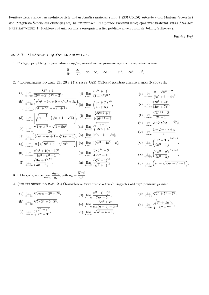
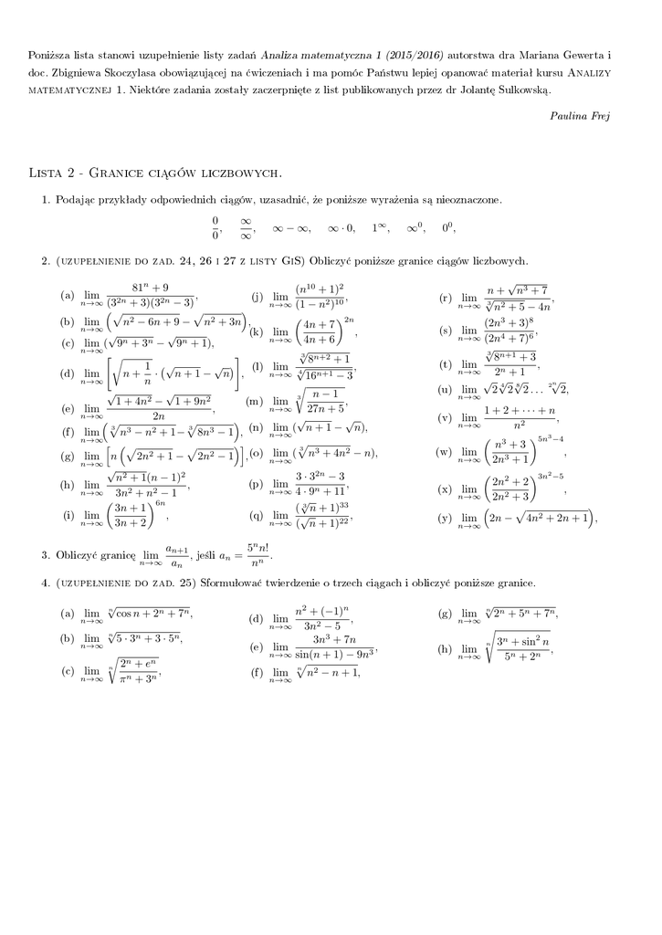
Lista 2 - Granice ci¡gów liczbowych.

Transkrypt

Lista 2 - Granice ci¡gów liczbowych.
Poni»sza lista stanowi uzupeªnienie listy zada« Analiza matematyczna 1 (2015/2016) autorstwa dra Mariana Gewerta i
doc. Zbigniewa Skoczylasa obowi¡zuj¡cej na ¢wiczeniach i ma pomóc Pa«stwu lepiej opanowa¢ materiaª kursu Analizy
matematycznej 1. Niektóre zadania zostaªy zaczerpni¦te z list publikowanych przez dr Jolant¦ Sulkowsk¡.
Paulina Frej
Lista 2 - Granice ci¡gów liczbowych.
1. Podaj¡c przykªady odpowiednich ci¡gów, uzasadni¢, »e poni»sze wyra»enia s¡ nieoznaczone.
0
,
0
∞
,
∞
∞ − ∞,
∞ · 0,
1∞ ,
∞0 ,
00 ,
2. (uzupeªnienie do zad. 24, 26 i 27 z listy GiS) Obliczy¢ poni»sze granice ci¡gów liczbowych.
(a)
(b)
(c)
(d)
(e)
(f )
(g)
(h)
(i)
81n + 9
,
(j)
n→∞ (32n + 3)(32n − 3)
p
p
lim
n2 − 6n + 9 − n2 + 3n ,
n→∞
(k)
√
√
lim ( 9n + 3n − 9n + 1),
n→∞
"r
#
√ 1 √
(l)
lim
n+ ·
n+1− n ,
n→∞
n
√
√
1 + 4n2 − 1 + 9n2
(m)
,
lim
n→∞
2n
p
p
3
3
lim
n3 − n2 + 1− 8n3 − 1 , (n)
n→∞
i
h p
p
2n2 + 1 − 2n2 − 1 , (o)
lim n
n→∞
√
n2 + 1(n − 1)2
(p)
lim
,
n→∞
3n2 + n2 − 1
6n
3n + 1
,
lim
(q)
n→∞ 3n + 2
lim
3. Obliczy¢ granic¦
an+1
,
n→∞ an
lim
je±li
an =
(n10 + 1)2
,
n→∞ (1 − n2 )10
2n
4n + 7
lim
,
n→∞ 4n + 6
√
3
8n+2 + 1
lim √
,
n→∞ 4 16n+1 − 3
r
n−1
lim 3
,
n→∞
27n + 5
√
√
lim ( n + 1 − n),
n→∞
p
3
lim ( n3 + 4n2 − n),
lim
n→∞
3 · 32n − 3
,
n→∞ 4 · 9n + 11
√
( 3 n + 1)33
,
lim √
n→∞ ( n + 1)22
lim
(r)
(s)
(t)
(u)
(v)
(w)
(x)
(y)
√
n + n3 + 7
lim √
,
n→∞ 3 n2 + 5 − 4n
(2n3 + 3)8
,
lim
n→∞ (2n4 + 7)6
√
3
8n+1 + 3
lim
,
n→∞
2n + 1
√
√ √
√
4
8
2n
lim 2 2 2 . . .
2,
n→∞
1 + 2 + ··· + n
,
n2
5n3 −4
3
n +3
lim
,
n→∞ 2n3 + 1
2
3n2 −5
2n + 2
lim
,
n→∞ 2n2 + 3
p
lim 2n − 4n2 + 2n + 1 ,
lim
n→∞
n→∞
5n n!
.
nn
4. (uzupeªnienie do zad. 25) Sformuªowa¢ twierdzenie o trzech ci¡gach i obliczy¢ poni»sze granice.
(a)
(b)
(c)
lim
n→∞
√
n
√
n
cos n + 2n + 7n ,
5 · 3n + 3 · 5n ,
r
2n + en
lim n n
,
n→∞
π + 3n
lim
n→∞
(d)
(e)
(f )
n2 + (−1)n
,
lim
n→∞
3n2 − 5
3
3n + 7n
lim
,
n→∞ sin(n + 1) − 9n3
p
n
lim
n2 − n + 1 ,
n→∞
(g)
(h)
√
n
2n + 5n + 7n ,
s
n + sin2 n
n 3
lim
,
n→∞
5n + 2n
lim
n→∞