Zakup oprogramowania statystycznego_P.24_DAND

Transkrypt

Zakup oprogramowania statystycznego_P.24_DAND
KARTA PROCEDURY
P.24_DAND
Procedura: P.24
Zakres przedmiotowy: zakup oprogramowania statystycznego
Formularz: karta rejestracyjna uŜytkownika,
Uczestnicy procesu:
1. pracownicy: Prorektor ds. Nauki i Współpracy z Zagranicą, Dział Nauki (DN), Dział Aparatury
Badawczej i Dydaktycznej (DAND),
2. podmioty zewnętrzne:
Właściciel procesu: Dział Aparatury Badawczej i Dydaktycznej (DAND)
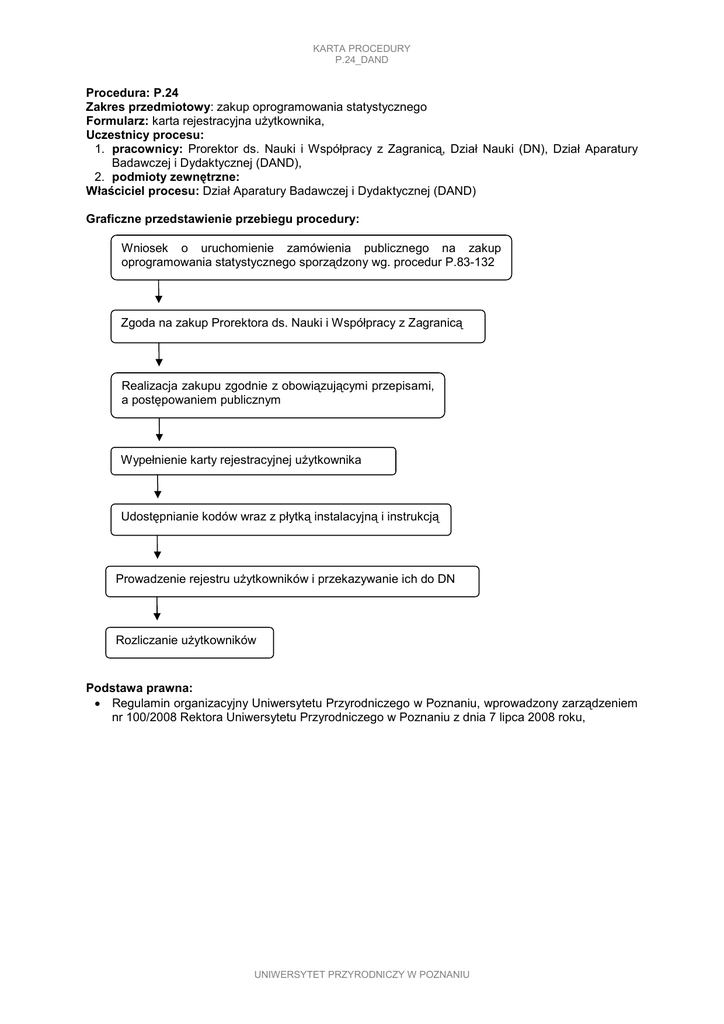
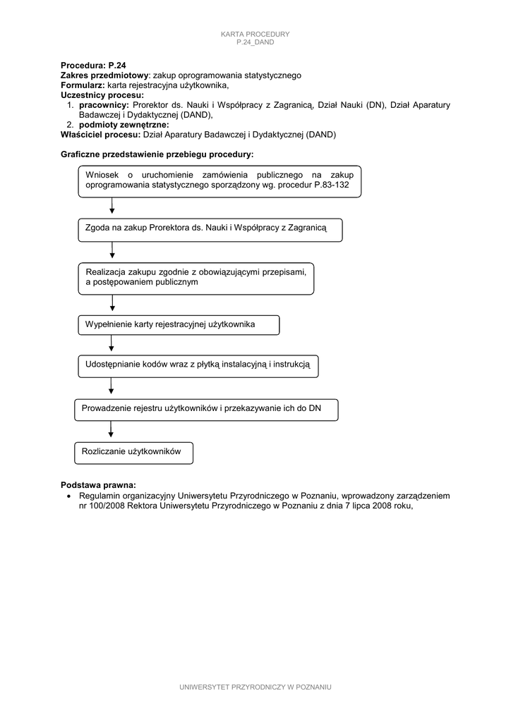
Graficzne przedstawienie przebiegu procedury:
Wniosek o uruchomienie zamówienia publicznego na zakup
oprogramowania statystycznego sporządzony wg. procedur P.83-132
Zgoda na zakup Prorektora ds. Nauki i Współpracy z Zagranicą
Realizacja zakupu zgodnie z obowiązującymi przepisami,
a postępowaniem publicznym
Wypełnienie karty rejestracyjnej uŜytkownika
Udostępnianie kodów wraz z płytką instalacyjną i instrukcją
Prowadzenie rejestru uŜytkowników i przekazywanie ich do DN
Rozliczanie uŜytkowników
Podstawa prawna:
• Regulamin organizacyjny Uniwersytetu Przyrodniczego w Poznaniu, wprowadzony zarządzeniem
nr 100/2008 Rektora Uniwersytetu Przyrodniczego w Poznaniu z dnia 7 lipca 2008 roku,
UNIWERSYTET PRZYRODNICZY W POZNANIU

Podobne dokumenty