KURS PODSTAWOWY

Transkrypt

KURS PODSTAWOWY
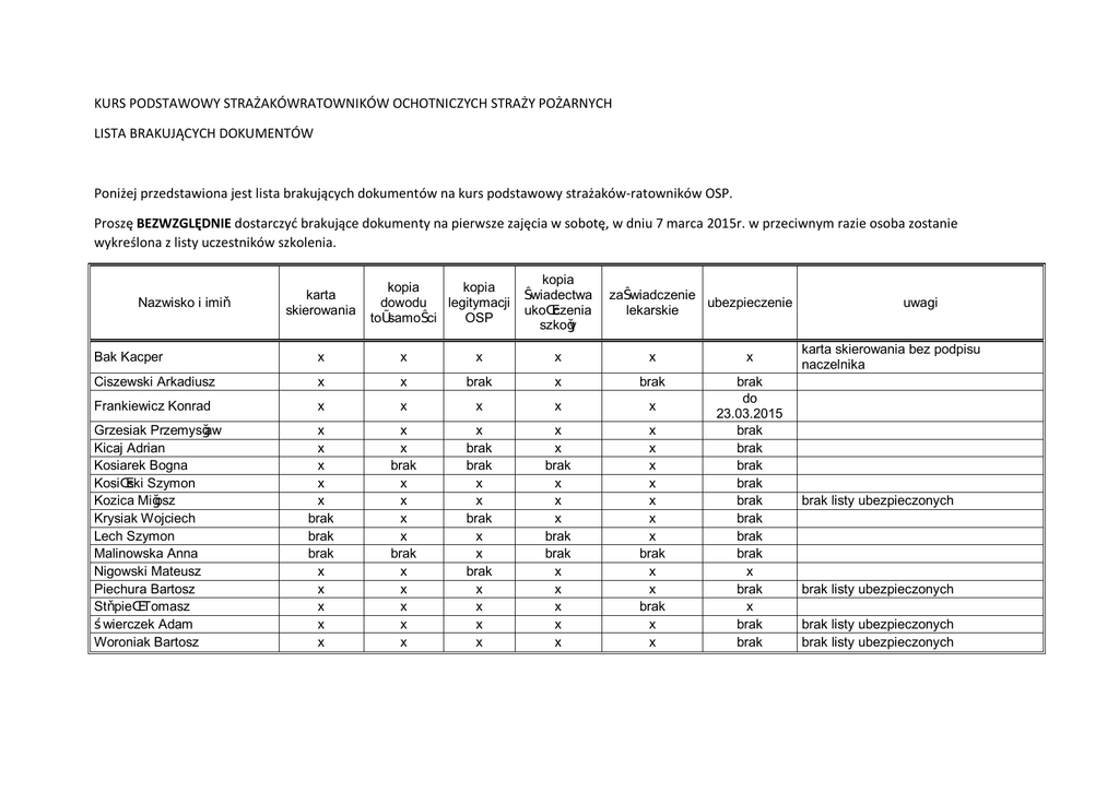
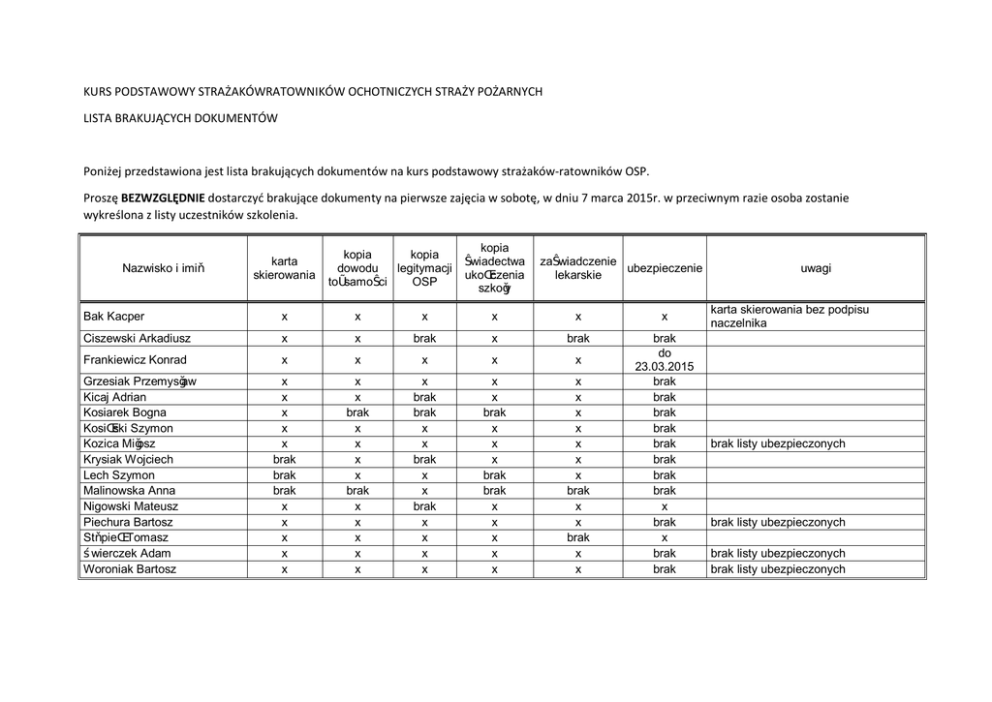
KURS PODSTAWOWY STRAŻAKÓWRATOWNIKÓW OCHOTNICZYCH STRAŻY POŻARNYCH
LISTA BRAKUJĄCYCH DOKUMENTÓW
Poniżej przedstawiona jest lista brakujących dokumentów na kurs podstawowy strażaków-ratowników OSP.
Proszę BEZWZGLĘDNIE dostarczyć brakujące dokumenty na pierwsze zajęcia w sobotę, w dniu 7 marca 2015r. w przeciwnym razie osoba zostanie
wykreślona z listy uczestników szkolenia.
Nazwisko i imię
karta
skierowania
kopia
kopia
dowodu
legitymacji
tożsamości
OSP
kopia
świadectwa
ukończenia
szkoły
zaświadczenie
ubezpieczenie
lekarskie
Bak Kacper
x
x
x
x
x
x
Ciszewski Arkadiusz
x
x
brak
x
brak
Frankiewicz Konrad
x
x
x
x
x
x
x
x
x
x
brak
brak
brak
x
x
x
x
x
x
x
brak
x
x
x
x
brak
x
x
x
x
x
x
brak
brak
x
x
brak
x
x
brak
x
x
x
x
x
x
brak
x
x
x
brak
brak
x
x
x
x
x
x
x
x
x
x
x
x
brak
x
x
brak
x
x
brak
do
23.03.2015
brak
brak
brak
brak
brak
brak
brak
brak
x
brak
x
brak
brak
Grzesiak Przemysław
Kicaj Adrian
Kosiarek Bogna
Kosiński Szymon
Kozica Miłosz
Krysiak Wojciech
Lech Szymon
Malinowska Anna
Nigowski Mateusz
Piechura Bartosz
Stępień Tomasz
Świerczek Adam
Woroniak Bartosz
uwagi
karta skierowania bez podpisu
naczelnika
brak listy ubezpieczonych
brak listy ubezpieczonych
brak listy ubezpieczonych
brak listy ubezpieczonych