Likwidacja środków niskocennych_P.56_DGZ

Transkrypt

Likwidacja środków niskocennych_P.56_DGZ
KARTA PROCEDURY
P.56_DGZ
Procedura: P.56
Zakres przedmiotowy: likwidacja środków niskocennych
Dokument w formie elektronicznej dostępny na:
http://puls.edu.pl/web/dzial-gospodarczy-zaopatrzenia
Formularz: wniosek likwidacyjny, protokół likwidacyjny,
Uczestnicy procesu:
1. pracownicy: jednostka/komórka organizacyjna, Dział Gospodarczy i Zaopatrzenia (DGZ), Dział
Ewidencji Środków Materialnych (DESM),
2. komisje/rady: Rektorska Komisja Likwidacyjna ds. WyposaŜenia AdministracyjnoGospodarczego,
Właściciel procesu: Dział Gospodarczy i Zaopatrzenia (DGZ),
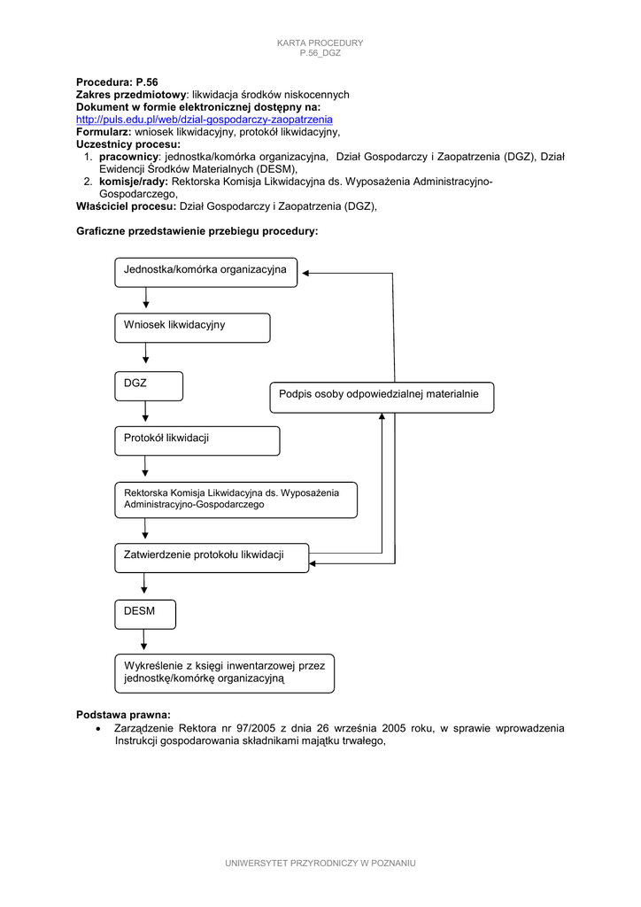
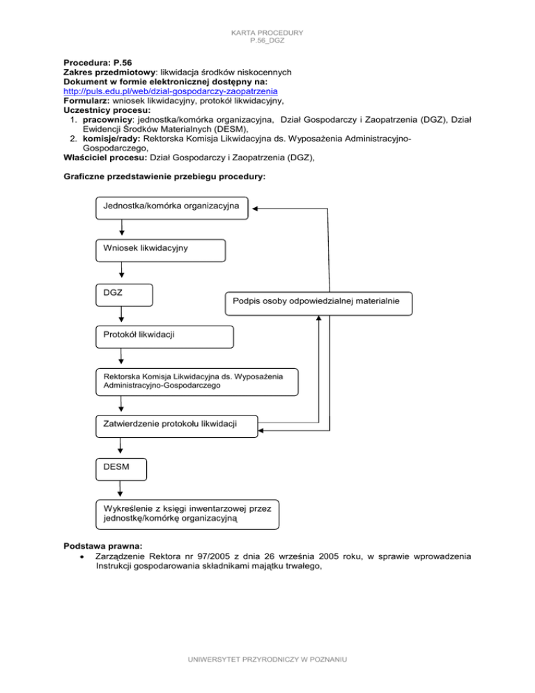
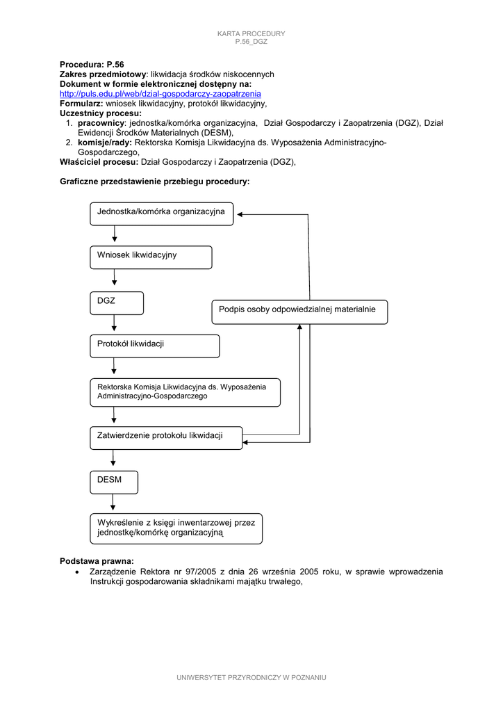
Graficzne przedstawienie przebiegu procedury:
Jednostka/komórka organizacyjna
Wniosek likwidacyjny
DGZ
Podpis osoby odpowiedzialnej materialnie
Protokół likwidacji
Rektorska Komisja Likwidacyjna ds. WyposaŜenia
Administracyjno-Gospodarczego
Zatwierdzenie protokołu likwidacji
DESM
Wykreślenie z księgi inwentarzowej przez
jednostkę/komórkę organizacyjną
Podstawa prawna:
• Zarządzenie Rektora nr 97/2005 z dnia 26 września 2005 roku, w sprawie wprowadzenia
Instrukcji gospodarowania składnikami majątku trwałego,
UNIWERSYTET PRZYRODNICZY W POZNANIU