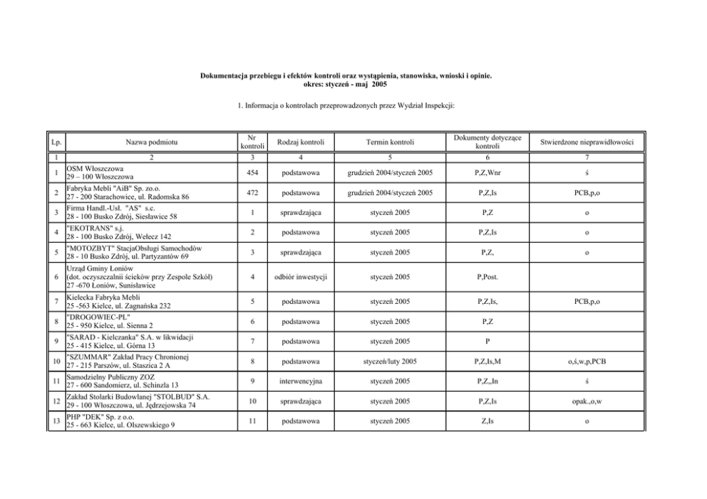
1. Informacja o kontrolach przeprowadzonych przez Wydział Inspekcji

Transkrypt

1. Informacja o kontrolach przeprowadzonych przez Wydział Inspekcji
Dokumentacja przebiegu i efektów kontroli oraz wystąpienia, stanowiska, wnioski i opinie.
okres: styczeń - maj 2005
1. Informacja o kontrolach przeprowadzonych przez Wydział Inspekcji:
Lp.
Nazwa podmiotu
1
2
Nr
kontroli
3
Rodzaj kontroli
Termin kontroli
4
5
Dokumenty dotyczące
kontroli
6
Stwierdzone nieprawidłowości
7
1
OSM Włoszczowa
29 – 100 Włoszczowa
454
podstawowa
grudzień 2004/styczeń 2005
P,Z,Wnr
ś
2
Fabryka Mebli "AiB" Sp. zo.o.
27 - 200 Starachowice, ul. Radomska 86
472
podstawowa
grudzień 2004/styczeń 2005
P,Z,Is
PCB,p,o
3
Firma Handl.-Usł. "AS" s.c.
28 - 100 Busko Zdrój, Siesławice 58
1
sprawdzająca
styczeń 2005
P,Z
o
4
"EKOTRANS" s.j.
28 - 100 Busko Zdrój, Wełecz 142
2
podstawowa
styczeń 2005
P,Z,Is
o
5
"MOTOZBYT" StacjaObsługi Samochodów
28 - 10 Busko Zdrój, ul. Partyzantów 69
3
sprawdzająca
styczeń 2005
P,Z,
o
6
Urząd Gminy Łoniów
(dot. oczyszczalnii ścieków przy Zespole Szkół)
27 -670 Łoniów, Sunisławice
4
odbiór inwestycji
styczeń 2005
P,Post.
7
Kielecka Fabryka Mebli
25 -563 Kielce, ul. Zagnańska 232
5
podstawowa
styczeń 2005
P,Z,Is,
8
"DROGOWIEC-PL"
25 - 950 Kielce, ul. Sienna 2
6
podstawowa
styczeń 2005
P,Z
9
"SARAD - Kielczanka" S.A. w likwidacji
25 - 415 Kielce, ul. Górna 13
7
podstawowa
styczeń 2005
P
10
"SZUMMAR" Zakład Pracy Chronionej
27 - 215 Parszów, ul. Staszica 2 A
8
podstawowa
styczeń/luty 2005
P,Z,Is,M
o,ś,w,p,PCB
11
Samodzielny Publiczny ZOZ
27 - 600 Sandomierz, ul. Schinzla 13
9
interwencyjna
styczeń 2005
P,Z,,In
ś
12
Zakład Stolarki Budowlanej "STOLBUD" S.A.
29 - 100 Włoszczowa, ul. Jędrzejowska 74
10
sprawdzająca
styczeń 2005
P,Z,Is
opak.,o,w
13
PHP "DEK" Sp. z o.o.
25 - 663 Kielce, ul. Olszewskiego 9
11
podstawowa
styczeń 2005
Z,Is
o
PCB,p,o
14
Grupa Ożarów S.A.
27 - 530 Ożarów, Krasy 77
12
sprawdzająca
styczeń 2005
P,Z
15
DS. SMITH-POLSKA S.A.
25 -639 Kielce, ul. Malik ów 150
13
sprawdzająca
styczeń 2005
P
14
podstawowa
styczeń 2005
P,Z,Is,In
Firma Produkcyjna Wędlin i Wyrobów
16 Wędliniarskich
28 - 230 Połaniec, ul. Ogrodowa 1
o,p
o,SZWO
17
Przetwórstwo Owoców i Warzyw "GOMAR"
25 - 372Kielce, ul. Skrajna 58
15
podstawowa
styczeń 2005
P,In
18
"PETRO-PLUS" Stacja Paliw wł. Krawczyk
25 - 320 Kielce, ul. Domaszowska 71
16
podstawowa
styczeń 2005
P,Z,
19
"NAPA" Sp. j.
26 - 100 Skarżysko Kamienna, ul. Łyżwy 128
17
sprawdzająca
styczeń/ luty 2005
P
20
PUPH wł. Struski
26 - 060 Chęciny, Os. Sosnówka 1 c
18
odbiór inwestycji
styczeń 2005
P,Z,Post.
o
21
Zakład Uboju i Wyrobu Wędlin
28 - 160 Wiślica, Koniecmosty 82
19
podstawowa
styczeń 2005
P,Z,Is,Irz
ś,o
22
Naprawa Pojazdów "Grzyb"
28 - 100 Busko Zdrój, Mikułowice 119
20
podstawowa
styczeń 2005
P,W,Is,In
23
"STAR-GAZ"
28 - 100 Busko Zdrój, ul. Wojska Polskiego 119
21
podstawowa
styczeń 2005
P,Z,Is
22
sprawdzająca
styczeń/luty 2005
P,In
Specjalistyczne Gospodarstwo Drobiarskie
24 wł. Z. Gawroński
28 - 100 Busko Zdrój, Mikułowice 3
o,p
ś,o
25
"CABAŁA COMPLEX" Stacja Paliw w Jasieńcu
gm. Słupia Jędrzejowska
23
odbiór inwestycji
styczeń 2005
P,Is
26
Zakłady Wyrobów Metalowych SHL S.A.
25 - 953 Kielce, ul. Zagńska 27
24
interwencyjna
styczeń 2005
P
27
Drukarnia "Duet" Sp. j.
25 - 415 Kielce, ul. Górna 11 a
25
odbiór inwestycji
styczeń 2005
P,Is,Post.
Urząd Gminy Sadowie
28 (dot. Składowisko odpadów Grocholice)
27 - 580 Sadowie
26
sprawdzająca
styczeń 2005
P,Is
Przedsiebiorstwo Wielobranżowe
29 wł. W.Miernik
26 - 130 Suchedniów, ul. Kościuszki 4
27
podstawowa
styczeń 2005
P,Z,IS
o
28
interwencyjna
styczeń/luty 2005
P,Z,Wns,Ir,In,M
p,o
30
Spalarnia Odpadów Medycznych "EXPOL-BIS" Sp. j.
26 - 110 Skarżysko-Kam. , ul. Solkola
31
Sprzedaż Detaliczna Paliw - Gaz
26 - 060 Chęciny, Korzecko 87
29
interwencyjna
styczeń 2005
P,Is,Irz
Warsztat Rzemieślniczy
32 Grażyna i Janusz Cymbra
28 - 300 Jedrzejów, Mniów 167
30
sprawdzająca
styczeń 2005
P,Post.
Krajowa Spółka Cukrowa S.A.
33 Cukrownia "Częstocice"
27 - 400 Ostrowiec Św., ul. Świętokrzyska 27
31
sprawdzająca
styczeń 2005
P,Post.
34
PPHU "ASKO"
26 - 110 Skarżysko Kamienna, ul. 1-go Maja 78
32
sprawdzająca
styczeń/marzec/kwiecień 2005
P
35
"TABEX-OZMO" Sp. z o.o.
27 - 400 Ostrowiec Św. , ul. Sandomierska 112
33
sprawdzająca
styczeń 2005
P,W,In
34
sprawdzająca
styczeń 2005
P,Is
35
sprawdzająca
styczeń/luty 2005
P,Z
"DS. SMITH Polska" S.A.
38 25 - 639 Kielce, ul. Malików 150
36
sprawdzająca
styczeń/luty 2005
P
Zakład Cukierniczy wł. M.Fit
39 26 - 085 Miedziana Góra, ul. Liliowa 3
37
podstawowa
styczeń 2005
P.Z,Ir,Is,In
p,o
"DALKIA POLSKA" S.A. Obiekty w Jędrzejowie
40 28 - 300 Jędrzejów, ul. Przypkowskiego 37
38
sprawdzająca
styczeń/luty 2005
P,Z,Is
p,o
Areoklub Pińczowski
41 28 - 400 Pińczów, ul. Legionistów 26 a
40
sprawdzająca
luty 2005
P,Post.
"HENKEL POLSKA" S.A. Zakład Produkcyjny
42 26 - 220 Stąporków, Stara Góra
39
podstawowa
luty/marzec 2005
P,Is
Celsa Huta Ostrowiec Sp. zo.o.
43 27 - 400 Ostrowiec, ul. Samsonowicza 2
41
sprawdzająca
luty 2005
P,Z,
MPEC Sp. zo.o.
44 25 -611 Kielce, ul. Mielczarskiego 139
42
sprawdzająca
marzec/kwiecień 2005
P,Z
Komenda Miejska Policji - kotłownia
45 25 - 008 Kielce, ul. Staszica 14
43
interwencyjna
luty 2005
P,In
Zakład Produkcyjny opakowan Tekturowych
46 "SŁAWAL" s.c.
26 - 110 Skarżysko Kamienna, ul. Rejowska 99
44
sprawdzająca
luty/kwiecień 2005
P
Urząd Gminy Małogoszcz
36 (dot. Składowiska odpadów w Mieronicach)
28 - 366 Małogoszcz, ul.Jędrzejowska 15 a
37
PPHU "WTÓRPOL" Zakład Pracy Chronionej
26 - 110 Skarżysko-Kam., ul. Żurawia 1
o,p
o
Zakład Regeneracji Tworzyw Sztucznych
47 26 -230 Radoszyce, ul. Mickiewicza 3
45
interwencyjna
luty 2005
N,Is
Miejski Zarząd Dróg
48 25 - 384 Kielce, ul. Prędowskiej 7
46
odbiór inwestycji
luty 2005
P,Post.
Przeds. Remontowo Montażowe "REMUR"
49 28 - 400 Pińczów, ul. Grodziskowa 15
47
podstawowa
luty 2005
N
Stacja Paliw "ANGIELSCY" Sp. j.
50 26 - 020 Chmielnik, Śladków Mały
48
podstawowa
luty 2005
N
ZPUH "METROL"
51 28 - 100 Busko Zdrój, Zwierzyniec
49
sprawdzająca
luty 2005
P,Z,Is,M
o,w,p
Zakład Gospodarki Komunalnej
52 (dot. czyszczalni ścieków w Gnojnie)
28 - 114 Gnojnie
50
sprawdzająca
luty 2005
P,Z
ś
Zakład Przetwórstwa Mięsnego Hochel Ryszard
53 26 - 065 Micigózd, ul. Częstochowska 6
53
interwencyjna
luty 2005
P,Z,Wns,Wnr,Ir
o
PPUH "STAR-POL" wł. B.Paśko
54 26 - 050 Zagnańsk, Lekomin 23
54
interwencyjna
luty 2005
P,Z,Is,Irz
o,ś
Zakład Energetyki Cieplnej
55 28 - 200 Staszów, ul. Langiewicza 14
55
sprawdzająca
luty 2005
P,Z,Is
p
Budowlano-Montażowa Spółdzielnia Pracy
56 "BUDOMONT"
28 - 200 Staszów, ul. Towarowa 7
56
podstawowa
luty 2005
N
Odlewnie Wyrobów Kanalizacyjnych Sp. zo.o.
57 26 - 200 Staporków, ul. Staszica 1A
57
sprawdzająca
luty 2005
N
Urząd Miasta i Gminy Chmielnik
58 (dot. Składowiska odpadów w Suchowoli)
26 - 020 Chmielnik, Pl. Kościelny 5
58
sprawdzająca
luty 2005
P,Is
Wojewódzki Szpital Zespolony
59 25 - 736 Kielce, ul. Grunwaldzka 45
59
sprawdzająca
Luty 2005
P,Z,Is,In
azbest,o
OSM Bidziny
60 Oddział w Staszowie
28 - 200 Staszów, ul. Parkowa 9
60
sprawdzająca
luty 2005
P,Z,Is
p
Bar Mleczny
61 28 - 200 Staszów, Rynek 6
61
interwencyjna
luty 2005
P,Z,In
p
Spalarnia Odpadów Medycznych ZOZ Busko
62 28 - 100 Busko Zdrój, ul. Bohaterów Warszawy
62
sprawdzająca
luty 2005
P,Z,
o,p
PPU "ARFOX"
63 28 - 330 Wodzisław, Mierzawa 66
63
sprawdzająca
luty/kwiecień 2005
P
Poligrafia S.A.
64 25 - 323 Kielce, ul. Manifestu Lipcowego 24
64
sprawdzająca
luty 2005
P,Z,Is
Posesja prywatna wł. M. Stachura
65 26 - 026 Morawica,Bilcza-Podgórze 22
65
interwencyjna
luty 2005
P,Is
Sklep Wielobranżowy wł. R. Grzywa
66 26 -060 Chęciny, ul. Radkowska 1 c
66
odbiór inwestycji
luty 2005
"PREKON" Sp. zo.o.
67 27 - 200 Starachowice, ul. Składowa 33
67
odbiór inwestycji
luty 2005
P,Post.
SAINT-GOBAIN Weber Terranova Sp. zo.o.
68 27 - 400 Ostrowiec Św.,ul. 11 - go Listopada 60
69
sprawdzająca
luty 2005
P,Z
Spółdzielnia Inwalidów "SIMKO"
69 Zakład Pracy Chronionej
26 - 110 Skarżysko - Kam., ul. 1- go Maja 99
71
podstawowa
luty 2005
P,Z,Is
p,o,ś,w
Kieleckie Zakłady Naprawy Samochodów Sp. zo.o. w
70 likwidacji
25 - 701 Kielce, ul. Krakowska 62
72
sprawdzająca
luty/marzec 2005
P,Z
PCB
ETC Sp. zo.o.
71 27 - 400 Ostrowiec Św., ul. Drukarska 14
75
sprawdzająca
luty/marzec 2005
P,Is
"BETONCHEM"
72 26 - 200 Końskie, ul. Piłsudskiego 32
74
odbiór inwestycji
luty 2005
P,Post.
Celsa Huta Ostrowiec Sp. zo.o.
73 27 - 400 Ostrowiec, ul. Samsonowicza 2
76
sprawdzająca
luty 2005
P,Z,Irz
74
Rafineria Jasło S.A. Stacja Paliw
27 - 600 Sandomierz, ul. Lwowska 48
77
odbiór inwestycji
luty 2005
P,Irz,Is,In
75
PPHU "INTERSPEED" Sp. zo.o.
27 - 400 Ostrowiec Św, ul. Gulińskiego 26
78
sprawdzająca
luty/marzec 2005
P
79
odbiór inwestycji
luty 2005
P,Post.
80
sprawdzająca
marzec 2005
P,Irz,Is,In
PH "Domgoss" S.A.
78 25 - 020 Kielce, ul. Chęcińska 14 a
81
interwencyjna
marzec 2005
P,Z
"EkoPlon" S.A.
79 Zakład Produkcji Nawozów
28 - 225 Szydłów, Grabki Duże
82
sprawdzająca
marzec 2005
P,Is
OSM "Jedność"
80 28 - 151 Biechów, Wójcza
83
sprawdzająca
marzec 2005
N
"PILKINGTON AUTOMOTIVE Poland" Sp. zo.o.
27 - 600 Sandomierz, ul. Portowa 24
"Hydrogeotechnika" Sp. zo.o.
77 25 - 116 Kielce, ul. Ściegiennego 262 a
76
o
o
p,o
Generalna Dyrekcja Dróg Krajowych i Autostrad
81 Obwód Służby Liniowej
28 - 100 Busko Zdrój, Grotniki Duże
84
interwencyjna
marzec 2005
P,Z,Is
w
PT-H "Utrans"
82 28 - 100 Busko - Zdrój, Mikułowice 359
85
sprawdzająca
marzec 2005
P,Z,Is,M
o
PPUH "Sudolanka"
83 28 - 300 Jędrzejów, Sudół 24
86
odbiór inwestycji
marzec 2005
P,Z,Post.,Is
o
"KAMIR" S.C.
84 25 - 020 Kielce, ul. Checińska 14
87
interwencyjna
marzec 2005
P,Z,In
o,p
"INFOMAX"
85 Zakład Pracy Chronionej
25 -604 Kielce, ul. Opienińska 21
88
interwencyjna
marzec 2005
P,Z,In
p
PPH "PRECYZJA" Sp. zo.o.
86 28 - 200 Staszów, ul. Oględowska 15
89
sprawdzająca
kwiecień 2005
P,Z
opak.,o,w
"KIEL-PAK" Sp. j.
87 25 -655 Kielce, ul. 1-go Maja 165 a
90
sprawdzająca
marzec/maj 2005
P
"Bracia Kasprzak" Sp. J.
88 Gospodarstwo Ogrodnicze
26 - 065 Piekoszów, ul. Czarnowska 54
91
sprawdzająca
marzec 2005
P,Z,Is,M
p,w,o,azbest
PPUH "Kanarek" Ubojnia Drobiu
89 26 - 065 Piekoszów, ul. Słoneczna 22
92
podstawowa
marzec 2005
P,Z,Is
w,o,SZWO
"SHMIDT" Sp. zo.o.
90 25 -650 Kielce, ul. Skrajna 80 a
93
odbiór inwestycji
kwiecień 2005
P,Post.
91
Sklep Ogrodniczo Przemysłowy
wł. K. Nowakowska
02 - 500 Ostrowiec Św., ul. Słowackiego 70
94
sprawdzająca
marzec 2005
P,Post.
92
Sklep Ogrodniczo Przemysłowy
wł. K. Nowakowski
02 - 500 Ostrowiec Św., ul. Słowackiego 71
95
sprawdzająca
marzec 2006
P,Post.
ZUH Przetwórstwa Rybnego "AKWEN3"
93 28 - 200 Staszów, Towarowa
96
odbiór inwestycji
marzec 2005
P,Post.
PPUH "CYNKOMENT"
94 27 - 200 Starachowice, ul. Składowa 29
97
podstawowa
marzec 2005
P,Z,Is
o,PCB
Przedsiębiorstwo Topienia Bazaltu Sp. zo.o.
95 27 - 200 Starachowice, ul. Piłsudskiego 68
98
podstawowa
marzec/kwiecień 2005
P,Z,Is
o,PCB,azbest
"PREON" Sp. zo.o.
96 27 - 200 Starachowice, ul. Składowa 33
99
podstawowa
marzec 2005
P,Z
o, opak.
"ETC plus" S.A.
97 27 - 400 Ostrowiec Św, ul. Drukarska 14
100
sprawdzająca
marzec 2005
P,Z,Is
"AUTO-NAPRAWA"
98 28 - 100 Busko Zdrój, ul. Młyńska 24
101
podstawowa
marzec 2005
P,Is
PHU "MAXAUTO"
99 28 - 100 Busko Zdrój, ul. Wojska Polskiego 48
102
podstawowa
marzec 2005
P,Z,
Zakład Gospodarki Komunalnej w Rudkach
100 (oczyszczalnia ścieków w Rudkach)
26- 006 Nowa Słupia, ul. Górnicza 4
103
podstawowa
marzec 2005
P,Z,Is
Zakład Gospodarki Komunalnej w Rudkach
101 (oczyszczalnia ścieków w Nowej Słupii)
26- 006 Nowa Słupia, ul. Górnicza 5
104
podstawowa
marzec 2005
P,Z,Is
"NOMI"
102 25 - 560 Kielce, ul. Zagnańska 119
105
sprawdzająca
marzec 2005
P
"FORTUM DZT" S.A.
103 Zakład Energetyki Cieplnej
26 - 220 Stąporków, ul. Słowackiego 3 a
106
sprawdzająca
marzec 2005
P,Z
"TRAK-STOL"
104 26 - 062 Fałków, Smyków 72
107
odbiór inwestycji
marzec 2005
P,Post.
PPUH "POLMARK" Sp. zo.o.
105 25 - 620 Kielce, ul. Kolberga 4
108
podstawowa
marzec 2005
P,Z
o
IKM"AGROPOM" Sp. zo.o.
106 28 - 100 Busko Zdrój, ul. Boh. Warszawy 120
109
podstawowa
marzec 2005
P,Z,Is
o,ś,p
Zakład Mechaniki i Blacharstwa Samochodowego
107 28 - 100 Busko Zdrój, ul. Boh. Warszawy 120
110
podstawowa
marzec 2005
P,Z,Is
Komunalny Związek Ciepłownictwa "PONIDZIE"
108 ul. Kilińskiego 41
111
interwencyjna
marzec 2005
P
p
RSP "Nowe Życie"
109 28 -330 Wodzisław, Przezwody 89
113
sprawdzająca
marzec 2005
P,Z
ś,o,azbest
RSP "BILCZA"
110 26 - 026 Morawica, ul. Bukowa 2
114
sprawdzająca
marzec 2005
P,Z
ś, azbest
Sklep "AGROCENTRUM"
111 25 - 369 Kielce, ul. Żeromskiego 17
115
sprawdzająca
kwiecień 2005
P
"ARON" Sp. zo.o.
112 25 - 852 Kielce, ul. Chorzowska 22
116
sprawdzająca
marzec 2005
P,Z
o
Stacja Kontroli Pojazdów "AUTOMIX"
113 26 - 052 Sitkówka Nowiny, Zagrody 64 b
117
interwencja
kwiecień 2005
P,Z,Is,In
p,o,w,ś
o
o
p
FW "ELBUD"
114 26 - 080 mniów, ul. Leśna 2
118
interwencyjna
marzec 2005
P,Z
o,p
Urząd Gminy w Nagłowicach
115 (dot. oczyszczalni ścieków w Wawrzynie)
28 - 362 Nagłowice
119
interwencyjna
marzec 2005
P,W,Is,In
ś
"PRAKTIKER Polska" Sp. zo.o.
116 25 - 323 Kielce, ul. Radomska 8
120
sprawdzająca
marzec 2005
P
"Bracia Kasprzak" Sp. J.
117 Gospodarstwo Ogrodnicze
26 - 065 Piekoszów, ul. Czarnowska 54
121
interwencyjna
marzec 2005
P,Is,Ws,M
PW "BUDOMEX"
118 27 -400 Ostrowiec Św., Dębowa Stara Wola 25
122
sprawdzająca
marzec 2005
P,Podst.
ZHU wł. L. Brzozowski
119 26 - 008 Górno, Krajno II 22
123
interwencyjna
marzec/kwiecień 2005
P,Z,Is,In
opłaty
ZPUH "STYRMET"
120 29 -100 Włoszczowa, ul. Sienkiewicza 96
124
interwencyjna
kwiecień 2005
P,Z,I
o
Tuczarnia Trzody Chlewnej wł. A Smorąg
121 28 - 300 Jędrzejów, Niestachów Drugi 12
125
odbiór inwestycji
kwiecień 2005
P,Z
Ubojnia Drobiu s. j.
122 26 - 085 Miedziana Góra, Przyjmo 22
126
interwencyjna
kwiecień 2005
P,Z,M
"Saint-Gobain Weber Terranowa" Sp. zo.o.
123 27 - 400 Ostrowiec Św., ul. 11-go Listopada 60
127
odbiór inwestycji
kwiecień 2005
P,Post.,Is
"KOWENT" S.A.
124 26 -200 Końskie, ul. Warszawska 52
128
podstawowa
kwiecień 2005
P,Z,Is,M
o,ś,PCB
Stacja Paliw Płynnych wł. Z. Bielawa
125 27 - 640 Klimontów, ul. Słoneczna 1
129
odbiór inwestycji
kwiecień 2005
P,Z,Post.
o
PPHU "AGROPLON" Sklep Ogrodniczy
126 29 - 100 Włoszczowa,ul. Partyzantów 38
130
odbiór inwestycji
kwiecień 2005
P,Post.
Zakład Rolny i Przetwórstwa Mięsnego
127 "JANPOL" s.j.
26 -020 Chmielnik, ul. Witosa 39
131
podstawowa
kwiecień 2005
P,Z
PW wł. J. Łakomy
128 28 -100 Busko Zdrój, Wełecz 143
132
podstawowa
kwiecień 2005
P,Z
"Auto-Gaz-Tytan" Stacja Paliw
129 27 - 600 Sandomierz
134
interwencyjna
kwiecień 2005
P,In
"MEGATERM-PLUS" Sp. zo.o.
130 25 -650 Kielce, ul. Skrajna 86
135
podstawowa
kwiecień 2005
P,Z,Is
ś
ś,o,p,SZWO
o
o,PCB, opak.
Chemiczna Spółdzielnia Pracy "CHEMIPLASTYKA"
131 25 - 562 Kielce, ul. Peryferyjna 8
137
sprawdzająca
kwiecień 2005
P
Zakład Produkcyjno Transportowy "TRANSBET"
132 26 - 115 Skarżysko kamienna, ul. Sokola 34
138
sprawdzająca
kwiecień 2005
P,Z,Is,In
PUH wł. Bolmiński
133 26 - 060 Chęciny, Korzecko 12
139
interwencyjna
kwiecień 2005
P,In,M
Obrót Złomem Metali Nieżelaznych i Stalą "OZMNIS"
134 28 -200 Jędrzejów, ul. Głowackiego
140
sprawdzająca
kwiecień 2005
P,Is
Skup i Przerób Złomem "HAPARTA"
135 28 -362 Nagłowice, Cierno Żabieniec 916
141
sprawdzająca
kwiecień 2005
P,Is
PHU "KRIS" Punkt Skupu Złomu
136 28 -340 Sędziszów, ul. Leśna 38
142
sprawdzająca
kwiecień 2006
P,Is
Zakłady Przemysłu Wapienniczego
137 "Trzuskawica" S.A.
26 - 052 Sitkówka Nowiny
143
interwencyjna
kwiecień 2005
N,In
"TABEX-OZMO" Sp. zo.o.
138 27 - 400 Ostrowiec Św., ul. Sandomierska 112
144
interwencyjna
kwiecień 2005
P
"Poligrafia- Bis" Sp. zo.o.
139 27 - 200 Starachowice, ul. Bema 2 c
145
sprawdzająca
kwiecień/maj 2005
P,Z,Irz,In
opłaty
ZUPH "AG-POL"
140 27 -200 Starachowice, ul. Radomska 53
146
podstawowa
kwiecień 2005
P,Z,In
o
PPHU "BESTPNEUMATIC"
141 25 - 729 Kielce, ul.Urzędnicza 16
147
sprawdzająca
kwiecień 2005
P
Zakład Stolarski "BiG"
142 29 -100 Włoszczowa, ul. Jedrzejowska 79 d
151
sprawdzająca
kwiecień 2005
P,Post.
"KOLPORTER" S.A. oddział świętokrzyski
143 25 - 620 Kielce, ul. Kolberga 11
152
sprawdzająca
kwiecień 2005
P,Z
PW "ALPOL" Sp. zo.o.
144 26 -052 Sitkówka Nowiny, Sitkówka 15 a
154
interwencyjna
kwiecień 2004
P,Z
Ośrodek Sportowo - Rekreacyjny "Rawszczyzna"
145 27 -400 Ostrowiec Św., ul. Mickewicza 32
155
odbiór inwestycji
kwiecień 2005
P,Post.
Miejski Ośrodek Sportu i Rekreacji
146 (dot. stadionu piłkarskiego w Kielcach)
25 - 0116 Kielce, ul. Żytnia 1
156
sprawdzająca
kwiecień 2005
P,In
Fabryka Mebli Łazienkowych "CERSANIT II"
147 27 - 200 Starachowice, ul. Bema2
157
odbiór inwestycji
kwiecień 2005
P,Post.
opłaty,o
p,w,opłaty
Gospodarstwo Rolne wł. Pasternak
148 28 - 425 Złota 4, Skotniki Małe 52
158
interwencyjna
kwiecień 2005
P,W,Is
FUHP "SŁAWOIL"
149 28 - 404 Kije, Stawiany 59
159
podstawowa
kwiecień/maj 2005
P,Z,Is
Zakład Wyrobów Metalowych "METAL-KOP"
150 28 - 100 busko Zdrój, ul. Langiewicza 42
160
sprawdzająca
maj 2005
P,Z,Is
MAGDZIARZ
151 25 - 365 Kielce, ul. Słowackiego 20/1
161
sprawdzająca
kwiecień/maj 2005
P
"RUCH" S.A. oddzial świętokrzyski
152 25 - 017 Kielce, ul. Paderewskiego 11
162
sprawdzająca
kwiecień 2005
P,Z,Irz
Zakłady Metalowe "MESKO" S.A.
153 26 - 111 Skarżysko Kam.,ul. Legionów 122
163
sprawdzająca
kwiecień/maj 2005
P,Z,Irz
PCB
Grzegorz Sokołowski właściciel Kurnika
154 26- 130 Suchedniów,ul. Zagórska 29
164
interwencyjna
kwiecień 2005
N,Z,M
o
Gospodarstwo Rolne wł. Nowak
155 27 -650 Samborzec, ul. Złota 73
165
interwencyjna
kwiecień 2005
P,Irz,Is,In
PPS "SANFOOD" s.j.
156 27 - 800 Sandomierz, ul. Holownicza 6
166
sprawdzająca
kwiecień 2005
P,Is
OSM Radostowa
157 25 - 100 Kielce, ul. Górna 22
168
interwencyjna
kwiecień/maj 2005
N,Irz,In
Fabryka Kostki Brukowej i galanterii Betonowej
158 "JADAR"
25 - 116 Kielce, ul. Ściegiennego 262
169
odbiór inwestycji
maj 2005
P,In
Zakład Usług Komunalnych
159 (dot. oczyszczalni ścieków)
26 - 065 Piekoszów, ul. Częstochowska 66
170
sprawdzająca
maj 2005
P,Is
PH "ACM"
160 25 -502 Kielce, ul. Paderewskiego 38
171
sprawdzająca
maj 2005
p
Zakład Gospodarki Komunalnej
161 28 - 131 Solec Zdrój, ul. 1-go Maja 10
173
sprawdzająca
maj 2005
P,Is
Szkoła Podstawowa w Bardzie
26 - 035 Raków, Bardo 86
162 Zakład Gospodarki Komunalnej w Rakowie
26 - 035 Raków, ul. Kościuszki 45
174
interwencjna
kwiecień 2005
P,Z,Is
ś
Zakład Gospodarki Komunalnej
163 26 - 035 Bieliny, ul. Partyzantów 17
175
sprawdzająca
kwiecień/maj 2005
P,Z
o,ś
Nordkalk Sp. z o.o. Zakład Miedzianka
164 26 - 060 Piekoszów
177
sprawdzająca
maj 2005
P,Z,
o,p
Zakład Usług Komunalnych
165 26 - 021 Daleszyce, Ługi 1
178
ZPUH "ZIBI-POL"
166 28 - 404 Kije, Stawiany 52
180
Andrzej Nawrot
167 28 - 305 Sobków, Miąsowa 77
181
"DROGOWIEC-PL"
168 25 - 950 Kielce, ul. Manifestu Lipcowego 35 A
182
169 PPHU "AMID"
27 - 400 Ostrowiec Św.,Dębowa Wola Stara 25A
183
Skup i Sprzedaż Samochodów Używanych i Części
170 Samochodowych "KAR"
28 - 100 Busko Zdrój, Elżbiecin 17
187
171 PPH "FOKSDRÓB"
26 - 050 Zagnańsk,Kajetanow 110
interwencyjna
maj 2005
N,Is
podstawowa
maj 2005
P,Is
odbiór inwestycji
maj 2005
P,Post.
interwencyjna
maj 2005
P,Irz
o,p
intterwencyjna
maj 2005
P,Z,In
p,o
sprawdzająca
maj 2005
P
190
interwencyjna
maj 2005
P,Z,,In,Irz
ś
"Auto-Serwis" Mechanika, Blacharstwo, Lakiernictwo
172 Usługi Spawalniczo -Ślusarskie
26 - 004 Bieliny, Lechów 96
191
interwencyjna
maj 2005
P,Z,Irz,Is
p,o
Kopalnia i Zakład Wzbogacania Kwarcytu
173 "Bukowa Góra" S.A.
26 - 140 Łączna
194
interwencyjna
maj 2005
N,Is
174 Pawilon Handlowy "LIDL-Polska" Sp. z o.o.
26 -634 Kielce, ul. Piekoszowska
199
odbiór inwestycji
maj 2005
P,I,Post.
175 "AUTO-NAPRAWA"
25 - 562 Kielce, ul. Peryferyjna 7
Zakład Przemysłu Wapienniczego "Trzuskawica"
176
26 - 010 Sitkówka Nowiny
200
odbiór inwestycji
maj 2005
P,Post.
207
interwencyjna
maj 2005
N
p
Objaśnienia:
N – notatka służbowa
P – Protokół kontroli
Z – Zarządzenie pokontrolne
W – Wystąpienie pokontrolne
Post.- postanowienie i opinie
Wns – wnioski do organu administracji samorządowej
Is – informacja do organu administracji samorządowej
Wnr – wnioski do organu administracji rządowej
Ir – informacja do organu administracji rządowej
Woś – wnioski do organów ścigania
Ioś – informacja do organu ścigania
In – informacje inne
M – mandaty
o – stwierdzone nieprawidłowości w gospodarce odpadami
ś – stwierdzone nieprawidłowości w gospodarce ściekowej
w - stwierdzone nieprawidłowości w gospodarce wodnej
p - stwierdzone nieprawidłowości w zakresie ochrony powietrza przed zanieczyszczeniami
h - stwierdzone nieprawidłowości w zakresie ochrony środowiska przed hałasem
opak. – stwierdzone nieprawidłowości w gospodarce opakowaniami i odpadami opakowaniowymi
PCB - stwierdzone nieprawidłowości w zakresie postępowania z PCB
SZWO – stwierdzone nieprawidłowości w zakresie postępowania z substancjami zaburzającymi warstwę ozonową
prod. – stwierdzone nieprawidłowości w zakresie opłaty produkcyjnej i depozytowej
opłaty . – stwierdzone nieprawidłowości w zakresie opłat za korzystanie ze środowiska