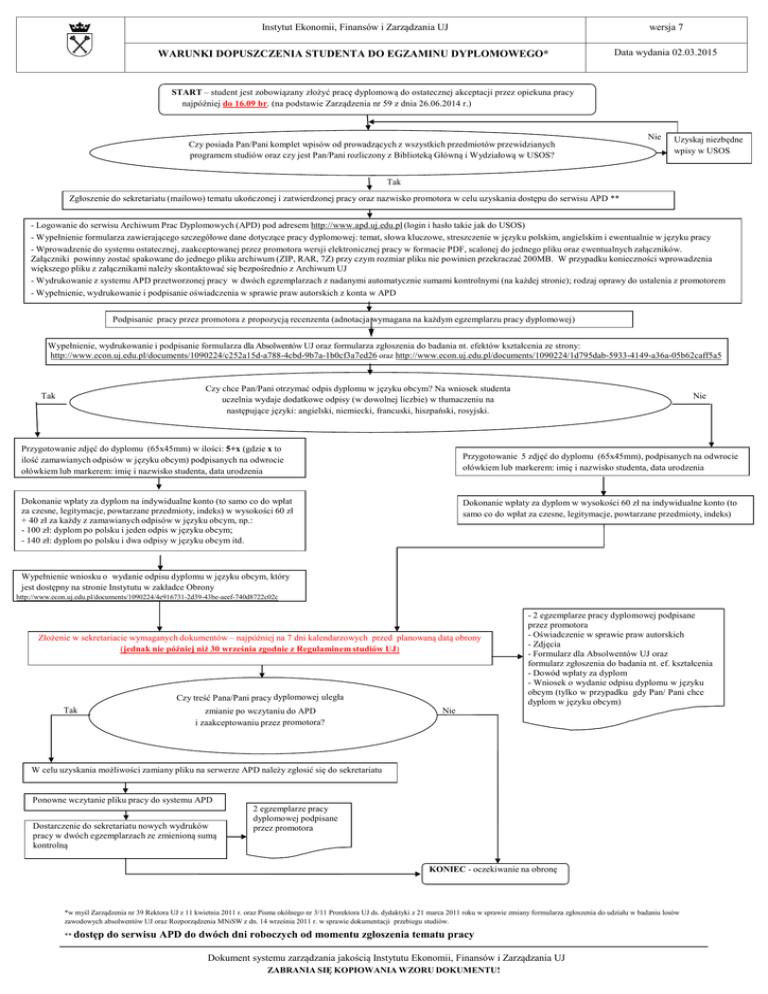
WARUNKI DOPUSZCZENIA STUDENTA DO EGZAMINU

Transkrypt

WARUNKI DOPUSZCZENIA STUDENTA DO EGZAMINU
Instytut Ekonomii, Finansów i Zarządzania UJ
wersja 7
WARUNKI DOPUSZCZENIA STUDENTA DO EGZAMINU DYPLOMOWEGO*
Data wydania 02.03.2015
START – student jest zobowiązany złożyć pracę dyplomową do ostatecznej akceptacji przez opiekuna pracy
najpóźniej do 16.09 br. (na podstawie Zarządzenia nr 59 z dnia 26.06.2014 r.)
Nie
Czy posiada Pan/Pani komplet wpisów od prowadzących z wszystkich przedmiotów przewidzianych
programem studiów oraz czy jest Pan/Pani rozliczony z Biblioteką Główną i Wydziałową w USOS?
Uzyskaj niezbędne
wpisy w USOS
Tak
Zgłoszenie do sekretariatu (mailowo) tematu ukończonej i zatwierdzonej pracy oraz nazwisko promotora w celu uzyskania dostępu do serwisu APD **
- Logowanie do serwisu Archiwum Prac Dyplomowych (APD) pod adresem http://www.apd.uj.edu.pl (login i hasło takie jak do USOS)
- Wypełnienie formularza zawierającego szczegółowe dane dotyczące pracy dyplomowej: temat, słowa kluczowe, streszczenie w język u polskim, angielskim i ewentualnie w języku pracy
- Wprowadzenie do systemu ostatecznej, zaakceptowanej przez promotora wersji elektronicznej pracy w formacie PDF, scalonej do jednego pliku oraz ewentualnych załączników.
Załączniki powinny zostać spakowane do jednego pliku archiwum (ZIP, RAR, 7Z) przy czym rozmiar pliku nie powinien przekraczać 200MB. W przypadku konieczności wprowadzenia
większego pliku z załącznikami należy skontaktować się bezpośrednio z Archiwum UJ
- Wydrukowanie z systemu APD przetworzonej pracy w dwóch egzemplarzach z nadanymi automatycznie sumami kontrolnymi (na każdej stronie); rodzaj oprawy do ustalenia z promotorem
- Wypełnienie, wydrukowanie i podpisanie oświadczenia w sprawie praw autorskich z konta w APD
Podpisanie pracy przez promotora z propozycją recenzenta (adnotacja wymagana na każdym egzemplarzu pracy dyplomowej)
Wypełnienie, wydrukowanie i podpisanie formularza dla Absolwentów UJ oraz formularza zgłoszenia do badania nt. efektów kształcenia ze strony:
http://www.econ.uj.edu.pl/documents/1090224/c252a15d-a788-4cbd-9b7a-1b0cf3a7ed26 oraz http://www.econ.uj.edu.pl/documents/1090224/1d795dab-5933-4149-a36a-05b62caff5a5
Czy chce Pan/Pani otrzymać odpis dyplomu w języku obcym? Na wniosek studenta
uczelnia wydaje dodatkowe odpisy (w dowolnej liczbie) w tłumaczeniu na
następujące języki: angielski, niemiecki, francuski, hiszpański, rosyjski.
Tak
Przygotowanie zdjęć do dyplomu (65x45mm) w ilości: 5+x (gdzie x to
ilość zamawianych odpisów w języku obcym) podpisanych na odwrocie
ołówkiem lub markerem: imię i nazwisko studenta, data urodzenia
Nie
Przygotowanie 5 zdjęć do dyplomu (65x45mm), podpisanych na odwrocie
ołówkiem lub markerem: imię i nazwisko studenta, data urodzenia
Dokonanie wpłaty za dyplom na indywidualne konto (to samo co do wpłat
za czesne, legitymacje, powtarzane przedmioty, indeks) w wysokości 60 zł
+ 40 zł za każdy z zamawianych odpisów w języku obcym, np.:
- 100 zł: dyplom po polsku i jeden odpis w języku obcym;
- 140 zł: dyplom po polsku i dwa odpisy w języku obcym itd.
Dokonanie wpłaty za dyplom w wysokości 60 zł na indywidualne konto (to
samo co do wpłat za czesne, legitymacje, powtarzane przedmioty, indeks)
Wypełnienie wniosku o wydanie odpisu dyplomu w języku obcym, który
jest dostępny na stronie Instytutu w zakładce Obrony
http://www.econ.uj.edu.pl/documents/1090224/4e916731-2d39-43be-aeef-740d8722c02c
Złożenie w sekretariacie wymaganych dokumentów – najpóźniej na 7 dni kalendarzowych przed planowaną datą obrony
(jednak nie później niż 30 września zgodnie z Regulaminem studiów UJ)
Czy treść Pana/Pani pracy dyplomowej uległa
Tak
zmianie po wczytaniu do APD
i zaakceptowaniu przez promotora?
- 2 egzemplarze pracy dyplomowej podpisane
przez promotora
- Oświadczenie w sprawie praw autorskich
- Zdjęcia
- Formularz dla Absolwentów UJ oraz
formularz zgłoszenia do badania nt. ef. kształcenia
- Dowód wpłaty za dyplom
- Wniosek o wydanie odpisu dyplomu w języku
obcym (tylko w przypadku gdy Pan/ Pani chce
dyplom w języku obcym)
Nie
W celu uzyskania możliwości zamiany pliku na serwerze APD należy zgłosić się do sekretariatu
Ponowne wczytanie pliku pracy do systemu APD
Dostarczenie do sekretariatu nowych wydruków
pracy w dwóch egzemplarzach ze zmienioną sumą
kontrolną
2 egzemplarze pracy
dyplomowej podpisane
przez promotora
KONIEC - oczekiwanie na obronę
*w myśl Zarządzenia nr 39 Rektora UJ z 11 kwietnia 2011 r. oraz Pisma okólnego nr 3/11 Prorektora UJ ds. dydaktyki z 21 marca 2011 roku w sprawie zmiany formularza zgłoszenia do udziału w badaniu losów
zawodowych absolwentów UJ oraz Rozporządzenia MNiSW z dn. 14 września 2011 r. w sprawie dokumentacji przebiegu studiów.
** dostęp
do serwisu APD do dwóch dni roboczych od momentu zgłoszenia tematu pracy
Dokument systemu zarządzania jakością Instytutu Ekonomii, Finansów i Zarządzania UJ
ZABRANIA SIĘ KOPIOWANIA WZORU DOKUMENTU!