1. Dana jest funkcja f(x)=5x2 + x - 2. Oblicz f(2), f , f(a), f(x + h). 2

Transkrypt

1. Dana jest funkcja f(x)=5x2 + x - 2. Oblicz f(2), f , f(a), f(x + h). 2
1.
2.
3.
4.
( )
f (x) = 5x2 + x − 2. Oblicz f (2), f 12 , f (a), f (x + h).
3x + 1
Niech f (x) =
. Wyznacz f (0), f (1), f (x + h) − f (x).
x2 + 5
2x + 1
g(x + h) − g(x)
Dla funkcji g(x) =
wyznacz g(3x), g(x2 ), g(−x), −g(x),
.
2−x
h
Dla poni»szych funkcji wyznacz f (−x) oraz −f (x).
Dana jest funkcja
x4 − x2
x−2
(a)
(b) f (x) =
(c) f (x) =
.
2
x +8
x2 + 2
Mówimy, »e funkcja jest parzysta, je»eli f (x) = f (−x) oraz »e jest nieparzysta, je±li zachodzi
równo±¢ −f (x) = f (−x). Która z powy»szych funkcji jest parzysta, a która jest nieparzysta?
√
2
5. Dane s¡ funkcje f (x) = x +1 oraz g(x) =
x + 3. Wyznacz f (3)−g(3), f (1+g(−2)),
f (g(x)), g(f (x) − 1) oraz g(f (x)).
2
6. Dana jest funkcja f (x) = x + 2x − 3. Dla jakich argumentów przyjmuje ona warto±ci
0? 3? f (1)?
2
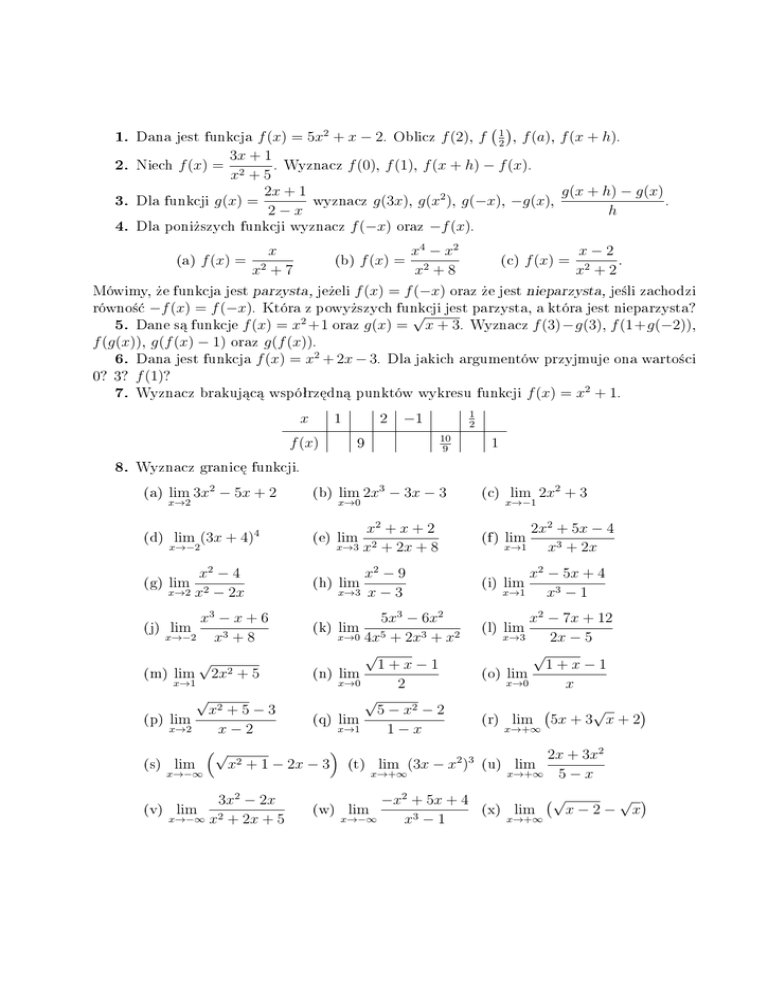
7. Wyznacz brakuj¡c¡ wspóªrz¦dn¡ punktów wykresu funkcji f (x) = x + 1.
x
f (x) = 2
x +7
1
x
f (x)
8.
2
−1
1
2
10
9
9
1
Wyznacz granic¦ funkcji.
(a)
(d)
(g)
lim 3x2 − 5x + 2
lim 2x3 − 3x − 3
(c)
(e)
lim
x2 + x + 2
x→3 x2 + 2x + 8
(f)
2x2 + 5x − 4
x→1
x3 + 2x
x2 − 4
x→2 x2 − 2x
(h)
x2 − 9
x→3 x − 3
(i)
x2 − 5x + 4
x→1
x3 − 1
x3 − x + 6
x→−2
x3 + 8
(k)
x→2
lim (3x + 4)4
x→−2
lim
(b)
x→0
lim
5x3 − 6x2
x→0 4x5 + 2x3 + x2
√
√
1+x−1
2
(m) lim 2x + 5
(n) lim
x→1
x→0
2
√
√
x2 + 5 − 3
5 − x2 − 2
(q) lim
(p) lim
x→1
x→2
x−2
1−x
(√
)
(s) lim
x2 + 1 − 2x − 3 (t) lim (3x − x2 )3
(j)
lim
lim
x→−∞
(v)
3x2 − 2x
x→−∞ x2 + 2x + 5
lim
x→+∞
(w)
−x2 + 5x + 4
x→−∞
x3 − 1
lim
lim 2x2 + 3
x→−1
lim
lim
x2 − 7x + 12
x→3
2x − 5
√
1+x−1
(o) lim
x→0
x
(l)
(r)
(u)
(x)
lim
lim
x→+∞
(
)
√
5x + 3 x + 2
2x + 3x2
x→+∞ 5 − x
lim
lim
x→+∞
(√
√ )
x−2− x
9.
Wyznacz asymptoty nast¦puj¡cych funkcji.
f (x) =
1
x−7
g(x) =
x2 + 5
2x − 6
h(x) =
2x + 5
x2 − 2x + 1
k(x) =
x4 − 4
(x + 2)3
t(x) =
x2 − 3
x2 + 4
p(x) =
x3 + 1
x2 − 4
s(x) =
x3 − 5
x−4
c(x) =
x2
x2 + 1
Wersja z 29 pa¹dziernika 2015
A
Typeset by L TEX.