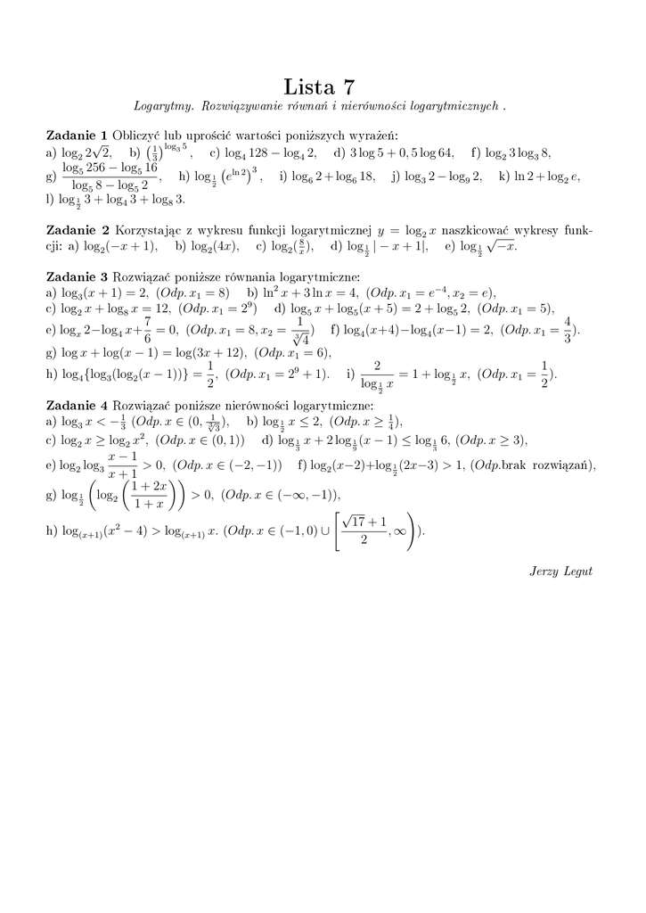
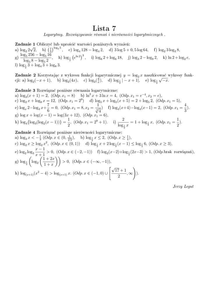
Lista 7

Transkrypt

Lista 7
Lista 7
Logarytmy. Rozwi¡zywanie równa« i nierówno±ci logarytmicznych .
Zadanie√1 Obliczy¢lub upro±ci¢ warto±ci poni»szych wyra»e«:
log 5
log2 2 2, b) 13 3 , c) log4 128 − log4 2, d) 3 log 5 + 0, 5 log 64, f) log2 3 log3 8,
3
log5 256 − log5 16
g)
, h) log 1 eln 2 , i) log6 2 + log6 18, j) log3 2 − log9 2, k) ln 2 + log2 e,
2
log5 8 − log5 2
l) log 1 3 + log4 3 + log8 3.
a)
2
Zadanie 2
cji: a)
Korzystaj¡c z wykresu funkcji logarytmicznej
log2 (−x + 1),
b)
log2 (4x),
c)
log2 ( x8 ),
d)
y = log2 x
log 1 | − x + 1|,
2
naszkicowa¢ wykresy funke)
log 1
2
√
−x.
Zadanie 3 Rozwi¡za¢ poni»sze równania logarytmiczne:
log3 (x + 1) = 2, (Odp. x1 = 8) b) ln2 x + 3 ln x = 4, (Odp. x1 = e−4 , x2 = e),
9
c) log2 x + log8 x = 12, (Odp. x1 = 2 )
d) log5 x + log5 (x + 5) = 2 + log5 2, (Odp. x1 = 5),
1
4
7
) f) log4 (x+4)−log4 (x−1) = 2, (Odp. x1 = ).
e) logx 2−log4 x+ = 0, (Odp. x1 = 8, x2 = √
3
6
3
4
g) log x + log(x − 1) = log(3x + 12), (Odp. x1 = 6),
1
2
1
9
h) log4 {log3 (log2 (x − 1))} = , (Odp. x1 = 2 + 1).
= 1 + log 1 x, (Odp. x1 = ).
i)
2
2
log 1 x
2
a)
2
Zadanie 4 Rozwi¡za¢ poni»sze nierówno±ci logarytmiczne:
1
1
log3 x < − 13 (Odp. x ∈ (0, √
b) log 1 x ≤ 2, (Odp. x ≥ 4 ),
3 ),
3
2
2
c) log2 x ≥ log2 x , (Odp. x ∈ (0, 1))
d) log 1 x + 2 log 1 (x − 1) ≤ log 1 6, (Odp. x ≥ 3),
3
9
3
x−1
> 0, (Odp. x ∈ (−2, −1)) f) log2 (x−2)+log 1 (2x−3) > 1, (Odp.brak
e) log2 log3
2
1
x+
1 + 2x
g) log 1 log2
> 0, (Odp. x ∈ (−∞, −1)),
2
1+x
"√
!
17
+
1
2
h) log(x+1) (x − 4) > log(x+1) x. (Odp. x ∈ (−1, 0) ∪
, ∞ ).
2
a)
rozwi¡za«),
Jerzy Legut