Ptaki_Parku_Szczęśliwickiego (14.01.2016)

Transkrypt

Ptaki_Parku_Szczęśliwickiego (14.01.2016)
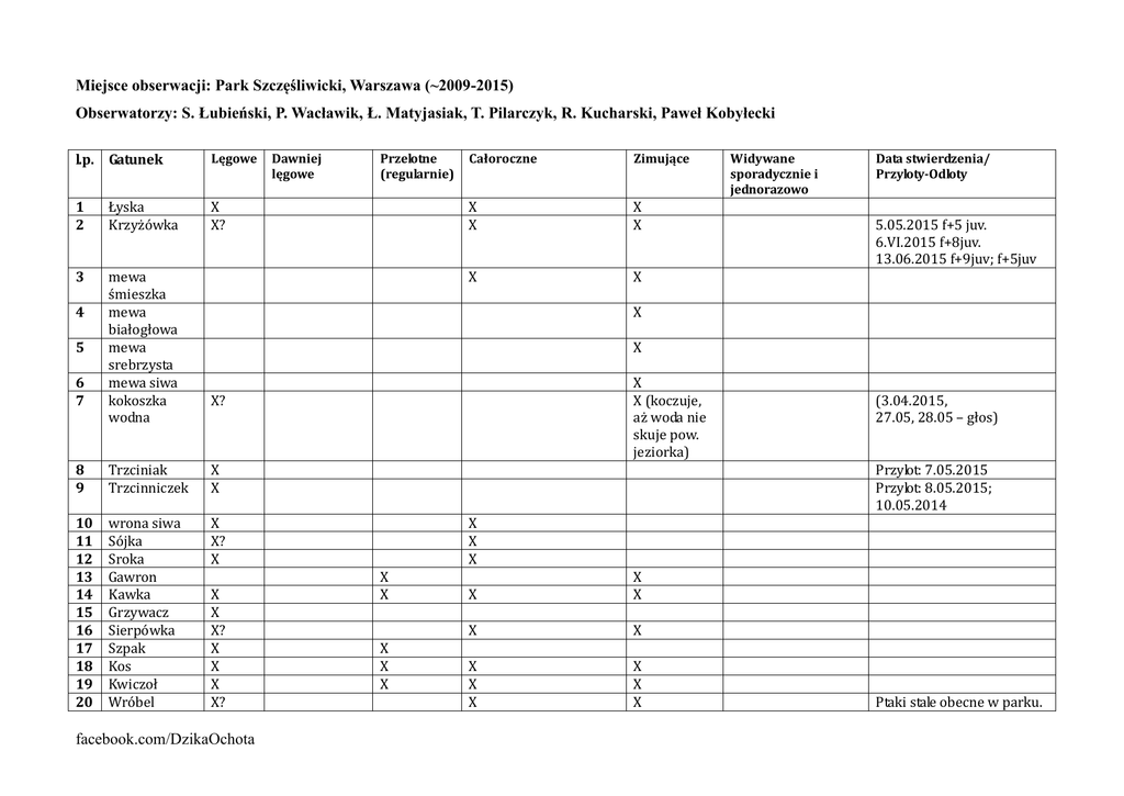
Miejsce obserwacji: Park Szczęśliwicki, Warszawa (~2009-2015)
Obserwatorzy: S. Łubieński, P. Wacławik, Ł. Matyjasiak, T. Pilarczyk, R. Kucharski, Paweł Kobyłecki
l.p. Gatunek
Lęgowe
1
2
Łyska
Krzyżówka
X
X?
3
mewa
śmieszka
mewa
białogłowa
mewa
srebrzysta
mewa siwa
kokoszka
wodna
4
5
6
7
Dawniej
lęgowe
Przelotne
(regularnie)
Całoroczne
Zimujące
X
X
X
X
X
X
Widywane
sporadycznie i
jednorazowo
Data stwierdzenia/
Przyloty-Odloty
5.05.2015 f+5 juv.
6.VI.2015 f+8juv.
13.06.2015 f+9juv; f+5juv
X
X
X
X (koczuje,
aż woda nie
skuje pow.
jeziorka)
X?
8
9
Trzciniak
Trzcinniczek
X
X
10
11
12
13
14
15
16
17
18
19
20
wrona siwa
Sójka
Sroka
Gawron
Kawka
Grzywacz
Sierpówka
Szpak
Kos
Kwiczoł
Wróbel
X
X?
X
X
X
X?
X
X
X
X?
facebook.com/DzikaOchota
(3.04.2015,
27.05, 28.05 – głos)
Przylot: 7.05.2015
Przylot: 8.05.2015;
10.05.2014
X
X
X
X
X
X
X
X
X
X
X
X
X
X
X
X
X
X
X
Ptaki stale obecne w parku.
Prawdopodobnie lęgowe na
terenie CSN Szczęśliwice i
na okolicznych budynkach.
21
22
23
24
25
26
27
28
29
Mazurek
Rudzik
Modraszka
Bogatka
Mysikrólik
Zięba
Dzwoniec
Szczygieł
Gil
30
pełzacz
ogrodowy
Kowalik
dzięcioł duży
dzięcioł
zielony
rybitwa
rzeczna
31
32
33
34
35
Jerzyk
36
37
Krogulec
Pustułka
38
Myszołów
39
słowik
rdzawy
Bażant
40
X
X
X
X
X
X
X
X?
X
X
X
X
X
X
X
X
X
X
X
X
X
X
X
Przylot:
06.11.2014 – przyl.;
18.03.2015 – ost.
23.10.2015-przyl.
X
X
X
facebook.com/DzikaOchota
X
X
X (ptaki żerują nad
glinianką w sezonie
lęgowym)
X (ptaki żerują nad
glinianką w sezonie
lęgowym)
X
X (regularnie przylatują
ptaki z budek na
Dickensa)
X
X?
5.05.2015
Przylot: 5.05.2015
Odlot: 12.08.2015
5os. (17.03.2015)
X
X (regularnie
P. Wacławik
słyszane od strony
ogródków
działkowych F.
Szczęśliwice)
41
bernikla
kanadyjska
42
43
44
45
46
Czernica
Jemiołuszka
łabędź niemy
Nurogęś
dzięcioł
białoszyi
Bączek
Grubodziób
Łozówka
Mandarynka
Płaskonos
Dzięciołek
47
48
49
50
51
52
53
54
55
56
57
58
59
60
61
62
63
Żuraw
Kruk
Cierniówka
Śpiewak
Kapturka
świstunka
leśna
brodziec
piskliwy
Piegża
Zaganiacz
Kormoran
czapla siwa
X
2013/2014 (2 os.);
2014/2015 (1) – ptaki
koczują w parku dopóki lód
nie skuje tafli glinianek
X
X
X?
X
X (P. Wacławik)
X?
X
X
X?
Przylot: 16.05.2015 (2m,f)
X
X
18.05.2015
X
X
X?
X
(próba lęgu, dziupla
przejęta przez dz. dużego)
X (wysoko)
X (R. Kucharski)
X?
X
X?
X
X
X
X
X?
X (?)
X?
X?
X
X
X
facebook.com/DzikaOchota
30.05.2015
X
Przylot: 21.04.2015
Przylot: 23.04.2015 (1)
5.05.2015 (3)
30.05.2015 (1,1?)
Przylot: 16.04.2015
X
Prawdopodobnie zalatuje z
Raszyna.
64
Remiz
65
Kopciuszek
66
Skowronek
X
67
68
69
Sosnówka
pełzacz leśny
Raniuszek
X
X
X
70
pliszka siwa
X
71
72
73
74
Krakwa
gęś zbożowa
(wiosna)
Droździk
Strzyżyk
75
76
77
Gęgawa
Pierwiosnek
Głowienka
X?
78
Piecuszek
X?
79
błotniak
stawowy
muchołówka
żałobna
80
81
82
83
X
17.09.2014 – 2
X (gniazduje m.in. w
okolicach ul. Drawskiej i
Figiel; Usypiskowej i
Lirowej; Korotyńskiego
19A)
Odlot: 11.10.2014
Przylot: 18.03.2015
X
X
X (wysoko)
X
?
X?
X
X
X
X
X
X
X?
Potrzos
Zniczek
Dymówka
facebook.com/DzikaOchota
X
X
X
X (sporadycznie
10.11.2014 – cn.10 (przyl.);
2014/2015 stałe wizyty
niewielkich stadek
Fen: 21.11.2014 –(2)
Przylot: 2.IV.2015 (1)
2.01.2015 – Ł. Matyjasiak
19.03.2015 (75);
20.03.2015
25.03 (3 – 2 przelot, 1 żer)
Fen: 5.01.2015
2.IV.2015 (1 p.)
Fen: 31.03.2015
6.04.2015 (5) – T. Pilarczyk
(fot.)
Przylot: 11.04.2015
16.04.2015
05.05.2015
Przylot: 16.04.2015
21.04.2015 (samica)
23.04.2015 (samiec – 2)
23.04.2015
23.04.2015
23.04.2015
żeruje w sezonie
lęgowym)
X (regularnie żeruje
w sezonie lęgowym)
X
7.05.2015-28.05.2015 (1)
X
X
22.05.2015 (1)
31.05.2015(1)
84
Oknówka
85
86
87
Perkoz
dwuczuby
Słowik szary
Perkozek
88
Pleszka
89
Wójcik
X
90
91
Zimorodek
Muchołówka
szara
Czyż
Czeczotka
Rożeniec
X
X
92
93
94
95
X? (dawniej
lęgowy –
informacja od
wędkarza)
X
X?
X
X
X
Mewa
delawarska
X
Świstun
chilijski
X
facebook.com/DzikaOchota
13.06.2015 (samiec z pok.
w dziupli)
7.06.2015 śpiew poza
terenem parku, ulica
Lirowa
13.06.2015 (1 śpiew. –
foto, nagranie)
13.08.2015 (zdjęcie)
26.08.2015 (zdjęcie)
Paweł Pstrokoński
10.12.2015 (zdjęcie)
6.04.2013 (Paweł
Kobyłecki)
14.01.2016 (Paweł
Kobyłecki)
Uciekinier z niewoli.