Przyjęcie w UP w Poznaniu gościa zagranicznego_P.28_DWZ

Transkrypt

Przyjęcie w UP w Poznaniu gościa zagranicznego_P.28_DWZ
KARTA PROCEDURY
P.28_DWZ
Procedura: P.28
Zakres przedmiotowy: przyjęcie w UP w Poznaniu gościa zagranicznego,
Uczestnicy procesu:
1. pracownicy: Prorektor ds. Nauki i Współpracy z Zagranicą, dziekan, kierownik jednostki
(katedry/instytutu), Dział Współpracy z Zagranicą (DWZ),
2. podmioty zewnętrzne: gość zagraniczny,
Właściciel procesu: Dział Współpracy z Zagranicą (DWZ),
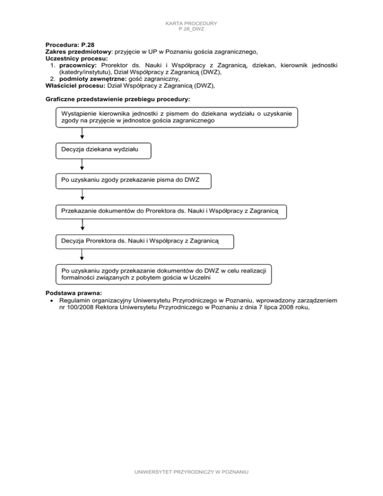
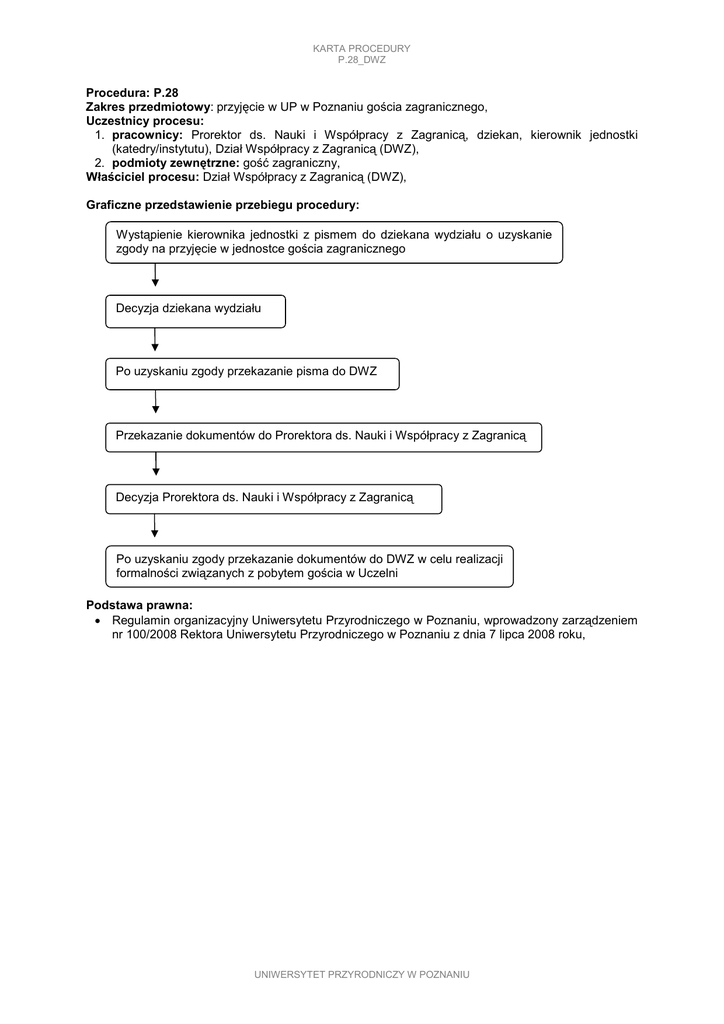
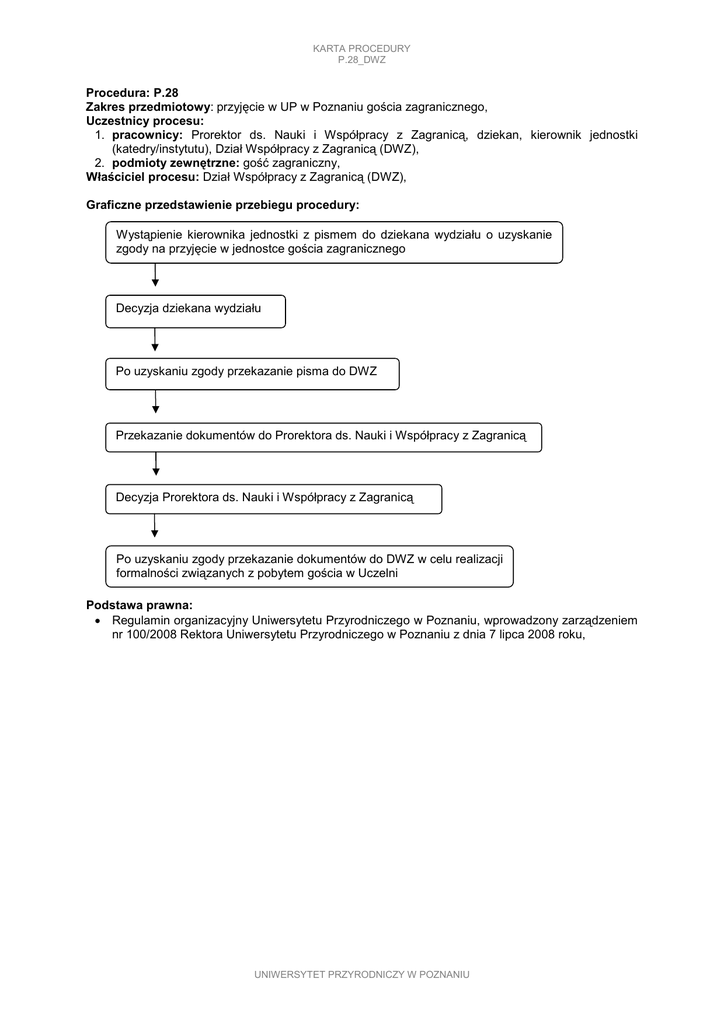
Graficzne przedstawienie przebiegu procedury:
Wystąpienie kierownika jednostki z pismem do dziekana wydziału o uzyskanie
zgody na przyjęcie w jednostce gościa zagranicznego
Decyzja dziekana wydziału
Po uzyskaniu zgody przekazanie pisma do DWZ
Przekazanie dokumentów do Prorektora ds. Nauki i Współpracy z Zagranicą
Decyzja Prorektora ds. Nauki i Współpracy z Zagranicą
Po uzyskaniu zgody przekazanie dokumentów do DWZ w celu realizacji
formalności związanych z pobytem gościa w Uczelni
Podstawa prawna:
• Regulamin organizacyjny Uniwersytetu Przyrodniczego w Poznaniu, wprowadzony zarządzeniem
nr 100/2008 Rektora Uniwersytetu Przyrodniczego w Poznaniu z dnia 7 lipca 2008 roku,
UNIWERSYTET PRZYRODNICZY W POZNANIU