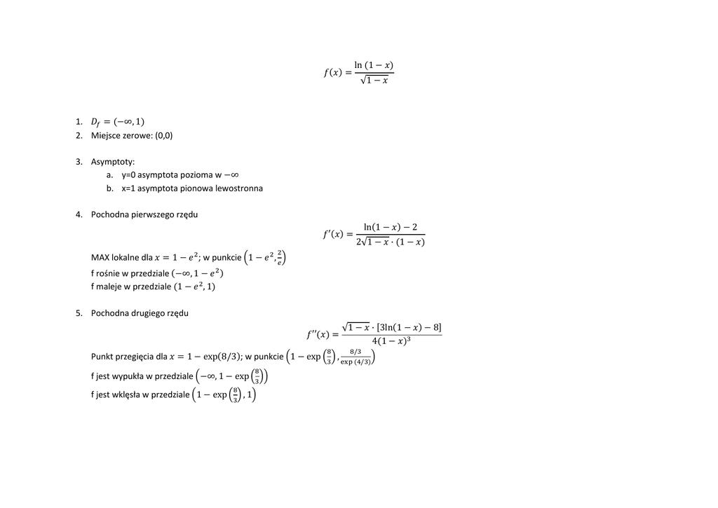
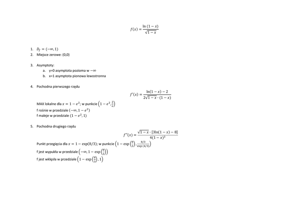
1. 2. Miejsce zerowe: (0,0) 3. Asymptoty: a. y=0 asymptota pozioma

Transkrypt

1. 2. Miejsce zerowe: (0,0) 3. Asymptoty: a. y=0 asymptota pozioma
1.
2. Miejsce zerowe: (0,0)
3. Asymptoty:
a. y=0 asymptota pozioma w
b. x=1 asymptota pionowa lewostronna
4. Pochodna pierwszego rzędu
MAX lokalne dla
; w punkcie
f rośnie w przedziale
f maleje w przedziale
5. Pochodna drugiego rzędu
Punkt przegięcia dla
f jest wypukła w przedziale
f jest wklęsła w przedziale
; w punkcie
6. Tabelka
x
f’(x)
f”(x)
f(x)
1-exp(8/3)
X
X
Granica przy x
zbiegającym do
wynosi 0
7. Wykres
8. Zbiór wartości funkcji
+
+
f. wypukła
rośnie coraz
szybciej
+
0
p.p.
(1-exp(8/3),1exp(2))
+
f. wklęsła
rośnie coraz
wolniej
1-exp(2)
0
MAX
2/e
1
f. wklęsła
maleje coraz
szybciej
X
X
Granica przy x
zbiegającym do 1 z
lewej strony wynosi -