MOPS Orzysz Grupa P2

Transkrypt

MOPS Orzysz Grupa P2
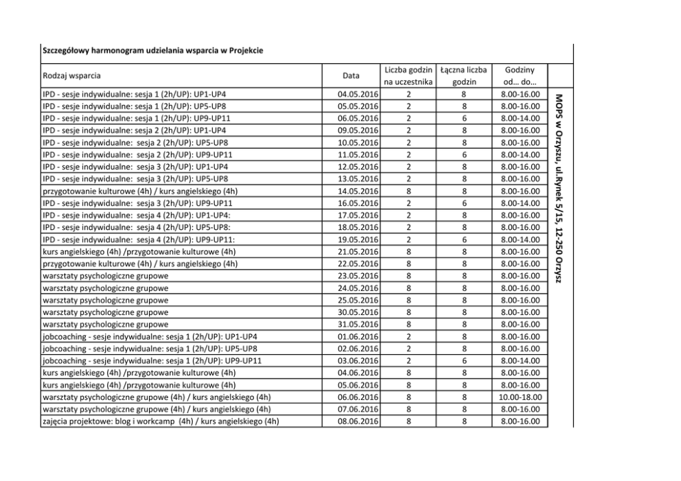
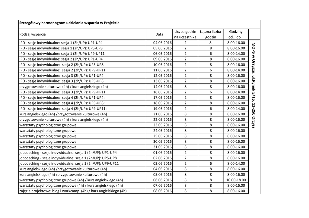
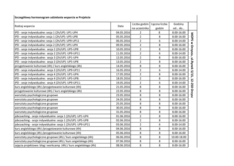
SzczegółowyharmonogramudzielaniawsparciawProjekcie
Rodzajwsparcia
04.05.2016
05.05.2016
06.05.2016
09.05.2016
10.05.2016
11.05.2016
12.05.2016
13.05.2016
14.05.2016
16.05.2016
17.05.2016
18.05.2016
19.05.2016
21.05.2016
22.05.2016
23.05.2016
24.05.2016
25.05.2016
30.05.2016
31.05.2016
01.06.2016
02.06.2016
03.06.2016
04.06.2016
05.06.2016
06.06.2016
07.06.2016
08.06.2016
Liczbagodzin Łącznaliczba
nauczestnika
godzin
2
8
2
8
2
6
2
8
2
8
2
6
2
8
2
8
8
8
2
6
2
8
2
8
2
6
8
8
8
8
8
8
8
8
8
8
8
8
8
8
2
8
2
8
2
6
8
8
8
8
8
8
8
8
8
8
Godziny
od…do…
8.00-16.00
8.00-16.00
8.00-14.00
8.00-16.00
8.00-16.00
8.00-14.00
8.00-16.00
8.00-16.00
8.00-16.00
8.00-14.00
8.00-16.00
8.00-16.00
8.00-14.00
8.00-16.00
8.00-16.00
8.00-16.00
8.00-16.00
8.00-16.00
8.00-16.00
8.00-16.00
8.00-16.00
8.00-16.00
8.00-14.00
8.00-16.00
8.00-16.00
10.00-18.00
8.00-16.00
8.00-16.00
MOPSwOrzyszu,ul.Rynek5/15,12-250Orzysz
IPD-sesjeindywidualne:sesja1(2h/UP):UP1-UP4
IPD-sesjeindywidualne:sesja1(2h/UP):UP5-UP8
IPD-sesjeindywidualne:sesja1(2h/UP):UP9-UP11
IPD-sesjeindywidualne:sesja2(2h/UP):UP1-UP4
IPD-sesjeindywidualne:sesja2(2h/UP):UP5-UP8
IPD-sesjeindywidualne:sesja2(2h/UP):UP9-UP11
IPD-sesjeindywidualne:sesja3(2h/UP):UP1-UP4
IPD-sesjeindywidualne:sesja3(2h/UP):UP5-UP8
przygotowaniekulturowe(4h)/kursangielskiego(4h)
IPD-sesjeindywidualne:sesja3(2h/UP):UP9-UP11
IPD-sesjeindywidualne:sesja4(2h/UP):UP1-UP4:
IPD-sesjeindywidualne:sesja4(2h/UP):UP5-UP8:
IPD-sesjeindywidualne:sesja4(2h/UP):UP9-UP11:
kursangielskiego(4h)/przygotowaniekulturowe(4h)
przygotowaniekulturowe(4h)/kursangielskiego(4h)
warsztatypsychologicznegrupowe
warsztatypsychologicznegrupowe
warsztatypsychologicznegrupowe
warsztatypsychologicznegrupowe
warsztatypsychologicznegrupowe
jobcoaching-sesjeindywidualne:sesja1(2h/UP):UP1-UP4
jobcoaching-sesjeindywidualne:sesja1(2h/UP):UP5-UP8
jobcoaching-sesjeindywidualne:sesja1(2h/UP):UP9-UP11
kursangielskiego(4h)/przygotowaniekulturowe(4h)
kursangielskiego(4h)/przygotowaniekulturowe(4h)
warsztatypsychologicznegrupowe(4h)/kursangielskiego(4h)
warsztatypsychologicznegrupowe(4h)/kursangielskiego(4h)
zajęciaprojektowe:blogiworkcamp(4h)/kursangielskiego(4h)
Data
zajęciaprojektowe:blogiworkcamp(4h)/kursangielskiego(4h)
jobcoaching-sesjeindywidualne:sesja2(2h/UP):UP1-UP4
warsztatypsychologicznegrupowe(4h)/kursangielskiego(4h)
warsztatypsychologicznegrupowe(4h)/kursangielskiego(4h)
zajęciaprojektowe:blogiworkcamp(4h)/kursangielskiego(4h)
zajęciaprojektowe:blogiworkcamp(4h)/kursangielskiego(4h)
jobcoaching-sesjeindywidualne:sesja2(2h/UP):UP5-UP8
warsztatypsychologicznegrupowe(4h)/kursangielskiego(4h)
zajęciaprojektowe:blogiworkcamp(4h)/kursangielskiego(4h)
zajęciaprojektowe:blogiworkcamp(4h)/kursangielskiego(4h)
zajęciaprojektowe:blogiworkcamp(4h)/kursangielskiego(4h)
jobcoaching-sesjeindywidualne:sesja2(2h/UP):UP9-UP11
zajęciaprojektowe:blogiworkcamp(4h)/kursangielskiego(4h)
zajęciaprojektowe:blogiworkcamp(4h)/kursangielskiego(4h)
zajęciaprojektowe:blogiworkcamp(4h)/kursangielskiego(4h)
Lekarzmedycynypracy
jobcoaching-sesjeindywidualne:sesja3(2h/UP):UP1-UP4
jobcoaching-sesjeindywidualne:sesja3(2h/UP):UP5-UP8
jobcoaching-sesjeindywidualne:sesja3(2h/UP):UP9-UP11
kurszawodowy:kelner
kurszawodowy:kelner
kurszawodowy:kelner
kurszawodowy:kelner
kurszawodowy:kelner
jobcoaching-sesjeindywidualne:sesja4(2h/UP):UP1-UP4
jobcoaching-sesjeindywidualne:sesja4(2h/UP):UP5-UP8
jobcoaching-sesjeindywidualne:sesja4(2h/UP):UP9-UP11
przygotowaniedowyjazdu
przygotowaniedowyjazdu
przygotowaniedowyjazdu
Wylot:GRUPAplusMENTORPOLSKI
09.06.2016
10.06.2016
13.06.2016
14.06.2016
15.06.2016
16.06.2016
17.06.2016
20.06.2016
21.06.2016
22.06.2016
23.06.2016
24.06.2016
27.06.2016
28.06.2016
29.06.2016
30.06.2016
01.07.2016
04.07.2016
05.07.2016
11.07.2016
12.07.2016
13.07.2016
14.07.2016
15.07.2016
19.07.2016
20.07.2016
21.07.2016
25.07.2016
27.07.2016
28.07.2016
29.07.2016
8
2
8
8
8
8
2
8
8
8
8
2
8
8
8
niedotyczy
2
2
2
8
8
8
8
8
2
2
2
1
1
1
8
8
8
8
8
8
8
8
8
8
8
6
8
8
8
niedotyczy
8
8
6
8
8
8
8
8
8
8
6
1
1
1
10.00-18.00
8.00-16.00
10.00-18.00
8.00-16.00
8.00-16.00
10.00-18.00
8.00-16.00
10.00-18.00
8.00-16.00
8.00-16.00
10.00-18.00
8.00-14.00
10.00-18.00
8.00-16.00
8.00-16.00
niedotyczy
8.00-16.00
8.00-16.00
8.00-14.00
8.00-16.00
8.00-16.00
8.00-16.00
8.00-16.00
8.00-16.00
8.00-16.00
8.00-16.00
8.00-14.00
8.00-9.00
8.00-9.00
8.00-9.00