zestaw 6 - zadania +.. - sigma web page - WSB-NLU

Transkrypt

zestaw 6 - zadania +.. - sigma web page - WSB-NLU
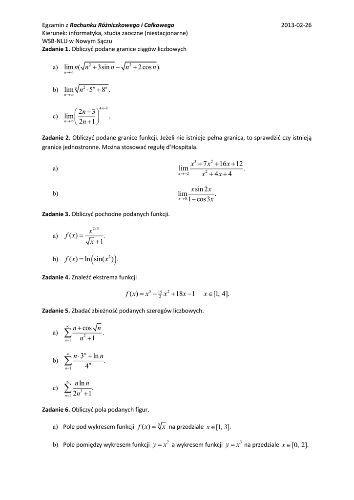
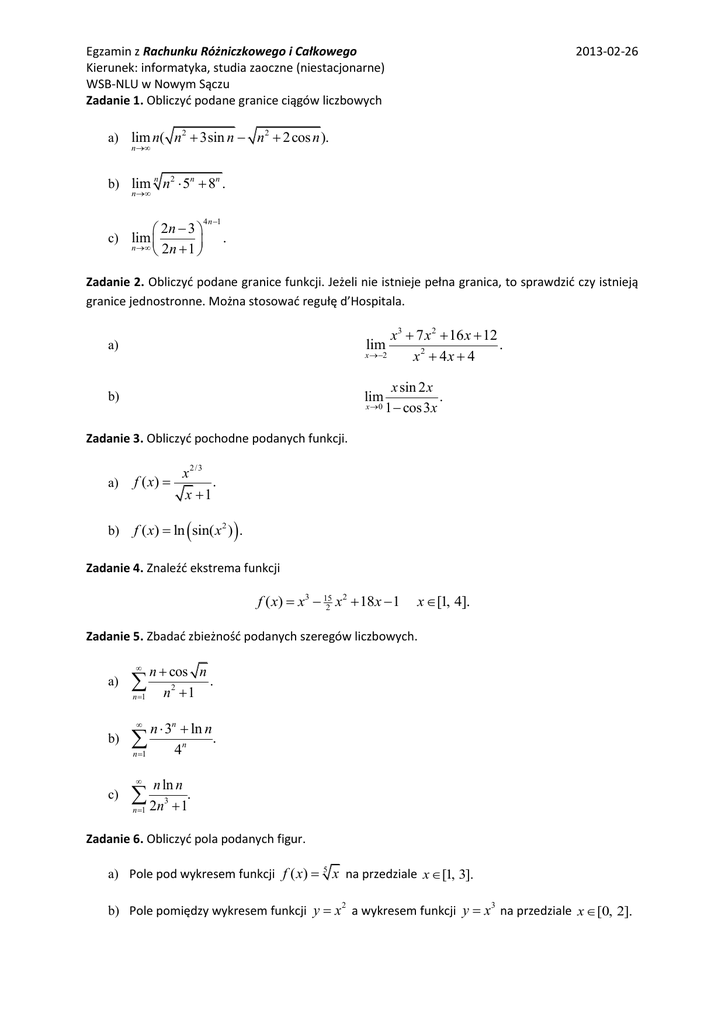
Egzamin z Rachunku Różniczkowego i Całkowego
Kierunek: informatyka, studia zaoczne (niestacjonarne)
WSB-NLU w Nowym Sączu
Zadanie 1. Obliczyd podane granice ciągów liczbowych
2013-02-26
a) lim n( n2  3sin n  n2  2cos n ).
n 
b) lim n n2  5n  8n .
n 
 2n  3 

 2n  1 
4 n 1
c) lim 
n 
.
Zadanie 2. Obliczyd podane granice funkcji. Jeżeli nie istnieje pełna granica, to sprawdzid czy istnieją
granice jednostronne. Można stosowad regułę d’Hospitala.
a)
x3  7 x 2  16 x  12
.
x 2
x2  4 x  4
b)
lim
lim
x sin 2 x
.
x 0 1  cos 3 x
Zadanie 3. Obliczyd pochodne podanych funkcji.
a)
x2 / 3
f ( x) 
.
x 1
b)
f ( x)  ln  sin( x 2 )  .
Zadanie 4. Znaleźd ekstrema funkcji
f ( x)  x3  152 x2  18x  1
x [1, 4].
Zadanie 5. Zbadad zbieżnośd podanych szeregów liczbowych.
n  cos n
.
n2  1
n 1

a)

b)
n  3n  ln n
.

4n
n 1
c)
 2n


n 1
n ln n
.
3
1
Zadanie 6. Obliczyd pola podanych figur.
a) Pole pod wykresem funkcji f ( x)  5 x na przedziale x [1, 3].
2
3
b) Pole pomiędzy wykresem funkcji y  x a wykresem funkcji y  x na przedziale x [0, 2].
Egzamin z Rachunku Różniczkowego i Całkowego
Kierunek: informatyka, studia zaoczne (niestacjonarne)
WSB-NLU w Nowym Sączu
2013-02-26
Zadania z teorii (wybieramy tylko trzy spośród podanych niżej).
Zadanie 1. Podaj definicję granicy ciągu liczbowego.
Zadanie 2. Podaj przykład funkcji nieciągłej.
Zadanie 3. Podaj wzór na całkowanie przez części dla całki nieoznaczonej.

Zadanie 4. Dany jest szereg liczbowy
 a . Co to znaczy, że szereg ten jest zbieżny?
n 1
n
Zadanie 5. Czy każdy ciąg ograniczony jest zbieżny? Jeżeli nie to podaj kontrprzykład.
Zadanie 6. Sformułuj warunek wystarczający na istnienie maksimum w punkcie x0  D   dla
funkcji f : D   dwukrotnie różniczkowalnej. Zakładamy, że D jest przedziałem.
Zadanie 7. Jaka jest zależność pomiędzy pochodną a monotonicznością funkcji f : (a, b)   ?