MOPS Ostrów Maz. Grupa O1

Transkrypt

MOPS Ostrów Maz. Grupa O1
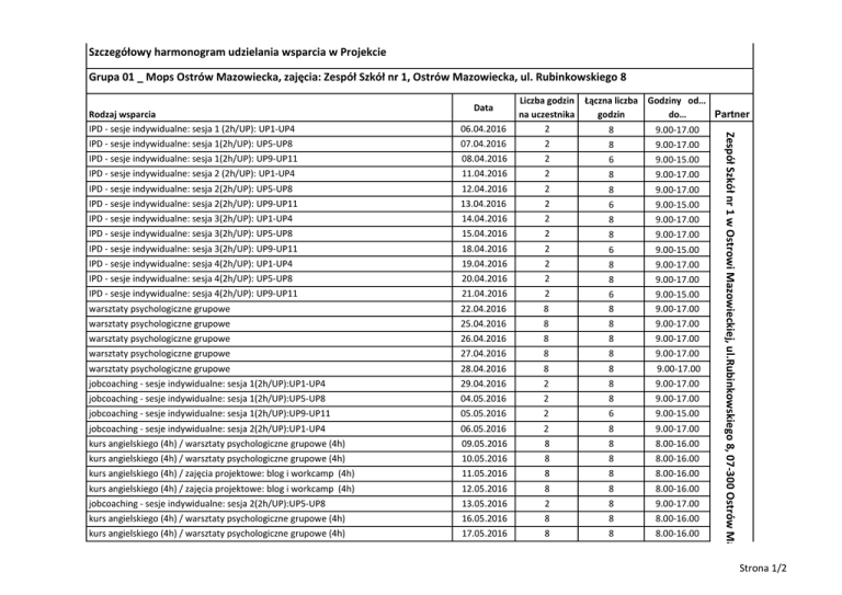
SzczegółowyharmonogramudzielaniawsparciawProjekcie
Grupa01_MopsOstrówMazowiecka,zajęcia:ZespółSzkółnr1,OstrówMazowiecka,ul.Rubinkowskiego8
Data
06.04.2016
07.04.2016
08.04.2016
11.04.2016
12.04.2016
13.04.2016
14.04.2016
15.04.2016
18.04.2016
19.04.2016
20.04.2016
21.04.2016
22.04.2016
25.04.2016
26.04.2016
27.04.2016
28.04.2016
29.04.2016
04.05.2016
05.05.2016
06.05.2016
09.05.2016
10.05.2016
11.05.2016
12.05.2016
13.05.2016
16.05.2016
17.05.2016
Liczbagodzin Łącznaliczba Godzinyod…
nauczestnika
godzin
do…
Partner
2
8
9.00-17.00
2
8
9.00-17.00
2
6
9.00-15.00
2
8
9.00-17.00
2
8
9.00-17.00
2
6
9.00-15.00
2
8
9.00-17.00
2
8
9.00-17.00
2
6
9.00-15.00
2
8
9.00-17.00
2
8
9.00-17.00
2
6
9.00-15.00
8
8
9.00-17.00
8
8
9.00-17.00
8
8
9.00-17.00
8
8
9.00-17.00
8
8
9.00-17.00
2
8
9.00-17.00
2
8
9.00-17.00
2
6
9.00-15.00
2
8
9.00-17.00
8
8
8.00-16.00
8
8
8.00-16.00
8
8
8.00-16.00
8
8
8.00-16.00
2
8
9.00-17.00
8
8
8.00-16.00
8
8
8.00-16.00
ZespółSzkółnr1wOstrowiMazowieckiej,ul.Rubinkowskiego8,07-300OstrówMazowiecka
Rodzajwsparcia
IPD-sesjeindywidualne:sesja1(2h/UP):UP1-UP4
IPD-sesjeindywidualne:sesja1(2h/UP):UP5-UP8
IPD-sesjeindywidualne:sesja1(2h/UP):UP9-UP11
IPD-sesjeindywidualne:sesja2(2h/UP):UP1-UP4
IPD-sesjeindywidualne:sesja2(2h/UP):UP5-UP8
IPD-sesjeindywidualne:sesja2(2h/UP):UP9-UP11
IPD-sesjeindywidualne:sesja3(2h/UP):UP1-UP4
IPD-sesjeindywidualne:sesja3(2h/UP):UP5-UP8
IPD-sesjeindywidualne:sesja3(2h/UP):UP9-UP11
IPD-sesjeindywidualne:sesja4(2h/UP):UP1-UP4
IPD-sesjeindywidualne:sesja4(2h/UP):UP5-UP8
IPD-sesjeindywidualne:sesja4(2h/UP):UP9-UP11
warsztatypsychologicznegrupowe
warsztatypsychologicznegrupowe
warsztatypsychologicznegrupowe
warsztatypsychologicznegrupowe
warsztatypsychologicznegrupowe
jobcoaching-sesjeindywidualne:sesja1(2h/UP):UP1-UP4
jobcoaching-sesjeindywidualne:sesja1(2h/UP):UP5-UP8
jobcoaching-sesjeindywidualne:sesja1(2h/UP):UP9-UP11
jobcoaching-sesjeindywidualne:sesja2(2h/UP):UP1-UP4
kursangielskiego(4h)/warsztatypsychologicznegrupowe(4h)
kursangielskiego(4h)/warsztatypsychologicznegrupowe(4h)
kursangielskiego(4h)/zajęciaprojektowe:blogiworkcamp(4h)
kursangielskiego(4h)/zajęciaprojektowe:blogiworkcamp(4h)
jobcoaching-sesjeindywidualne:sesja2(2h/UP):UP5-UP8
kursangielskiego(4h)/warsztatypsychologicznegrupowe(4h)
kursangielskiego(4h)/warsztatypsychologicznegrupowe(4h)
Strona1/2
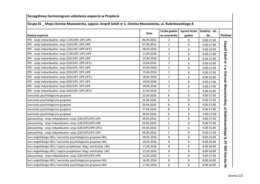
18.05.2016
19.05.2016
20.05.2016
23.05.2016
24.05.2016
25.05.2016
30.05.2016
31.05.2016
01.06.2016
02.06.2016
03.06.2016
03.06.2016
06.06.2016
07.06.2016
08.06.2016
09.06.2016
10.06.2016
13.06.2016
14.06.2016
15.06.2016
16.06.2016
17.06.2016
20.06.2016
21.06.2016
22.06.2016
23.06.2016
24.06.2016
27.06.2016
28.06.2016
-300OstrówMazowiecka
Rodzajwsparcia
kursangielskiego(4h)/zajęciaprojektowe:blogiworkcamp(4h)
kursangielskiego(4h)/przygotowaniekulturowe(4h)
jobcoaching-sesjeindywidualne:sesja2(2h/UP):UP9-UP11
kursangielskiego(4h)/warsztatypsychologicznegrupowe(4h)
kursangielskiego(4h)/zajęciaprojektowe:blogiworkcamp(4h)
kursangielskiego(4h)/przygotowaniekulturowe(4h)
kursangielskiego(4h)/przygotowaniekulturowe(4h)
kursangielskiego(4h)/zajęciaprojektowe:blogiworkcamp(4h)
kursangielskiego(4h)/przygotowaniekulturowe(4h)
kursangielskiego(4h)/przygotowaniekulturowe(4h)
Lekarzmedycynypracy
jobcoaching-sesjeindywidualne:sesja3(2h/UP):UP1-UP4
kursangielskiego(4h)/zajęciaprojektowe:blogiworkcamp(4h)
kursangielskiego(4h)/zajęciaprojektowe:blogiworkcamp(4h)
kursangielskiego(4h)/zajęciaprojektowe:blogiworkcamp(4h)
kursangielskiego(4h)/zajęciaprojektowe:blogiworkcamp(4h)
jobcoaching-sesjeindywidualne:sesja3(2h/UP):UP5-UP8
kurszawodowy:pokojowy
kurszawodowy:pokojowy
kurszawodowy:pokojowy
kurszawodowy:pokojowy
kurszawodowy:pokojowy
kursangielskiego(4h)/zajęciaprojektowe:blogiworkcamp(4h)
jobcoaching-sesjeindywidualne:sesja3(2h/UP):UP9-UP11
jobcoaching-sesjeindywidualne:sesja4(2h/UP):UP1-UP4
jobcoaching-sesjeindywidualne:sesja4(2h/UP):UP5-UP8
jobcoaching-sesjeindywidualne:sesja4(2h/UP):UP9-UP11
przygotowaniedowyjazdu
Wylot:GRUPAplusMENTORPOLSKI
Data
Liczbagodzin Łącznaliczba Godzinyod…
nauczestnika
godzin
do…
Partner
8
8
8.00-16.00
8
8
8.00-16.00
2
6
9.00-15.00
8
8
8.00-16.00
8
8
8.00-16.00
8
8
8.00-16.00
8
8
8.00-16.00
8
8
8.00-16.00
8
8
8.00-16.00
8
8
8.00-16.00
niedot
2
8
8
8
8
2
8
8
8
8
8
8
2
2
2
2
3
niedot
8
8
8
8
8
8
8
8
8
8
8
8
6
8
8
6
3
niedot
9.00-17.00
8.00-16.00
8.00-16.00
8.00-16.00
8.00-16.00
8.00-16.00
9.00-17.00
9.00-17.00
9.00-17.00
9.00-17.00
9.00-17.00
8.00-16.00
9.00-15.00
9.00-17.00
9.00-17.00
9.00-15.00
9.00-12.00
Strona2/2