ptaki_parku_szczesliwickiego-29-11-2016

Transkrypt

ptaki_parku_szczesliwickiego-29-11-2016
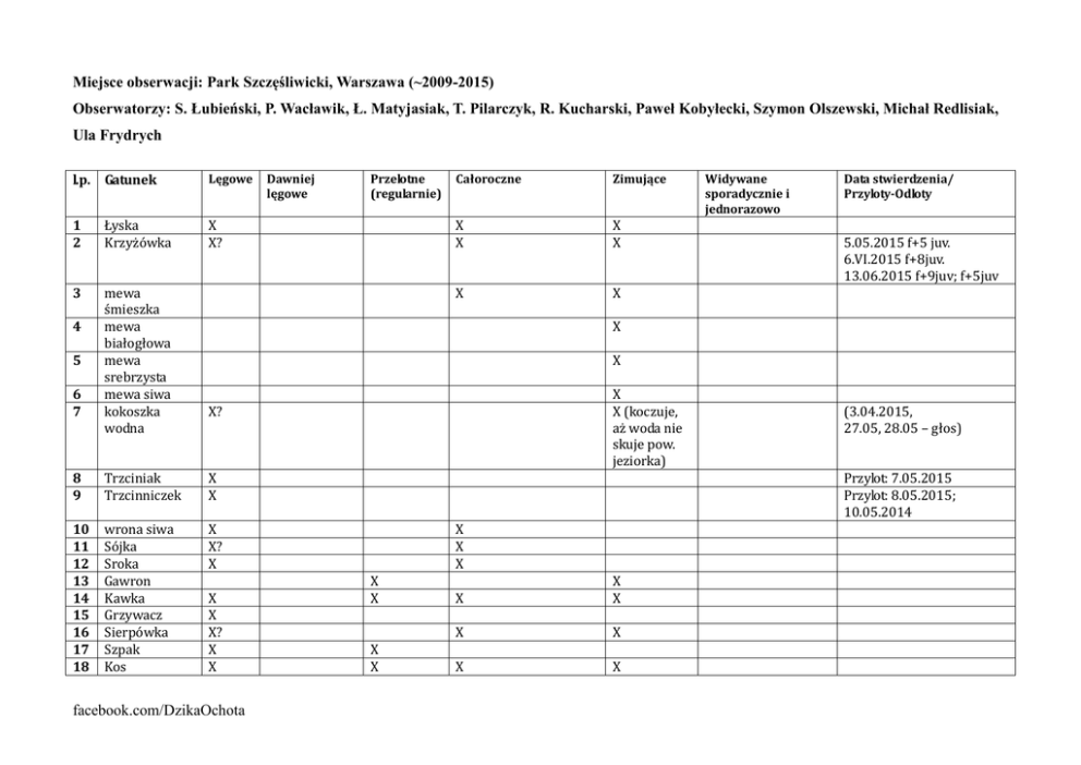
Miejsce obserwacji: Park Szczęśliwicki, Warszawa (~2009-2015)
Obserwatorzy: S. Łubieński, P. Wacławik, Ł. Matyjasiak, T. Pilarczyk, R. Kucharski, Paweł Kobyłecki, Szymon Olszewski, Michał Redlisiak,
Ula Frydrych
l.p. Gatunek
Lęgowe
1
2
Łyska
Krzyżówka
X
X?
3
mewa
śmieszka
mewa
białogłowa
mewa
srebrzysta
mewa siwa
kokoszka
wodna
4
5
6
7
Dawniej
lęgowe
Przelotne
(regularnie)
Całoroczne
Zimujące
X
X
X
X
X
X
Widywane
sporadycznie i
jednorazowo
Data stwierdzenia/
Przyloty-Odloty
5.05.2015 f+5 juv.
6.VI.2015 f+8juv.
13.06.2015 f+9juv; f+5juv
X
X
X
X (koczuje,
aż woda nie
skuje pow.
jeziorka)
X?
8
9
Trzciniak
Trzcinniczek
X
X
10
11
12
13
14
15
16
17
18
wrona siwa
Sójka
Sroka
Gawron
Kawka
Grzywacz
Sierpówka
Szpak
Kos
X
X?
X
X
X
X?
X
X
facebook.com/DzikaOchota
(3.04.2015,
27.05, 28.05 – głos)
Przylot: 7.05.2015
Przylot: 8.05.2015;
10.05.2014
X
X
X
X
X
X
X
X
X
X
X
X
X
X
19
20
Kwiczoł
Wróbel
21
22
23
24
25
26
27
28
29
Mazurek
Rudzik
Modraszka
Bogatka
Mysikrólik
Zięba
Dzwoniec
Szczygieł
Gil
30
pełzacz
ogrodowy
Kowalik
dzięcioł duży
dzięcioł
zielony
rybitwa
rzeczna
31
32
33
34
35
Jerzyk
36
37
Krogulec
Pustułka
38
Myszołów
39
słowik rdzawy
X
X?
X
X
X
X
X
X
X
X
X?
X
X
X
X
X
X
X
X
X
X
X
X
X
X
X
X
Ptaki stale obecne w parku.
Prawdopodobnie lęgowe na
terenie CSN Szczęśliwice i
na okolicznych budynkach.
X
X
X
Przylot:
06.11.2014 – przyl.;
18.03.2015 – ost.
23.10.2015-przyl.
X
X
X
facebook.com/DzikaOchota
X
X
X (ptaki żerują nad
glinianką w sezonie
lęgowym)
X (ptaki żerują nad
glinianką w sezonie
lęgowym)
X
X (regularnie przylatują
ptaki z budek na
Dickensa)
X
X?
5.05.2015
Przylot: 5.05.2015
Odlot: 12.08.2015
5os. (17.03.2015)
X
P. Wacławik
40
Bażant
41
bernikla
kanadyjska
42
43
44
45
46
Czernica
Jemiołuszka
łabędź niemy
Nurogęś
dzięcioł
białoszyi
Bączek
Grubodziób
Łozówka
Mandarynka
Płaskonos
Dzięciołek
47
48
49
50
51
52
53
54
55
56
57
58
59
60
61
62
63
Żuraw
Kruk
Cierniówka
Śpiewak
Kapturka
świstunka
leśna
brodziec
piskliwy
Piegża
Zaganiacz
Kormoran
czapla siwa
X (regularnie
słyszane od strony
ogródków
działkowych F.
Szczęśliwice)
X
2013/2014 (2 os.);
2014/2015 (1) – ptaki
koczują w parku dopóki lód
nie skuje tafli glinianek
X
X
X?
X
X (P. Wacławik)
X?
X
X
X?
X
Przylot: 16.05.2015 (2m,f)
X
18.05.2015
X
X
X?
X
(próba lęgu, dziupla
przejęta przez dz. dużego)
X (wysoko)
X (R. Kucharski)
X?
X
X?
X
X
X
X
X?
X (?)
X?
X?
X
X
X
facebook.com/DzikaOchota
30.05.2015
X
Przylot: 21.04.2015
Przylot: 23.04.2015 (1)
5.05.2015 (3)
30.05.2015 (1,1?)
Przylot: 16.04.2015
X
Prawdopodobnie zalatuje z
64
Remiz
65
Kopciuszek
66
Skowronek
X
67
68
69
Sosnówka
pełzacz leśny
Raniuszek
X
X
X
70
pliszka siwa
X
71
72
73
74
Krakwa
gęś zbożowa
(wiosna)
Droździk
Strzyżyk
75
76
77
Gęgawa
Pierwiosnek
Głowienka
X?
78
Piecuszek
X?
79
błotniak
stawowy
muchołówka
żałobna
80
81
Raszyna.
17.09.2014 – 2
X
X (gniazduje m.in. w
okolicach ul. Drawskiej
i Figiel; Usypiskowej i
Lirowej; Korotyńskiego
19A)
Odlot: 11.10.2014
Przylot: 18.03.2015
X
X
X (wysoko)
X
?
X?
X
X
X
X
X
X
X?
Potrzos
facebook.com/DzikaOchota
X
X
10.11.2014 – cn.10
(przyl.);
2014/2015 stałe wizyty
niewielkich stadek
Fen: 21.11.2014 –(2)
Przylot: 2.IV.2015 (1)
2.01.2015 – Ł. Matyjasiak
19.03.2015 (75);
20.03.2015
25.03 (3 – 2 przelot, 1 żer)
Fen: 5.01.2015
2.IV.2015 (1 p.)
Fen: 31.03.2015
6.04.2015 (5) – T. Pilarczyk
(fot.)
Przylot: 11.04.2015
16.04.2015
05.05.2015
Przylot: 16.04.2015
21.04.2015 (samica)
23.04.2015 (samiec – 2)
23.04.2015
82
83
Zniczek
Dymówka
84
Oknówka
85
86
87
Perkoz
dwuczuby
Słowik szary
Perkozek
88
Pleszka
89
Wójcik
X
90
91
Zimorodek
Muchołówka
szara
Czyż
Czeczotka
Rożeniec
X
X
Mewa
delawarska
Gągoł
X
Biegus
krzywodzioby
Jer
Świstun
chilijski
x
92
93
94
95
96
97
98
X? (dawniej
lęgowy –
informacja od
wędkarza)
X
X (sporadycznie
żeruje w sezonie
lęgowym)
X (regularnie żeruje
w sezonie lęgowym)
X
23.04.2015
23.04.2015
X
X
22.05.2015 (1)
31.05.2015(1)
X
facebook.com/DzikaOchota
X
X
X
X
x
X
7.05.2015-28.05.2015 (1)
13.06.2015 (samiec z pok.
w dziupli)
7.06.2015 śpiew poza
terenem parku, ulica
Lirowa
13.06.2015 (1 śpiew. –
foto, nagranie)
13.08.2015 (zdjęcie)
26.08.2015 (zdjęcie)
Paweł Pstrokoński
10.12.2015 (zdjęcie)
6.04.2013 (Paweł
Kobyłecki)
14.01.2016 (Paweł
Kobyłecki)
10.03.2016 (Szymon
Olszewski)
17.08.2016 (Michał
Redlisiak)
17.11.2016 (Ula Frydrych)
Uciekinier z niewoli.
facebook.com/DzikaOchota