Wynajem pojazdów służbowych_P.59_DGZ

Transkrypt

Wynajem pojazdów służbowych_P.59_DGZ
KARTA PROCEDURY
P.59_DGZ
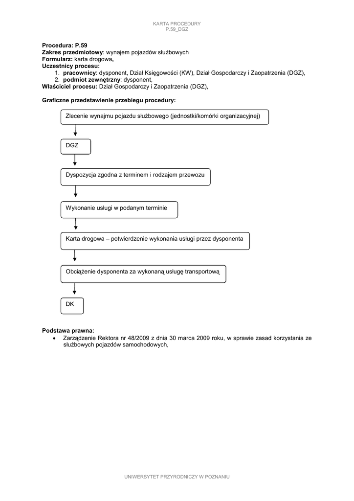
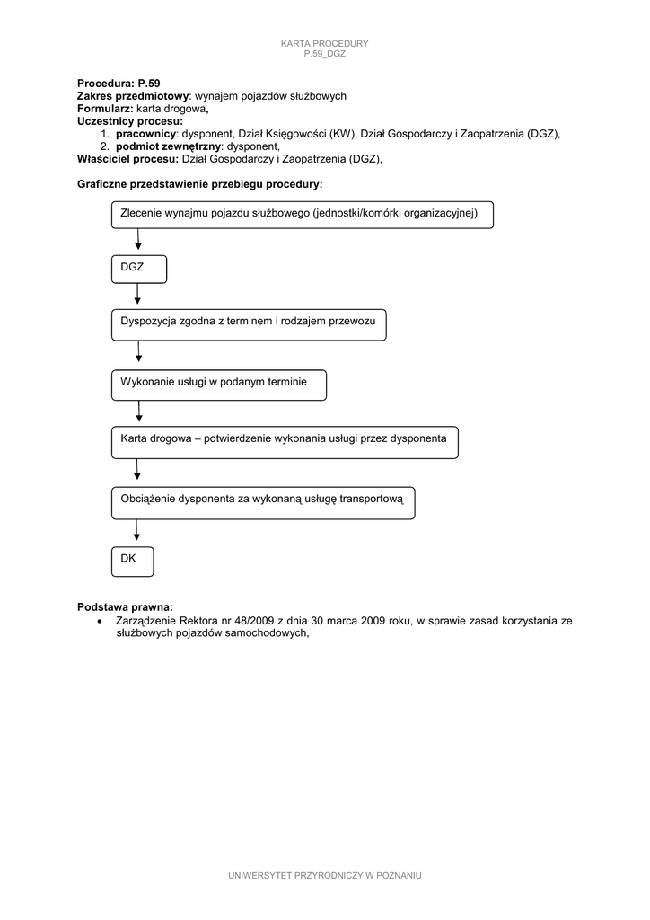
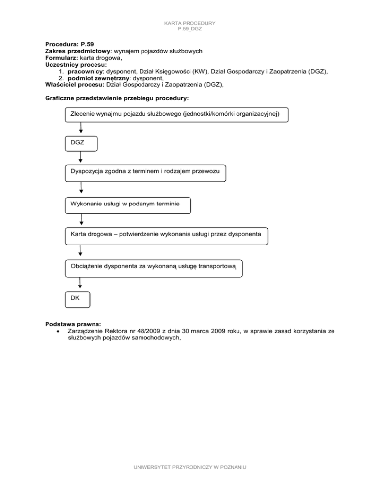
Procedura: P.59
Zakres przedmiotowy: wynajem pojazdów słuŜbowych
Formularz: karta drogowa,
Uczestnicy procesu:
1. pracownicy: dysponent, Dział Księgowości (KW), Dział Gospodarczy i Zaopatrzenia (DGZ),
2. podmiot zewnętrzny: dysponent,
Właściciel procesu: Dział Gospodarczy i Zaopatrzenia (DGZ),
Graficzne przedstawienie przebiegu procedury:
Zlecenie wynajmu pojazdu słuŜbowego (jednostki/komórki organizacyjnej)
DGZ
Dyspozycja zgodna z terminem i rodzajem przewozu
Wykonanie usługi w podanym terminie
Karta drogowa – potwierdzenie wykonania usługi przez dysponenta
ObciąŜenie dysponenta za wykonaną usługę transportową
DK
Podstawa prawna:
• Zarządzenie Rektora nr 48/2009 z dnia 30 marca 2009 roku, w sprawie zasad korzystania ze
słuŜbowych pojazdów samochodowych,
UNIWERSYTET PRZYRODNICZY W POZNANIU