x(f ⋅ + + = xln 1 )

Transkrypt

x(f ⋅ + + = xln 1 )
W ramkach [.] są niektóre rozwiazania lub odpowiedzi .
3
sin 3 x
arctg ( x 2 )
e−x
2
3
1. Obliczyć pochodne: a) f ( x ) =
b) f ( x ) = x − 1 ⋅ ln x c) f ( x ) = 2
d) f ( x ) =
1 + cos 3 x
tg 4 x
1 + tg 2 x
e) f ( x ) = ( x − 5) ⋅ tg x
2
3
cos 3 x
h) f ( x ) =
j) f ( x ) =
4 + sin x
3
sin 4 x
f) f ( x ) =
arcctg( x 3 )
g) f ( x ) = ln x ⋅ (3x + 5) [ f ′( x ) =
2
2 x ln x
+ ln x ⋅ 6x ]
1 + e 2x
i) f ( x ) =
+ x ⋅ ln x
sin 2 x
h) f ( x ) = (2 + ln x ) ⋅ (ctg x )
2
sin 2 x
1
− 3
[ f ′( x ) =
ln(cos x ) ln x
3x 2 + 5
2 sin x cos x ⋅ ln(cos x ) +
2
ln (cos x )
sin 3 x
cos x +
3
] k) f ( x ) = (2 + ln 2 x ) ⋅ (ctg x ) .
x ln 4 x
2. Obliczyć drugą pochodną funkcji f ( x ) . Wynik zapisać w najprostszej postaci:
a) f ( x ) = x ⋅ arctg x [ f ′′( x ) =
(
)
2
]
2
( x + 1) 2
d) f ( x ) = ln x + 2 x − 5 [ f ′′( x ) =
2
b) f ( x ) = arc tg e
[ f ′′( x ) =
2x
4e 2 x − 4e 6 x
]
(1 + e 4 x ) 2
− x 2 − 2x − 7
]
( x 2 + 2 x − 5) 2
3. Sprawdzić, że funkcja y = y( x ) spełnia podane obok równanie: a) y =
x −5
; 2( y ′) 2 = ( y − 1) ⋅ y ′′
x+2
d) y = 2 x − x 2 ; y 3 ⋅ y ′′ = −1
b) y = sin e x ; y ′ − y ′′ = e 2 x y c) y = e x ; 4 xy ′′ = y − 2 y ′
′
3
 1− x 
−1
−1
2
 =
[ f ′′( x ) = 
;
L
=
2
x
−
x
⋅
= −1 = P ].
2 
2
2
2
2
2
x
−
x
(
2
x
−
x
)
⋅
2
x
−
x
(
2
x
−
x
)
⋅
2
x
−
x


(
)
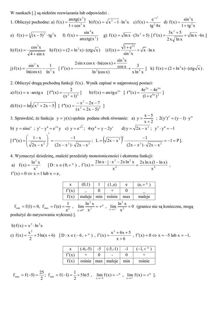
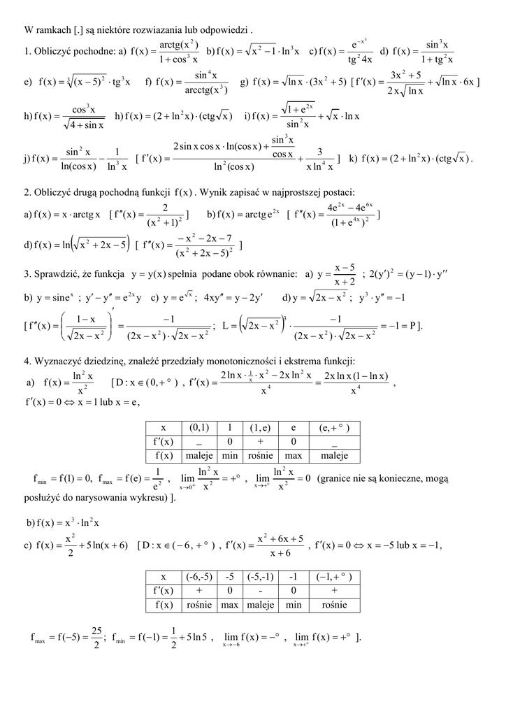
4. Wyznaczyć dziedzinę, znaleźć przedziały monotoniczności i ekstrema funkcji:
2 ln x ⋅ 1x ⋅ x 2 − 2 x ln 2 x 2 x ln x (1 − ln x )
ln 2 x
a) f ( x ) = 2
=
,
[ D : x ∈ ( 0, + ∞) , f ′( x ) =
x
x4
x4
f ′( x ) = 0 ⇔ x = 1 lub x = e ,
x
f ′( x )
f (x )
(0,1)
_
1
0
maleje min
( 1 , e)
+
rośnie
e
0
max
(e, + ∞)
_
maleje
1
ln 2 x
ln 2 x
,
lim
=
+∞
,
lim
= 0 (granice nie są konieczne, mogą
2
x → +∞ x 2
x →0 + x
e2
posłużyć do narysowania wykresu) ].
f min = f (1) = 0, f max = f (e) =
b) f ( x ) = x 3 ⋅ ln 2 x
c) f ( x ) =
x2
x 2 + 6x + 5
+ 5 ln(x + 6) [ D : x ∈ ( − 6 , + ∞) , f ′( x ) =
, f ′( x ) = 0 ⇔ x = −5 lub x = −1,
2
x+6
x
f ′( x )
f (x )
f max = f (−5) =
(-6,-5) -5 (-5,-1)
+
0
rośnie max maleje
25
1
; f min = f (−1) = + 5 ln 5 ,
2
2
-1
0
min
(−1, + ∞)
+
rośnie
lim f ( x ) = −∞ , lim f ( x ) = +∞ ].
x→− 6
x → +∞
2
2
2
2
d) f ( x ) = x 2 e − x [ D : x ∈ R , f ′( x ) = 2 x e − x + x 2 e − x (−2 x ) = e − x 2 x (1 − x 2 ) ,
f ′( x ) = 0 ⇔ x = −1 lub x = 1 lub x = 0
( − ∞ , − 1)
+
rośnie
x
f ′( x )
f (x )
−1
0
max
0
0
min
(−1 , 0 )
_
maleje
x2
2
f min = f (0) = 0, f max = f (−1) = f (1 ) = e −1 = 1e , lim x 2 e − x = lim
x → −∞
lim x 2 e
−x 2
x → +∞
= lim
x → +∞
x
e
2
x2
x → −∞
x →0
= lim
2x
x → −∞
2x ⋅ e
x2
= 0,
= 0 ].
tg x
1
−
x
 2 
x →0 e − e
d) lim
x
e x + e−x − 2
[2]
x →0
1 − cos x
tg x − 1
ln cos x
f) lim
[0] g) lim
2
π
x →0
x
x → 2 sin x − 1
a) lim ( x ⋅ ln 2 x ) [0] :
5. Za pomocą reguły L`Hospitala znaleźć granice:
c) lim+ ( x 2 ln 2 x ) [0]
e
x2
( 1, + ∞ )
_
maleje
1
0
max
(0 , 1 )
+
rośnie
x →0 +
e) lim ( x 3 ⋅ e −3 x ) [0]
x →∞
b) lim
4
−2 x
−e
sin 4 x
4x
3
 2 
x →0
x →0
e −x
e −x
− e −x
− (1 + x 2 )
− 2x
1
[ lim
= lim 2 = lim
= lim x = lim x = 0 ]
j) lim
x
x →∞
x →∞
x
x
x →∞ 2arc tg x − π
x →∞ 2arc tg x − π
→
∞
→
∞
2e
2e
e
2
h) lim+ ( tg x ⋅ ln 1x ) [0]
e
i) lim
1+ x
6. Napisać wzór Maclaurina funkcji f ( x ) = ln(1 − x ) dla n = 4 . Wykorzystując ten wzór, obliczyć przybliżoną
wartość ln 45 , a następnie oszacować błąd przybliżenia. [wzór: ln(1 − x ) = − x −
1
ln( 45 ) ≈ − 15 − 501 − 375
=
−150 −15 − 2
750
≈ −0,2226666.. , ∆ =
1
− 625
4( − 1)
Θ
5
4
≤
x2 x3
x4
−
−
;
2
3 4(Θx − 1) 4
1
= 0,0004 ].
4 ⋅ 625
7. Napisać wzór Maclaurina funkcji f ( x ) = x ⋅ e x dla n = 5 . Wykorzystując ten wzór, obliczyć przybliżoną
wartość
1
3
⋅ 3 e , a następnie oszacować błąd przybliżenia. .
x 3 x 4 5e Θ x + Θxe Θ x 5
[wzór: x ⋅ e = x + x +
+
+
x ;
2
6
24
x
Θ
2
1
3
1
3
⋅ e ≈ 13 + 19 +
1
27⋅2
+ 811⋅6 =
226
486
≈ 0,465020576 ;
Θ
5e 3 + Θ3 e 3 1
5
5
∆=
⋅
≤
=
≤ 0.001 ].
24
243 24 ⋅ 243 5832
ln x
dx c) ∫ ln x dx d) ∫ ln 2 x dx e) ∫ x 2 arctg xdx
x3
2x
u = ln(x 2 + 1) u ′ = 2
2
x3
x + 1 = x ln(x 2 + 1) −
f) ∫ x ln(x 2 + 1) dx [ ∫ x ln(x 2 + 1) dx =
∫ x 2 + 1 dx =
x2
2
v′ = x
v=
2
2
3
2
3
x
x +x−x
x
x +x
x
x2
x2 1
2
2
2
=
ln( x + 1) − ∫
dx =
ln( x + 1) − ∫ 2
dx + ∫ 2
dx = ln(x + 1) −
+ ln(x 2 + 1) ]
2
2
2
2
2 2
x +1
x +1
x +1
5. Obliczyć (przez części) całki
a) ∫ arc tg x dx
b) ∫
6. Obliczyć całki: a)
f) ∫
k)
∫
cos x
1 + sin x
3
tg x + 2
2
cos x
dx g) ∫
dx
(x + x ) 2
∫ x 3 dx
b) ∫
sin 3 x
x 2 + 2x 2 x + 2
x −2
x+3
c)
d)
dx
dx
dx
e)
∫ x x
∫ 2+x
∫ cos 2 x dx
x3
2x + 1
3x − 1
cos x
dx
dx h) ∫ 2
dx [rozbić na dwie całki] i) ∫ 2
dx [podobnie] j) ∫
4
sin x
x +1
x +1
x 2 + ln x
[∫
3
tg x + 2
2
cos x
t = 3 tg x + 2
dx =
t 3 = tg x + 2 = ∫ t ⋅ 3t 2 dt = 3∫ t 3 dt = 34 t 4 =
dx
3t 2 dt =
cos 2 x
33
4
( tg x + 2) 4 ].