WARUNKI DOPUSZCZENIA STUDENTA DO EGZAMINU

Transkrypt

WARUNKI DOPUSZCZENIA STUDENTA DO EGZAMINU
Instytut Ekonomii i Zarządzania UJ
wersja 5
WARUNKI DOPUSZCZENIA STUDENTA DO EGZAMINU DYPLOMOWEGO*
Data wydania 09.01.2013
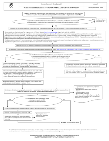
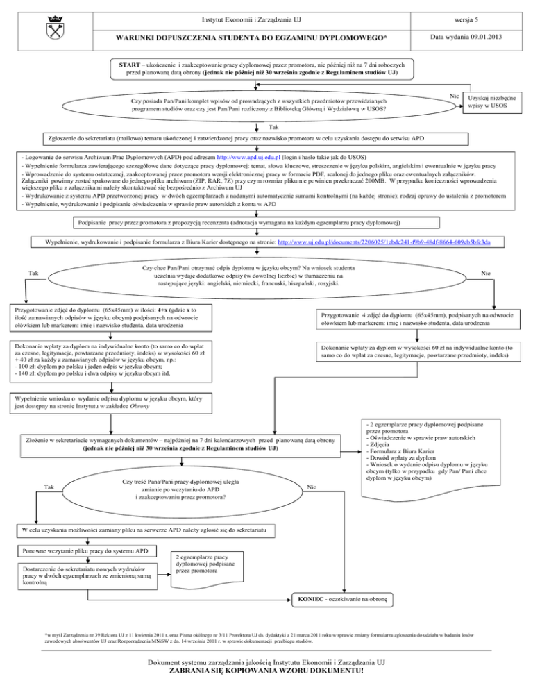
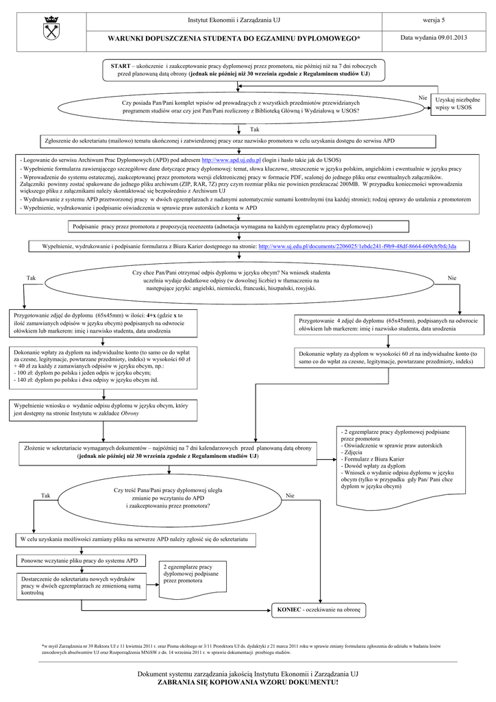
START – ukończenie i zaakceptowanie pracy dyplomowej przez promotora, nie później niż na 7 dni roboczych
przed planowaną datą obrony (jednak nie później niż 30 września zgodnie z Regulaminem studiów UJ)
Czy posiada Pan/Pani komplet wpisów od prowadzących z wszystkich przedmiotów przewidzianych
programem studiów oraz czy jest Pan/Pani rozliczony z Biblioteką Główną i Wydziałową w USOS?
Nie
Uzyskaj niezbędne
wpisy w USOS
Tak
Zgłoszenie do sekretariatu (mailowo) tematu ukończonej i zatwierdzonej pracy oraz nazwisko promotora w celu uzyskania dostępu do serwisu APD
- Logowanie do serwisu Archiwum Prac Dyplomowych (APD) pod adresem http://www.apd.uj.edu.pl (login i hasło takie jak do USOS)
- Wypełnienie formularza zawierającego szczegółowe dane dotyczące pracy dyplomowej: temat, słowa kluczowe, streszczenie w języku polskim, angielskim i ewentualnie w języku pracy
- Wprowadzenie do systemu ostatecznej, zaakceptowanej przez promotora wersji elektronicznej pracy w formacie PDF, scalonej do jednego pliku oraz ewentualnych załączników.
Załączniki powinny zostać spakowane do jednego pliku archiwum (ZIP, RAR, 7Z) przy czym rozmiar pliku nie powinien przekraczać 200MB. W przypadku konieczności wprowadzenia
większego pliku z załącznikami należy skontaktować się bezpośrednio z Archiwum UJ
- Wydrukowanie z systemu APD przetworzonej pracy w dwóch egzemplarzach z nadanymi automatycznie sumami kontrolnymi (na każdej stronie); rodzaj oprawy do ustalenia z promotorem
- Wypełnienie, wydrukowanie i podpisanie oświadczenia w sprawie praw autorskich z konta w APD
Podpisanie pracy przez promotora z propozycją recenzenta (adnotacja wymagana na każdym egzemplarzu pracy dyplomowej)
Wypełnienie, wydrukowanie i podpisanie formularza z Biura Karier dostępnego na stronie: http://www.uj.edu.pl/documents/2206025/1ebdc241-f9b9-48df-8664-609cb5bfc3da
Czy chce Pan/Pani otrzymać odpis dyplomu w języku obcym? Na wniosek studenta
uczelnia wydaje dodatkowe odpisy (w dowolnej liczbie) w tłumaczeniu na
następujące języki: angielski, niemiecki, francuski, hiszpański, rosyjski.
Tak
Przygotowanie zdjęć do dyplomu (65x45mm) w ilości: 4+x (gdzie x to
ilość zamawianych odpisów w języku obcym) podpisanych na odwrocie
ołówkiem lub markerem: imię i nazwisko studenta, data urodzenia
Nie
Przygotowanie 4 zdjęć do dyplomu (65x45mm), podpisanych na odwrocie
ołówkiem lub markerem: imię i nazwisko studenta, data urodzenia
Dokonanie wpłaty za dyplom na indywidualne konto (to samo co do wpłat
za czesne, legitymacje, powtarzane przedmioty, indeks) w wysokości 60 zł
+ 40 zł za każdy z zamawianych odpisów w języku obcym, np.:
- 100 zł: dyplom po polsku i jeden odpis w języku obcym;
- 140 zł: dyplom po polsku i dwa odpisy w języku obcym itd.
Dokonanie wpłaty za dyplom w wysokości 60 zł na indywidualne konto (to
samo co do wpłat za czesne, legitymacje, powtarzane przedmioty, indeks)
Wypełnienie wniosku o wydanie odpisu dyplomu w języku obcym, który
jest dostępny na stronie Instytutu w zakładce Obrony
Złożenie w sekretariacie wymaganych dokumentów – najpóźniej na 7 dni kalendarzowych przed planowaną datą obrony
(jednak nie później niż 30 września zgodnie z Regulaminem studiów UJ)
Tak
Czy treść Pana/Pani pracy dyplomowej uległa
zmianie po wczytaniu do APD
i zaakceptowaniu przez promotora?
- 2 egzemplarze pracy dyplomowej podpisane
przez promotora
- Oświadczenie w sprawie praw autorskich
- Zdjęcia
- Formularz z Biura Karier
- Dowód wpłaty za dyplom
- Wniosek o wydanie odpisu dyplomu w języku
obcym (tylko w przypadku gdy Pan/ Pani chce
dyplom w języku obcym)
Nie
W celu uzyskania możliwości zamiany pliku na serwerze APD należy zgłosić się do sekretariatu
Ponowne wczytanie pliku pracy do systemu APD
Dostarczenie do sekretariatu nowych wydruków
pracy w dwóch egzemplarzach ze zmienioną sumą
kontrolną
2 egzemplarze pracy
dyplomowej podpisane
przez promotora
KONIEC - oczekiwanie na obronę
*w myśl Zarządzenia nr 39 Rektora UJ z 11 kwietnia 2011 r. oraz Pisma okólnego nr 3/11 Prorektora UJ ds. dydaktyki z 21 marca 2011 roku w sprawie zmiany formularza zgłoszenia do udziału w badaniu losów
zawodowych absolwentów UJ oraz Rozporządzenia MNiSW z dn. 14 września 2011 r. w sprawie dokumentacji przebiegu studiów.
Dokument systemu zarządzania jakością Instytutu Ekonomii i Zarządzania UJ
ZABRANIA SIĘ KOPIOWANIA WZORU DOKUMENTU!