kwiecień 2005
P,In
Fabryka Mebli Łazienkowych "CERSANIT II"
156 27 - 200 Starachowice, ul. Bema2
157
odbiór inwestycji
kwiecień 2005
P,Post.
Gospodarstwo Rolne wł. Pasternak
157 28 - 425 Złota 4, Skotniki Małe 52
158
interwencyjna
kwiecień 2005
P,W,Is
FUHP "SŁAWOIL"
158 28 - 404 Kije, Stawiany 59
159
podstawowa
kwiecień/maj 2005
P,Z,Is
Zakład Wyrobów Metalowych "METAL-KOP"
159 28 - 100 busko Zdrój, ul. Langiewicza 42
160
sprawdzająca
maj 2005
P,Z,Is
MAGDZIARZ
160 25 - 365 Kielce, ul. Słowackiego 20/1
161
sprawdzająca
kwiecień/maj 2005
P
"RUCH" S.A. oddzial świętokrzyski
161 25 - 017 Kielce, ul. Paderewskiego 11
162
sprawdzająca
kwiecień 2005
P,Z,Ir
Zakłady Metalowe "MESKO" S.A.
162 26 - 111 Skarżysko Kam.,ul. Legionów 122
163
sprawdzająca
kwiecień/maj 2005
P,Z,Ir
PCB
Kurnik
163 26- 130 Suchedniów,ul. Zagórska
164
interwencyjna
kwiecień 2005
N,Z,M
o
Gospodarstwo Rolne
164 27 -650 Samborzec, ul. Złota
165
interwencyjna
kwiecień 2005
P,Ir,Is,In
PPS "SANFOOD" s.j.
165 27 - 800 Sandomierz, ul. Holownicza 6
166
sprawdzająca
kwiecień 2005
P,Is
Kolizja drogowa - wyciek oleju napędowego na terenie
166 Gminy Ruda Maleniecka
167
interwencyjna
kwiecień 2005
N
OSM Radostowa
167 25 - 100 Kielce, ul. Górna 22
168
interwencyjna
kwiecień/maj 2005
N,Ir,In
o,p
Fabryka Kostki Brukowej i galanterii Betonowej
168 "JADAR"
25 - 116 Kielce, ul. Ściegiennego 262
169
odbiór inwestycji
maj 2005
P,In
Zakład Usług Komunalnych
169 (dot. oczyszczalni ścieków)
26 - 065 Piekoszów, ul. Częstochowska 66
170
sprawdzająca
maj 2005
P,Is
PH "ACM"
170 25 -502 Kielce, ul. Paderewskiego 38
171
sprawdzająca
maj 2005
p
Specjalna Strefa Ekonomiczna Starachowice S.A.
171 27 - 200 Starachowice, ul. Radomska 29
172
odbiór inwestycji
maj 2005
N,Post.
Zakład Gospodarki Komunalnej
172 28 - 131 Solec Zdrój, ul. 1-go Maja 10
173
sprawdzająca
maj 2005
P,Is
Szkoła Podstawowa w Bardzie
26 - 035 Raków, Bardo 86
173 Zakład Gospodarki Komunalnej w Rakowie
26 - 035 Raków, ul. Kościuszki 45
174
interwencjna
kwiecień 2005
P,Z,Is
ś
Zakład Gospodarki Komunalnej
174 26 - 035 Bieliny, ul. Partyzantów 17
175
sprawdzająca
kwiecień/maj 2005
P,Z
o,ś
Ceramika "Nowa Gala" S.A.
175 26-200 Końskie, ul. Ceramiczna 1
176
sprawdzająca
maj/czerwiec 2005
P,Is,In
Nordkalk Sp. z o.o. Zakład Miedzianka
176 26 - 060 Piekoszów
177
sprawdzająca
maj 2005
P,Z
Zakład Usług Komunalnych
177 26 - 021 Daleszyce, Ługi 1
178
interwencyjna
maj 2005
N,Is
Miejsko - Gminny Zakład Komunalny
178 28 - 100 Busko Zdrój, ul. Łagiewnnicka 25
179
sprawdzająca
maj 2005
P,Z,Is
ZPUH "ZIBI-POL"
179 28 - 404 Kije, Stawiany 52
180
podstawowa
maj 2005
P,Is
Andrzej Nawrot
180 28 - 305 Sobków, Miąsowa
181
odbiór inwestycji
maj 2005
P,Post.
"DROGOWIEC-PL"
181 25 - 950 Kielce, ul. Manifestu Lipcowego 35 A
182
interwencyjna
maj 2005
P,Ioś
o,p
182 PPHU "AMID"
27 - 400 Ostrowiec Św.,Dębowa Wola Stara 25A
183
intterwencyjna
maj 2005
P,Z,In
p,o
183 "Universal Leaf Tabacco Poland" Sp.zo.o.
28-300 Jędrzejów, ul. Przemysłowa 20
184
sprawdzająca
maj 2005
P,Z
o,opak,w,PCB,azbest
184 Zakład Kowalski Młynek
26 - 200 Końskie, ul. Spacerowa 9
185
sprawdzająca
maj 2005
P,W
h
ś
Przesdiębiorstwo Gospodarki Komunalnej
185 i Mieszkaniowej Sp. zo.o.
27 - 600 Sandomierz, ul. Przemysłowa 12
Skup i Sprzedaż Samochodów Używanych i Części
186 Samochodowych "KAR"
28 - 100 Busko Zdrój, Elżbiecin 17
186
187
sprawdzająca
maj 2005
P,Is
sprawdzająca
maj 2005
P
ś
Miejskie Usługi Komunalne Sp. Zo.o.
187 (dot. Składowiska Odpadów Łyżwy)
26-100 Skarżysko-Kam., ul. 1-go Maja 103
188
sprawdzająca
maj/czerwiec 2005
P,W
188 PKS Starachowice
27-200 Starachowice, ul. Wiosenna 5
189
sprawdzająca
maj 2005
P
189 PPH "FOKSDRÓB"
26 - 050 Zagnańsk,Kajetanow 110
190
interwencyjna
maj 2005
P,Z,In,Ir
ś
"Auto-Serwis" Mechanika, Blacharstwo, Lakiernictwo
190 Usługi Spawalniczo -Ślusarskie
26 - 004 Bieliny, Lechów 96
191
interwencyjna
maj 2005
P,Z,Ir,Is
p,o
191 Poseja prywatna
26-200 Końskie
192
interwencja
czerwiec 2005
N
Komunalny Zakład Wodociągów,
192 Kanalizacji i Remontów
26-010 Bodzentyn, ul. Wolności 14
193
sprawdzająca
maj/czerwiec 2005
P,Z,Is,M
Kopalnia i Zakład Wzbogacania Kwarcytu
193 "Bukowa Góra" S.A.
26 - 140 Łączna
194
interwencyjna
maj 2005
N,Is
194 Zakłady Mechaniczne "BIFAMET" Sp. z o.o.
28-300 Jędrzzejów, ul. Przemysłowa 11
195
sprawdzająca
maj/czerwiec 2005
P,Z,Is
195 Przeds. Budownictwa Ogólnego "KARTEL" S.A.
28-300 Jędrzejów, ul. Przemysłowa 8
196
odbiór inwestycji
czerwiec 2005
P,Post.
196 P.H.U "SZEL-GAZ"
27-630 Zawichost, ul. Ostrowiecka 29 A
198
podstawowa
maj/czerwiec 2005
P,Z,Is,Ir
197 Pawilon Handlowy "LIDL-Polska" Sp. z o.o.
26 -634 Kielce, ul. Piekoszowska
199
odbiór inwestycji
maj 2005
P,Is,Post.
198 "AUTO-NAPRAWA"
25 - 562 Kielce, ul. Peryferyjna 7
200
odbiór inwestycji
maj 2005
P,Post.
199 Przetwórstwo Owoców i Warzyw "GOMAR"
28 - 400 Pińczów, ul. Przemysłowa 6
201
sprawdzająca
maj/czerwiec 2005
P,Z
ś
200 Sklep i Stacja Paliw
28 - 200 Staszów, Wiązownica Kolonia
202
sprawdzająca
czerwiec 2005
P,Z,Ir,Is
p,o
ś,o
o
o
201 Handel Hurt Detal Surowce Wtórne
28-100 Busko Zdrój, Radzanów 127
203
sprawdzająca
czerwiec 2005
P,Z
202 Uzdrowisko Busko Zdrój S.A.
28-100 Busko Zdrój, ul. Rzewuskiego 1
204
sprawdzająca
czerwiec 2005
P
203 F.U.H. "MAERDI II"
28-300 Jedrzejów. Ul. Armii Krajowej 12
205
sprawdzająca
czerwiec 2005
P
204 "ELPOLOGISTYKA" Sp. z o.o.
28 - 230 Połaniec
Zakład Przemysłu Wapienniczego "Trzuskawica"
205
26 - 010 Sitkówka Nowiny
206
podstawowa
czerwiec 2005
P,Z
o
207
interwencyjna
maj 2005
N
p
Kieleckie Przetsiębiorstwo Robót
206 Drogowych Sp. z o.o.
25-670 Kielce, ul. Przęsłowa 2 A
(Wytwórnia Mas Bitumicznych Górno)
208
sprawdzająca
czerwiec 2005
P,Z,Is
p,PCB
207 "ELPOEKO" Sp. zo.o.
28 - 230 Połaniec
209
sprawdzająca
czerwiec 2005
P,Z
o
208 Ubojnia Drobiu "BIS"
26 - 234 Słupia, Pijanów 7
210
sprawdzająca
czerwiec 2005
P,Is
209 Ferma Trzody Chlewnej
Ćmielów, Przeuszyn
211
podstawowa
czerwiec 2005
P,Z,Ir
o,PCB,azbest
210 "DODONI" Sp.j.
26 - 130 Jędrzejów, ul. Józefów 4
212
sprawdzająca
czerwiec/lipiec 2005
P,Z,Is
o,p
211 Samodzielny Publiczny ZOZ
27 - 600 Sandomierz, ul. Schinzla 13
213
sprawdzająca
czerwiec 2005
P,W,Is,In,Ioś
212 Wyższa Szkoła Ekonomii i Administracji
25-713 Kielce, ul. Karczówkowska 41
214
odbiór inwestycji
czerwiec 2005
P,Post.
Stacja Paliw "OKTAN"
213 Podlesie - Zawada
27-53 Ożarów
215
odbiór inwestycji
czerwiec 2005
P,Post.
214 "STOKOTA-KAMARG" Sp. z o.o.
25 - 655 kielce, ul. Łódzka 296 a
216
sprawdzająca
czerwiec 2005
P,Z
215 "Auto-Części" Zakład Kasacji Samochodów
25 - 662 kielce, ul. Robotnicza 12
217
sprawdzająca
czerwiec 2005
P
PPHU "Mleczarnia" Sp. z o.o.
216 Zakład Recyklingu SKR w Stodołach
27 - 532 Wojciechowice, Bidziny 142
218
sprawdzająca
czerwiec 2005
P
217 Firma Handl.Usł.Prod. Punkt Skupu "TROMPOL"
26 - 200 Końskie, ul. Towarowa 4
219
podstawowa
czerwiec 2005
P,Z,Is,Ioś,M
o,opak.
o,p
o
218 Piekarnia "Pod Telegrafem"
25 - 116 Kielce, ul. Ściegiennego 258 c
220
odbiór inwestycji
czerwiec 2005
P,Post.
219 P.H.U.P. "ARTUS"
26 - 200 Końskie, ul. 1-go Maja 16
221
interwencja
czerwiec/lipiec 2005
P,In
Kopalnia "Jurkowie-Budy"
220 Kopalnie Dolomitu S.A.
27 - 600 Sndomierz, ul. Błonie 8
222
podstawowa
czerwiec 2005
P,Z,Is,In
221 Gospodarstwo Rybackie - Górki Sp. z o.o.
28 - 160 Wiślica
223
interwencyjna
maj 2005
N,In
222 U.H.P. "IKA"
28 - 400 Pińczów, Skrzypiów
224
interwencyjna
czerwiec 2005
P,Wnr,Wnoś
223 P.H.U.P. "DOBER"
25 - 204 Kielce, ul. Wojska Polskiego 182
225
interwencyjna
maj 2005
P, Wr
224 Gospodarstwo Rolnicze Indywidualne
26 - 026 Morawica,Bilcza, ul. Żeromskiego
226
interwencyjna
czerwiec 2005
P,Ir,Is
Przesdiębiorstwo Gospodarki Odpadami Sp. z o.o.
225 Wysypisko w Promniku
25 - 645 Kielce, ul. Piekoszowska 290
227
sprawdzająca
czerwiec 2005
P
226 F.H-U. "ROLMET" Sp. J.
28 - 500 Kazimierza Wielka, ul. Kolejowa 130
228
odbiór inwestycji
czerwiec 2005
P,Post.
227 "SUPLO" Sp. z o.o.
26 - 021 Daleszyce, Niwy 8
229
interwencyjna
czerwiec 2005
P,In
228 P.U.H. Hurtownia - Sklep
25 - 116 Kielce, ul. Ściegiennego 201
230
sprawdzająca
czerwiec 2005
P
229 Przedsiębiorstwo Usługowo Handlowe
25 - 142 Kielce, ul. Sandomierska 207
231
sprawdzająca
czerwiec 2005
P
Kopalnia i Zakłady Chemiczne Siarki
230 "SIARKOPOL" S.A. w Grzybowie
Kopalnia Siarki w Osieku
28 - 200 Staszów
232
sprawdzająca
czerwiec 2005
P
231 Rejonowy Urząd Pocztowy
25 - 001 Kielce, Plac Niepodległości 2
233
sprawdzająca
czerwiec 2005
P,Z,Is
SZWO
232 Zakład Uboju Zwierząt Rzeźnych i Produkcji Wędlin
28 - 236 Rytwiany, Sichów Duży 12A
234
interwencja
czerwiec 2005
P,Z
o,p,SZWO
Auto Naprawa Kupno Sprzedaż Samochodów
233 i Części Samochodowych
Mirzec, Gadka 16
235
interwemcyjna
czerwiec 2005
N,Wnr,Is,Ir
h,o,p
PKN Orlen S.A.
234 Stacja Paliw Nr 108
29 - 100 Włoszczowa, ul. Jędrzejowska
236
odbiór inwestycji
czewiec/lipiec 2005
P,Post.
235 "ZOTOR" Sp. j.
27 - 400 Ostrowiec Św., ul. Samsonowicza 38
237
sprawdzająca
czerwiec 2005
P
236 P.U.H. "RENII-SERWIS-AUTO"
26 - 052 Sitkówka, ul. Przemysłowa 38
238
sprawdzająca
czerwiec 2005
P
237 "CONSTAR" S.A.
27 - 200 Starachowice, ul. Krańcowa 4
239
sprawdzająca
czerwiec/lipiec 2005
P,Z
NZŚ
238 Firma Transportowa "KRZYSZTOF"
27 - 400 Ostrowiec Św., ul Orkana 9
240/1
podstawowa
czerwiec 2005
P,Z
opłaty
239 LHOIST BUKOWA Sp. zo.o.
29 - 105 krasocin, ul. Osiedlowa 10
240/2
sprawdzająca
czerwiec 2005
P,Post.
Kopalnia i Zakłady Chemiczne Siarki
240 "SIARKOPOL" S.A. w Grzybowie
Zakład Produkcji Chemicznej w Dobrowie
28 - 200 Staszów
241
sprawdzająca
czerwiec 2005
P
241 P.H.U. "TAGA"
28 - 400 Pińczów, ul. Złota 6
242
sprawdzająca
czerwiec 2005
P
242 Gospodarstwo rolne
27 - 640 Klimontów, Kroblice
243
sprawdzająca
czerwiec 2005
P,Post.
Urząd Miasta i Gminy Suchedniów
243 (dot. Stacji zlewnej ścieków)
26 - 130 Suchedniów, ul. Fabryczna 5
244
odbiór inwestycji
czerwiec 2005
P, Post.
Przedsiębiorstwo Wodociągów i Kanalizacji
244 (dot. oczyszczalni ścieków)
27 - 200 Starachowice, ul. Iglasta 5
245
sprawdzająca
czerwiec 2005
P,Ir
245 LAFARGE CEMENT S.A.
28 - 366 Małogoszcz, ul. Warszawska 110
246
sprawdzająca
czerwiec/lipiec 2005
P,Ir
Kopalnia i Zakłady Wzbogacania Kwarcytu "Bukowa
246 Góra" S.A.
26 - 140 Łączna
247
sprawdzająca
czerwiec 2005
P
247 Gospodarstwo Rolne
26 - 060 Chęciny, Łukowa
248
interwencyjna
lipiec 2005
P,Is
248 Gospodarstwo Rolne
28 - 305 Sobków, Brzegi
249
interwencyjna
czerwiec 2005
P,Ir
249 Handel Materiałami Przewoźnymi
28 - 142 Tuczępy, Jarosławice
250
interwencyjna
lipiec 2005
P,Z,Is
o
250 Okręgowa Spółdzielnia Mleczarska
29 - 100 Włoszczowa., ul. Kochanowskiego 1
251
sprawdzająca
czerwiec/lipiec 2005
P,Z,Is,In,M
251 Urząd Gminy Pacanów
28 - 133 Pacanów, ul. Radziwiłówka 2
252
interwencyjna
czerwiec 2005
P,Wns,Ioś,Is,In
252 Kolporter S.A.
25 - 659 Kielce, ul. Strycharska 6
253
sprawdzająca
lipiec 2005
P,Ir
253 Firma "WOJTRANS" Zakład Produkcyjny
27 - 400 Ostrowiec Sw., ul. Mostowa 72
254
sprawdzająca
lipiec 2005
P,Z,M
o,opak.
Miejsko - Gminny Zakład Komunalny
254 Składowisko odpadów w Dobrowodzie
28 - 100 Busko Zdrój, ul. Łagiewnnicka 25
255
sprawdzająca
lipiec 2005
P,Z,Is
o
Miejsko - Gminny Zakład Komunalny
255 Oczyszczalnia ścieków w Siesławicach
28 - 100 Busko Zdrój, ul. Łagiewnnicka 25
256
sprawdzająca
lipiec 2005
P
256 P.P.H.U. "LIWR-BIS" Spółka jawna
28 - 100 Busko Zdrój, ul. Langiewicza
257
sprawdzająca
lipiec 2005
P,Z,Is,M
257 Okręgowa Spółdzielnia Mleczarska
26 - 200 Końskie, ul. Zielona 11
258
sprawdzająca
lipiec 2005
P
258 P.W. "Wtórmet"
26 - 052 Nowiny, ul. Składowa 1
259
interwencyjna
lipiec 2005
P,Z,Is
"EKOPOL" Sp. zo.o.
259 (dot. Kontroli nr 252)
31 - 752 Kraków, ul. Mrozowa 31a/120
260
interwencyjna
lipiec 2005
P
260 Z.H.U. "Las i Ogród"
26-200 Końskie, ul. Piłsudskiego 20
261
sprawdzająca
lipiec 2005
P
261 P.H. "WIR"
27 - 600 Sandomierz, ul. Trześniowska 3
262
sprawdzająca
lipiec 2005
P
262 Gospodarstwo Rolne
28 - 232 Łubnice, Beszowa
263
sprawdzająca
lipiec 2005
P
263 "DRÓBPOL"
26 - 650 Łączna, Zagórze 78 a
264
interwencyjna
lipiec 2005
P,Z,Is,M
264 P.W. "ZŁOMET"
25 - 650 Kielce, ul. Długa 26
265
sprawdzająca
lipiec 2005
P
265 Posesja prywatna- Sklep Spożywczy
Tokarnia
266
interwencyjna
lipiec 2005
N
266 "DROGOWIEC-PL" Sp. zo.o.
25 - 432 Kielce, ul. Manifestu Lipcowego 35 A
267
sprawdzająca
lipiec 2005
P,Z,In
w,o
o
p,o
ś,o,SZWO
p
267 Zakład Usług Leśnych "GLOBUS" Sklep STIHL
27-200 Starachowice, ul. 17-go Stycznia 33
268
sprawdzająca
lipiec 2005
P
269
sprawdzająca
lipiec 2005
P,Z
270
sprawdzająca
lipiec 2005
P,Post.
270 Auto Naprawa
22 - 290 Opatów, ul. Armii Krajowej 27
271
interwencyjna
lipiec 2005
P,Ir,In
271 Okręgowa Spółdzielnia Mleczarska
26 - 200 Końskie, ul. Zielona 11
272
sprawdzająca
lipiec 2005
P,Post.,M
272 Sklep ogrodniczy
26-200 Końskie, ul. Piłsudskiego 19
273
sprawdzająca
lipiec 2005
P
273 Transport Ciężarowy i Betoniarstwo
27 - 215 Wąchock, Parszów 61
274
interwencyjna
lipiec 2005
P,In
Samodzielny Publiczny ZOZ
274 (dot. spalarnia odpadów medycznych)
27 - 600 Sandomierz, ul. Schinzla 13
275
sprawdzająca
lipiec 2005
P,In
275 Stacja Paliw Płynnych i Gazowych
28-366 Małogoszcz, Mieronice
276
odbiór inwestycji
lipiec 2005
P
"Wodociągi Kieleckie" Sp. zo.o.
276 (dot. Oczyszczalni scieków w Sitkówce)
25 - 701 Kielce, ul. Krakowska 64
277
sprawdzająca
lipiec 2005
P
277 Gospodarstwo Rybackie
26 - 242 Ruda Maleniecka 132
278
interwencyjna
lipiec 2005
P,Z,Ir
278 PKS S.A.
26-200 Końskie, ul Piłsudskiego 124
279
sprawdzająca
lipiec 2005
P
279 Dom Pomocy Społecznej PZN
25 - 015 Kielce, ul. Złota 7
280 Stawy Hodowlane w m. Śladków Duży
280
interwencyjna
lipiec 2005
P,In
283
interwencyjna
czerwiec 2005
N,In
281 Celsa Huta Ostrowiec Sp. zo.o.
27 - 400 Ostrowiec, ul. Samsonowicza 2
284
sprawdzająca
lipiec 2005
P
282 Gospodarstwo Rolne Hodowla i Ubój Trzody
26-015 Pierzchnica, Ujny 13
285
interwencyjna
lipiec 2005
P,W,Is,M
o,ś
Obszar Przemysłowy
283 Zakłady Ostrowieckie S.A. w upadłości
27 - 400 Ostrowiec Św., ul. Świętokrzyska 8
286
interwencyjna
lipiec 2005
P,Is,In
w
"Lafarge Kruszywa" Sp. zo.o.
268 Kopalnie Dolomitu Radkowice
26 - 026 Morawica
269 Zakład Blacharstwa Samochodowego "Auto-Service"
25 - 628 Kielce, ul. Naruszewicza 59
p
w
Ekologiczny Związek Gmin Dorzecza Koprzywianki
284 Zakład Utylizacji Odpadów Janczyce
27-552 Baćkowice 84
287
sprawdzająca
lipiec 2005
P,Post.,Ir
o,ś
285 "WIR" Przetwórstwo Mięsa Sp.J.
26-070 Łopuszno, ul. Konecka 7A
288
inerwencyjna
lipiec 2005
P,Z,In
ś,w
286 Kopalnia Wapienia Morawica S.A.
26-026 Morawica
289
sprawdzająca
lipiec 2005
P
287 Stacja Paliw
28-200 Staszów, ul. Kolejowa
290
odbiór inwestycji
lipiec 2005
P,Post.
288 P.P.H.U "RAFIT" Sp. zo.o.
25 - 672 Kielce, ul Zakładowa 3
291
sprawdzająca
lipiec 2005
P,Irz
289 Grupa Polskie Składy Budowlane S.A.
28-100 Busko Zdrój, Wełecz 142
292
sprawdzająca
lipiec 2005
P,Is,Ir
290 ZPG "Dolina Nidy" S.A.
28-400 Pińczów, Leszcze 15
293
sprawdzająca
lipiec 2005
P,Z
291 Odlewnia Żeliwa "AGA"
26-200 Końskie, ul. Kolejowa 11
295
podstawowa
lipiec/sierpień 2005
P,Z
292 P.H.U Stacja Paliw
26-085 Miedziana Góra, Kostomłoty II
293 Skup Samochodów Używanych, Remont i Sprzedaż
28-200 Staszów, ul. Targowa 8
296
odbiór inwestycji
lipiec 2005
P,Post.
297
sprawdzająca
lipiec/sierpień 2005
P
294 Hodowla Zwierząt Futerkowych
26-026 Morawica, Nida
298
interwencyjna
lipiec 2005
P,Z,M
295 Gospodarstwo Rolne Ferma Trzody
26-020 Chmielnik, Śladków Duży
299
sprawdzająca
sierpień 2005
P,In
296 Z.P.H. "FOLCHEM" Folia Auto Złom
28-520 Opatowiec, Kocina
300
sprawdzająca
sierpień 2005
P
297 F.N.S.Z.Z.P.L. Sanatorium "Włókniarz"
28 - 100 Busko - Zdrój, ul Rokosza 1
301
sprawdzająca
sierpień 2005
P,Is
o
302
podstawowa
sierpień 2005
P,Z
p
299 Z.P.U. "DELKAR"
26-052 Sitkówka Nowiny, Zgórsko 158
304
sprawdzająca
sierpień 2005
P,Z,In
o,NZŚ
300 "DRÓBPOL"
26 - 650 Łączna, Zagórze 78 a
305
sprawdzająca
lipiec 2005
P
Miejski Ośrodek Sportu i Rekreacji
298 28-400 Pińczów, ul. Pałeki 26
o,opak.
p
o
301 "AGROSERWIS"
25-540 Kielce, ul. Jesionowa 31 b
306
sprawdzająca
sierpień 2005
P
302 Kieleckie Kopalnie Kwarcytu S.A.
26 - 050 Zagnańsk, Wiśniówka
307
sprawdzająca
sierpień 2005
P
303 SPRD "TRAK" SP. z o.o. WMB
27-400 Ostrowiec Św.,ul. Siemieńska 320
308
sprawdzająca
wrzesień 2005
P,Z,In
p
304 Zakład Piekarniczy
25-100 Kielce, ul. Skrajna
309
odbiór inwestycji
sierpień 2005
P,Post.
w,ś,o
305 Koneckie Zakłady Odlewnicze S.A.
26-200 Końskie, ul. 1-go Maja 57
310
sprawdzająca
sierpień 2005
P,Z,Ir,In
o,p
306 Urząd Gminy Kluczewsko
29-120 Kluczewsko, ul. Spółdzielcza 12
312
interwencyjna
sierpień 2005
P,Ir,In
307 Gospodarstwo Rolne
26-065 Piekoszów, Szczukowice 33
313
interwencyjna
sierpień 2005
P,Z,Ir,In
308 Elektrownia Połaniec S.A.Grupa Electrabel
28-230 Połaniec
314
sprawdzająca
sierpień 2005
P,Z
309 AGRO-MOTO "ZDZIŚ"
28-330 Wodzisław, Pl. Wolności 1
315
sprawdzająca
sierpień 2005
P,Post.
310 P.P.H.U. "PAMAR"
26-085 Miedziana Góra, Kostomłoty II 92
317
sprawdzająca
sierpień 2005
P,Z,In
o
Przedsiębiorstwo Robót Drogowych
311 "DROKAM-Piaseczno"
27-670 Łoniów, Piaseczno
318
podstawowa
sierpień 2005
P,Z,Is,M
o
Zakład gospodarki Komunalnej i Mieszkaniowej
312 Składowisko Odpadów Komunalnych
w Szymanowicach Dolnych
27-640 Klimontów, ul. Żeromskiego 30
319
sprawdzająca
sierpień 2005
P,Z,W
o,w
313 P.P.H.U. "AGA"
27-500 Opatowiec, Strzyżowice 41
320
sprawdzająca
lipiec 2005
P
314 Z.P.U.H. "GRODMET"
26-067 Strawczyn, Strawczynek
321
interwencyjna
sierpień 2005
P,Z,In
315 Gospodarstwo Rolne Ferma Łukowa
26-060 Chęciny
322
sprawdzająca
sierpień 2005
P,Post.
323
interwencyjna
lipiec 2005
N,Ir,In
325
sprawdzająca
sierpień 2005
P,Z,Wnr,Ir,Is,In,M
Urząd Gminy Nowy Korczyn
316 Baza Telefonii Komórkowej
Grotniki Duże
Przedsiębiorstwo Gospodarki Komunalnej Sp. zo.o.
317
26-200 Końskie, ul. Łazienna 8
o
o,p,h
o
"BUDOPAR"
318 Centrum Materiałów Budowlanych i Usług
26-200 Końskie, ul. Warszawska 52 a
326
sprawdzająca
sierpień 2005
P
Alexander Mill Services International Sp. z o.o.
319 Składowisko Odpadów Pohutniczych w Krzemionkach
27-400 Ostrowiec Św., Oś. Rosocha 86/15
327
sprawdzająca
sierpień 2005
P,Z,Ir
o
p,o
320
Zakład Produkcji Materiałów Budowlanych
27-440 Ćmielów, ul. Słoneczna 2
328
interwencyjna
sierpień 2005
P,Z,In
321
P.U.H. "ROTMAR"
28-300 Jędrzejów, ul. Cmentarna 5
329
sprawdzająca
sierpień 2005
P
322
Składowisko Odpadów Komunalnych
28-300 Jędrzejów,Potok Mały
330
sprawdzająca
sierpień 2005
P,Is
o
333
sprawdzająca
sierpień/wrzesień 2005
P,Z
o
Przeds. Budownictwa Wodnego i Ochrony Środowiska
323 "BUSKOPOL" Sp. zo.o.
28-100 Busko Zdrój, ul. Kilińskiego 41
324
ZPHU Import-Export
28-100 Busko Zdrój, ul. Dmowskiego 68
334
podstawowa
sierpień 2005
P,Is
325
PHU E.P. Juśkiewicz S.C.
28-100 Busko Zdrój, Szczaworyż
335
odbiór inwestycji
sierpień 2005
P,Post.
Przedsiebiorstwo Gospodarki
326 Komunalnej i Mieszkaniowej Sp. z o.o.
29-100Włoszczowa, ul. Sienkiewicza 31
336
sprawdzająca
sierpień/wrzesień 2005
P,Is,Ir
327
Handel Materiałami Przewoźnymi
28 - 142 Tuczępy, Jarosławice
337
interwencyjna
sierpień 2005
N,Ws,Ioś
328
PPHU
26-200 Końskie, ul. Spacerowa
338
interwencyjna
sierpień/wrzesień 2005
P,Z,Is,Ir,In
329
"POLLAS II"
27-600 Sandomierz, ul. Zawichojska 13
339
sprawdzająca
sierpień/wrzesień 2005
P
330
P.U.H. "Dom i Ogród"
27-600 Sandomierz, ul. Portowa 2
340
sprawdzająca
sierpień/wrzesień 2005
P
341
sprawdzająca
wrzesień 2005
P,Is
o
o
Zakład Gospodarki komunalnej i Mieszkaniowej
331 Składowisko Odpadów Komunalnych Stąporków
26-220 Stąporków, ul. Piłsudskiego 132 A
332
"EUROBRUK"
26-026 Morawica, Brzeziny
342
interwencyjna
wrzesień 2005
P,Z,Is,Ir
333
"GLAVERBEL Szkło-Glav Sp. zo.o.
27-500 Opatów, ul. Ćmielowska
343
odbiór inwestycji
wrzesień 2005
P,Post.
o
o
334
Gospodarstwo Rolne
27-423 Bałtów, Borcuchy
335
344
interwencyjna
wrzesień 2005
P,Is,In
Wyrobisko po eksploatacji żwiru
Bodzechów,Nowa Dębowa Wola
345 a
interwencyjna
sierpień/wrzesień 2005
Wnr
o
336
ZRB "Budo-Expres"
27-400 Ostrowiec Św., ul. Siennieńska
345 b
interwencyjna
lipiec 2005
Wnr
o
337
Posesja prywatna
26-050 Zagnańsk, ul. Dęba Bartka
346
interwencyjna
wrzesień 2005
N,Is
338
Nordkalk Sp. z o.o. Zakład Miedzianka
26 - 060 Piekoszów
347
interwencyjna
wrzesień 2005
P,W,In
339
Piekarnia
26-010 Bodzentyn, ul. Suchedniowska 27
348
interwencyjna
wrzesień 2005
P,In
349
odbiór inwestycji
wrzesień 2005
P,Post.
Urząd Gminy w Samborcu
340 (dot. Oczyszczalni ścieków)
27-650 Samborzec
341
Urząd Miasta i Gminy Działoszyce
28-540 Działoszyce, ul. Skalbmierska 5
350
interwencyjna
wrzesień 2005
P,W,Is,In
342
Specjalistyczne Gospodarstwo Drobiarskie
28 - 100 Busko Zdrój, Mikułowice 3
351
sprawdzająca
wrzesień 2005
P,In
Zakład Usług Komunalnych
343 Składowisko Odpadów w Przededworzu
26-010 Chmielnik
352
sprawdzająca
wrzesień 2005
P,W,In
344
Oczyszczalni Ścieków
26-085 Miedzina Góra, Ćmińsk-Podgród
353
interwencyjna
wrzesień 2005
P,Z
345
FHPU "Gazownia" Sp. zo.o.
28-300 Jędrzejów, ul. Rakowska 31
354
odbiór inwestycji
wrzesień 2005
P,Post.
346
"Ekonax" Sp. zo.o.
26-110 Skarżysko-Kam., ul. Asfaltowa 1
355
odbiór inwestycji
wrzesień 2005
P,Post.
Zakład Gospodarki Komunalnej w Chęcinach
347 (dot. Oczyszczalni ścieków)
26-060 Chęciny, ul. Małogowska 13
356
interwencyjna
wrzesień 2005
P,Is
P.H.U. "RETIP"
28-530 Skalbmierz, Plac Skłodowskiej 29
357
sprawdzająca
wrzesień 2005
N
358
interwencyjna
wrzesień 2005
P,Z,Ir
359
sprawdzająca
wrzesień 2005
P
348
Zespół Budynków Świętorzyskiego Parku Narodowego 349 Św. Krzyż
26-010 Bodzentyn, ul. Suchedniowska 4
350
P.H.U. "Michalczyk"
26-035 Raków, Oś. 70-lecia Niepodległości 17
p
ś
o
ś
ś
Zakład Przetwórstwa Owocowo-Warzywnego "EXPOL"
Sp. zo.o.
351
Zakład Nr 2 w Dwikozach
27-620 Dwikozy, ul. Sandomierska 109
360
podstawowa
wrzesień 2005
P,Z
ś,o
Zakład Przemysłu Owocowo-Warzywnego
352 "DWIKOZY" S.A.
27-620 Dwikozy, ul. Nadwiślańska 1
361
sprawdzająca
wrzesień 2005
P,Z
o
362
sprawdzająca
wrzesień 2005
N
364
interwencyjna
wrzesień 2005
N
365
odbiór inwestycji
wrzesień 2005
P,Z,Post.
366
sprawdzająca
wrzesień 2005
P
Zakład Przetwórstwa Mięsnego
357 Zakład Pracy Chronionej
26-065 Piekoszow, Micigózd
367
sprawdzająca
wrzesień 2005
P,Z,Is
358
Cementownia Nowiny Sp. zo.o.
26-052 Sitkówka Nowiny
369
sprawdzająca
wrzesień 2005
P,Ir
359
"ISPOL" Sp. zo.o.
25-650 Kielce, ul. Skrajna 76
370
sprawdzająca
wrzesień 2005
P,Z
360
"WW ENERGY " S.A.
27-400 Ostrowiec Św., ul. Bałtowska 428 B
371
sprawdzająca
wrzesień 2005
P,Post.
361
Zakład Przemysłowy Wielobranżowy Hurt-Detal
29-100 Włoszczowa, ul. Mickiewicza 15
372
sprawdzająca
wrzesień 2005
P
362
"Agrotop"
29-100 Włoszczowa, ul. Kilińskiego 3
373
sprawdzająca
wrzesień 2005
P
363
"KEY WEST"
27-400 Ostrowiec Św., ul. Szewieńska 35
374
interwencyjna
wrzesień 2005
P,Z,Ir,In
364
Z.U.H. "A.T.M." S.C.
26-110 Skarżysko, ul. 1-go Maja 40
375
sprawdzająca
wrzesień 2005
P
365
F.H.U. "OPTIMA"
28-300 Jędrzejów, ul. Partyzantów 29
376
sprawdzająca
wrzesień 2005
P
366
"PILKINGTON AUTOMOTIVE Poland" Sp. zo.o. 27 600 Sandomierz, ul. Portowa 24
378
odbiór inwestycji
październik 2005
P,Post.
367
Zakłady Wyrobów Metalowych SHL S.A.
25 - 953 Kielce, ul. Zagńska 27
379
sprawdzająca
wrzesień/październik 2005
P,Z
Z.P.H.U. "Farmer" Spółka jawna
28-530 Skalbmierz, ul. Kopernika 20
354 Stawy Rybne w m.Suskrajowice gm. Chmielnik
FHU wł. Bartos Stacja Paliw
355
26-110 Skarżysko-Kam., ul. Towarowa 8
353
356
Autoryzowany Dealer "STIHL"
28-200 Staszów, ul. Koszarowa 4
o
p,o,ś
o
w
"CHEMPOL" Sp. zo.o.
368 Składowisko Odpadów Jarosławice
28-142 Tuczepy, Dobrów 8
380
podstawowa
październik 2005
P,Ir,Is
369
Rozlewnia Wód i Hurtownia Art.Spożywczych "Wersal"
28-100 Busko Zdrój, ul. Bohaterów W-Wy 122
381
sprawdzająca
październik 2005
N
370
Sanatorium Uzdrowiskowe "Nida-Zdrój" Sp. zo.o.
28-100 Busko Zdrój, ul. Rzewóżskiego 9
382
podstawowa
wrzesień/październik 2005
P,Z,Is
371
"Malinowy Zdrój" Sp. zo.o.Sollcu Zdroju
31-946 Kraków, Oś. Teatralne 24
383
odbiór inwestycji
październik 2005
P,Post.
385
odbiór inwestycji
wrzesień 2005
P,Post.
Urząd Gminy Daleszyce
372 oczyszczalnia Ścieków w Marzyszu
26-021 Daleszyce, Pl. Staszica 9
o
p
373
P.P.H.U. "PAMAR"
26-085 Miedziana Góra, Kostomłoty II 92
386
interwencyjna
wrzesień 2005
P,In
374
"WESPAR" S.C.
27-552 Baćkowice 85
387
odbiór inwestycji
październik 2005
P,Post.
Urząd Miasta Starachowice
375 Składowisko Odpadów Marcinkowice
27-200 Starachowice, ul. Radomska 4
388
interwencyjna
wrzesień 2005
P,Z,Ir,Is
o
376
Spółdzielnia Pracy "Termoplast"
26-200 Końskie, ul. Fabryczna 31
389
sprawdzająca
październik 2005
P,Z
p
377
Hurtownia Spożywcza R&R Spółka jawna
25-620 Kielce, ul. Kolberga 15
392
podstawowa
październik 2005
P,Z,Is,In
o,ś,h
393
interwencyjna
październik 2005
P,Ir,Is
Urząd Miasta Sandomierz
27-600 Sandomierz, Plac Poniatowskiego 3
379 Sad ogrodniczy w m. Suchowola
378
394
interwencyjna
październik 2005
P
Przedsiębiorstwo Goospodarki Komunalnej
380 i Mieszkaniowej Sp. z o.o.
27-600 Sandomierz, ul. Przemysłowa
395
sprawdzająca
październik 2005
P,In
"SOPRO-POLSKA" Sp. zo.o.
381 Zakład Suchych Zapraw
26-052 Sitkówka Nowiny
397
podstawowa
październik 2005
P,Z
o
382
Urząd Miasta i Gminy Chęciny
26-060 Chęciny, Pl. 2-go Czerwca 4
398
interwencyjna
październik 2005
N
Is
383
Gospodarstwo rolne
26-110 Skarżysko Kam.
399
interwencyjna
październik 2005
P,Ir,Is,In
o
Sędziszowskie Przedsiębiorstwo
384 Energetyki Cieplnej Sp. z o.o.
28-340 Sędziszów, ul. Przemysłowa 9 b
400
podstawowa
wrzesień 2005
P,Z
o,w,ś
385
P.P.U.H. "EKOM" S.C.
26-060 Chęciny, Siedlce 25
401
podstawowa
październik 2005
P,Z,Is,In
o
386
"LHOIST-BUKOWA" Sp. zo.o.
29-105 Bukowa, ul. Osiedlowa 10
402
sprawdzająca
październik 2005
P,Z,Post.
ś
387
P.U.H. "SKAR" Spółka jawna
27-532 Wojciechowice, Jasice 2A
403
interwencyjna
październik 2005
P,Z,Is,In
o,p
388
Punkt Zbiorczy Padliny
29-100 Włoszczowa, ul. Przedborska 87
404
podstawowa
październik 2005
P,Z,Is
o,p
389
"Społem" Piekarnia s.c.
28-400 Pińczów, ul. Bat. Chłopskich 56
405
sprawdzająca
październik 2005
P,Z,Is,In
p
390
Samodzielny Publiczny ZOZ
28-200 Koniemłoty, Pl. Ks. Kotlarza 8
406
podstawowa
październik 2005
P,Z,Is
o,ś
391
Zakład Opieki Zdrowotnej
28-400 Pińczów, ul. Armii Krajowej 22
407
sprawdzająca
październik 2005
P,Z,Is
o
392
Wylęgarnia drobiu
28-400 Pińczów, ul. Słubska 21
408
podstawowa
październik 2005
P,Z,Is
o
393
"Cukier Małopolski" S.A.
28-500 Kazimierza Wielka, ul. 1-go Maja 14
412
sprawdzająca
październik 2005
P,Z,Is
o,ś
414
sprawdzająca
październik 2005
P,Wns,Is,In
Przedsiębiorstwo Gospodarki Komunalnej
394 i Mieszkaniowej Sp. zo.o.
7- 500 Opatów, ul. Partyzantów 42
395
Zakład Utylizacji s.c.
27-440 Ćmielów, Stoki Duże
415
sprawdzająca
październik/listopad 2005
P,W,Is,M
o,w,p,ś
396
"SZUMMAR" Zakład Pracy Chronionej
27 - 215 Parszów, ul. Staszica 2 A
419
interwencyjna
październik 2005
P,Z,Is,Ir,M
p
397
"GLAVERBEL Szkło-Glav Sp. z o.o.
27-500 Opatów, ul. Ćmielowska
420
podstawowa
październik 2005
P,Z
398
Zakład Elektrotechniki Motoryzacyjnej "ROCAR"
25-620 Kielce, ul. Kolberga 4a
421
podstawowa
październik 2005
P,Z,Ir,Is,M
399
Posesja prywatna w . Bartków
26-050 Zagnańsk
422
interwencyjna
październik 2005
N,Is
400
Zakład Gospodarki Komunalnej i Mieszkaniowej
28-366 Małogoszcz, Osiedle 1A
423
odbiór inwestycji
październik 2005
N,Is
401
Okręgowa Spółdzielnia Mleczarska
26 - 200 Końskie, ul. Zielona 11
424
sprawdzająca
październik/listopad 2005
P,Z,In
o
p
402
Z.H.U. "WiM"
25-385 Kielce, ul. Prosta 153
425
odbiór inwestycji
październik 2005
P,Post.
403
"Ranflex" Sp. zo.o.
25-346 Kielce, ul. Głogowa 13
427
sprawdzająca
październik 2005
P,Z
o
404
Zakład Opieki Zdrowotnej
28-300 Jędrzejów, ul. Małogoska 25
428
sprawdzająca
październik/listopad 2005
P,Z
o
405
"STAR-DUST"
26-200 Końskie, ul. Fabryczna 8c
429
odbiór inwestycji
paździerenik 2005
P,Post.
406
"Ceramika" Końskie Sp. zo.o.Zakład nr 2
26-200 Końskie, ul. Ceramiczna 5
430
sprawdzająca
październik/listopad 2005
P,Z,Is
407
Stacja Obsługi Samochodów
26-110 Skarżysko Kam.,ul. Szydłowiecka 2
431
odbiór inwestycji
październik 2005
P,Post.
408
P.P.U.H. "CAR-BUD"
26-020 Chmielnik, ul. Przemysłowa 54
433
sprawdzająca
październik 2005
P
Urząd Miasta i Gminy w Pińczowie
409 (dot. składowiska odpadów w Skrzypiowie)
28-400 Pińczów, ul. 3-go Maja 10
434
sprawdzająca
październik/listopad 2005
P,Post.
p,opak.
410
P.P.U.H. "EKOM" S.C.
26-060 Chęciny, Siedlce 25
435
interwencyjna
październik 2005
P,Wns
o
411
Z.P.H. "Puszek"
26-008 Górno, Cedzyna 183
436
interwencyjna
listopad 2005
P,Z
p,o
412
Przedsiębiorstwo Budowlane "AGDOM" S.A.
29-100 Włoszczowa, ul. Jędrzejowska 81
438
sprawdzająca
październik 2005
N
413
PKS Sp. zo.o.
28-200 Staszów, ul. Krakowska 51
439
sprawdzająca
listopad 2005
P
PBH "BUDAR"
414 Stacja Paliw w Jaworznie
26-065 Piekoszów, ul. Kochanowskiego 18
440
interwencyjna
listopad 2005
Wns
Urząd Miasta i Gminy w Pińczowie
415 (dot. składowiska odpadów w Skrzypiowie)
28-400 Pińczów, ul. 3-go Maja 10
442
interwencyjna
październik 2005
N,W
416
Auto-Części "GUMIX"
28-300 Jędrzejów, Potok Mały 9
443
podstawowa
listopad 2005
P,Z,Ir,M
417
Myjnia samochodowa
28-340 Sędziszów, ul. Dworcowa 37
445
odbiór inwestycji
listopad 2005
P,Post.
418
Zakład Produkcji Urządzeń Elektrycznych S.A.
29-100 Włoszczowa, ul. Jędrzejowska 79 c
446
odbiór inwestycji
listopad 2005
P,Post.
ś
419
Stacja Kontroli Pojazdów "DIA-CAR" s.c.
27-580 Sadowie, Jacentów 61
447
odbiór inwestycji
listopad 2005
P,Post.
420
Rejonowa Spółdzielnia Pszczelarska
28-100 Busko Zdrój
449
sprawdzająca
listopad 2005
P,Z
o
421
PPHU "Białczyk"
28-411 Michałów, Zagajów 34
450
podstawowa
listopad 2005
P,Z
ś,o
451
sprawdzająca
listopad 2005
P,Z,Is
o
452
sprawdzająca
listopad 2005
P,Is
Krajowa Spółka Cukrowa S.A.
424 Cukrownia "Częstocice"
27 - 400 Ostrowiec Św., ul. Świętokrzyska 27
453
sprawdzająca
listopad 2005
P,Z
Polimeni International
425 Centrum Handlowo-Usługowe "Galeria Ostrowiec"
27-400 Ostrowiec Św., ul. Mickiewicza 32
455
sprawdzająca
listopad 2005
P,Post.
Produkcja Rur Wydechowych "Van-Star"
426 28-300 Jędrzejów, Książe-Skroniów 41
457
odbiór inwestycji
listopad 2005
P,Post.
"Auto-Rex" Kielce Sp. zo.o.
427 25-655 Kielce, ul. 1-go Maja 191
458
odbiór inwestycji
listopad 2005
P.Post.
Przedsiębiorstwo Wielobranżowe "Auto-Serwis"
428 26-085 Miedziana Góra, Kostomłoty I
459
interwencyjna
listopad 2005
P,Z,Wns,In
o
DS. SMITH-POLSKA S.A.
429 25 -639 Kielce, ul. Malik ów 150
466
sprawdzająca
listopad 2005
P,Is
p
Stacja Hodowli Roślin
430 27-530 Ożarów, Śmiłów
467
interwencyjna
listopad 2005
P
ś
431 Nielegalny Transport odpadów z zagranicy
478
interwencyjna
listopad 2005
N,Ir,In
Gospodarstwo rolne. Hodowla Trzody Chlewnej
28-425Złota, Skotniki Małe
Zakład Gospodarki Komunalnej i Mieszkaniowej
423 (dot. składowiska odpadów)
26-220 Stąporków, ul. Piłsudskiego 132 a
422
p,o
Objaśnienia:
N – notatka służbowa
P – Protokół kontroli
Z – Zarządzenie pokontrolne
W – Wystąpienie pokontrolne
Post.- postanowienie i opinie
Wns – wnioski do organu administracji samorządowej
Is – informacja do organu administracji samorządowej
Wnr – wnioski do organu administracji rządowej
Ir – informacja do organu administracji rządowej
Woś – wnioski do organów ścigania
Ioś – informacja do organu ścigania
In – informacje inne
M – mandaty
o – stwierdzone nieprawidłowości w gospodarce odpadami
ś – stwierdzone nieprawidłowości w gospodarce ściekowej
w - stwierdzone nieprawidłowości w gospodarce wodnej
p - stwierdzone nieprawidłowości w zakresie ochrony powietrza przed zanieczyszczeniami
h - stwierdzone nieprawidłowości w zakresie ochrony środowiska przed hałasem
opak. – stwierdzone nieprawidłowości w gospodarce opakowaniami i odpadami opakowaniowymi
PCB - stwierdzone nieprawidłowości w zakresie postępowania z PCB
SZWO – stwierdzone nieprawidłowości w zakresie postępowania z substancjami zaburzającymi warstwę ozonową
prod. – stwierdzone nieprawidłowości w zakresie opłaty produkcyjnej i depozytowej
opłaty . – stwierdzone nieprawidłowości w zakresie opłat za korzystanie ze środowiska
NZŚ - Nadzwyczajne Zagrożenia Środowiska