Opole, dn. 18.11.2011 r.

Transkrypt

Opole, dn. 18.11.2011 r.
Projekt współfinansowany przez Unię Europejską ze środków Eur
w ramach Regionalnego Programu Operacyjnego Wojewó
„Inwestujemy w Twoją przy
Opole, dn. 18.11.2011 r.
......................................
......................................
.....................................
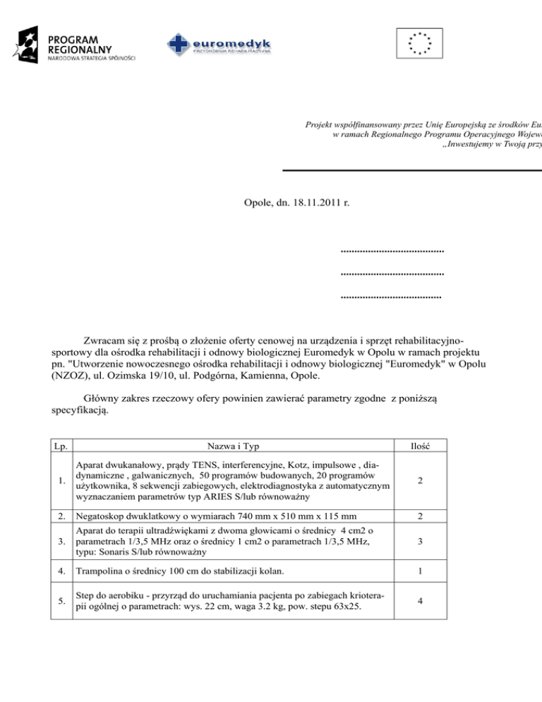
Zwracam się z prośbą o złożenie oferty cenowej na urządzenia i sprzęt rehabilitacyjnosportowy dla ośrodka rehabilitacji i odnowy biologicznej Euromedyk w Opolu w ramach projektu
pn. "Utworzenie nowoczesnego ośrodka rehabilitacji i odnowy biologicznej "Euromedyk" w Opolu
(NZOZ), ul. Ozimska 19/10, ul. Podgórna, Kamienna, Opole.
Główny zakres rzeczowy ofery powinien zawierać parametry zgodne z poniższą
specyfikacją.
Lp.
Nazwa i Typ
Ilość
1.
Aparat dwukanałowy, prądy TENS, interferencyjne, Kotz, impulsowe , diadynamiczne , galwanicznych, 50 programów budowanych, 20 programów
użytkownika, 8 sekwencji zabiegowych, elektrodiagnostyka z automatycznym
wyznaczaniem parametrów typ ARIES S/lub równoważny
2
2.
Negatoskop dwuklatkowy o wymiarach 740 mm x 510 mm x 115 mm
2
3.
Aparat do terapii ultradźwiękami z dwoma głowicami o średnicy 4 cm2 o
parametrach 1/3,5 MHz oraz o średnicy 1 cm2 o parametrach 1/3,5 MHz,
typu: Sonaris S/lub równoważny
3
4.
Trampolina o średnicy 100 cm do stabilizacji kolan.
1
5.
Step do aerobiku - przyrząd do uruchamiania pacjenta po zabiegach krioterapii ogólnej o parametrach: wys. 22 cm, waga 3.2 kg, pow. stepu 63x25.
4
6.
Aparat do terapii radialną falą uderzeniową z dwiema głowicami zabiegowymi, kompresorem olejowym i wózkiem, typu SHOCKMASTER 500+/lub
równoważny
1
7.
Kuchnia parafinowa przeznaczona do topienia i sterylizacji parafiny oraz do
podgrzewania kompresów żelowych, okładów termicznych i okładów borowinowych. Pojemność 22 l.
1
8.
System do ćwiczeń funkcjonalnych metodą S-E-T za pomocą systemu podwieszek/system rozszerzony typu REDCORD Plus Extra/lub równoważny
1
9.
System do ćwiczeń funkcjonalnych metodą S-E-T za pomocą systemu podwieszek/system podstawowy typu REDCORD Plus /lub równoważny
4
10. Drabinka gimnastyczna + okucia o parametrach 220 cm x 90 cm.
6
Dwu-sekcyjny stół do masażu z elektryczną regulacją wysokości za pomocą
11. ramy wokół podstawy stołu, łatwa regulacja zagłówka sprężyną gazową, podstawa z systemem 4 unoszonych kół kierunkowych oraz 4 stopkami.
4
Audiowizualny system biofedback (ekran biały, zwijany, montowany do ścia12. ny/sufitu, rzutnik, zestaw DVD i konsola) do kształtowania zaburzonej motoryki dużej i małej /lub równoważny
1
13. Zestaw 64 kamieni + 6l podgrzewacz-zestaw do masażu rozluźniającego.
1
Inhalator ultradźwiękowy do pracy ciągłej. Parametry: przepływ powietrza
14. 30l/min., tryb pracy -praca ciągła, max. wydajność roztworu 8ml/min., typu
NEBUTUR 310/lub równoważny
1
15.
Zestaw do Tapingu (Taśmy do metody Kinesiology Tape- 10 rolek 17m różne kolory).
1
16. Aparat do mierzenia ciśnienia-zegarowy mechaniczny.
2
17. Aparat do mierzenia ciśnienia – elektroniczny.
1
Aparat cyfrowy ze statywem do archiwizacji postępów terapeutycznych. Pa18. rametry statywu: wys. max. 1,7 m, obciążenie 3,5 kg. Parametry aparatu: matryca 1/2.3 CMOS ze stabilizacją/lub równoważny
1
19.
Elektroda punktowa 12 mm. Przeznaczenie: fizykoterapia-przyrząd do elektrostymulacji przyczepów mięśniowych
1
20.
Goniometr metalowy 14" (360°) , przyrząd do pomiaru zakresu ruchomości w
stawach.
1
21. Młotek neurologiczny Babińskiego/lub równoważny
3
22.
Rękawica do rotora kończyn górnych -przyrząd służący do wspomagania
terapii u pacjentów z niedowładem kończyn górnych i uchwyt metalowy.
2
23.
Sandały do rotora (para)- przyrząd służący do wspomagania terapii u pacjentów z niedowładem kończyn dolnych.
1
24. Timer (minutnik) do doliczania czasu.
Podoskop- nie inwazyjne urządzenie pomiarowo-diagnostyczne do oceny
25.
stóp, typu: Bismed/lub równoważny
6
1
26.
Okład żelowy (kompres do schładzania lub ogrzewania na plecy) o wymiarach 36 cm x 28 cm.
5
27.
Okład żelowy (kompres do schładzania lub ogrzewania na plecy mały) o wymiarach 28 cm x 19 cm.
5
28.
Okład żelowy( kompres do schładzania lub ogrzewania na ramiona i szyję) o
wymiarach 58 cm x 18 cm.
3
29.
Elektroda Bergoniego (półmaska do elektrostymulacji nerwu trójdzielnego) w
kształcie półksiężyca z końcówką gniazdo + pokrowiec.
1
30.
Szuflada do stolika typu łoś, rozbudowa zestawu pod aparat do elektrostymulacji.
5
31. Urządzenie do trakcji kręgosłupa za podudzia do pozycji Perschl'a.
1
Podnośnik basenowy. Parametry: max. udźwig-135 kg, baterie: 2x12V-7Ah,
32. wbudowana ładowarka, pneumatyczny pilot sterujący, max. wysokość podnoszenia 1880 mm.
1
Schodołaz- urządzenie akumulatorowe, służące do transportu osób niepełnosprawnych wraz z wózkiem. Napędzane silnikiem elektrycznym, gumowe
33.
gąsienice zapewniające stabilną jazdę po schodach oraz pełne bezpieczeństwo
w zakresie 35° kąta nachylenia.
1
Stół do rehabilitacji neurologicznej, jedno-sekwencyjny, elektryczna regulacja
34. wysokości, koła jezdne (kierunkowe), wymiary 2000/1200 mm, typu Bobath/lub równoważny
1
35. Taśma-opakowanie 45,5 m czerwona typu Theraband/lub równoważny
1
36. Rotor nożny, przyrząd do poprawy ruchomości w stawach kończyn dolnych.
1
37. Pas do terapii manualnej.
5
Ofertę cenową wraz z terminem realizacji należy złożyć w siedzibie firmy EUROMEDYK
s.c., ul. Ozimska 19/10, 45-057 Opole, lub przesłać drogą elektroniczną na adres
[email protected] do 7 dni od ogłoszenia zapytania ofertowego.
Zamawiający po przeanalizowaniu ofert dokona wyboru oferty. Kryterium wyboru oferty to
najkorzystniejsza cena oraz wysoka jakość gwarantująca uzyskiwanie najlepszych efektów z
danych nakładów a także szybki termin dostawy sprzętu. Wybrany oferent zostanie zaproszony do
negocjacji i podpisania umowy.
Z poważaniem,
Andrzej Sochacki
Tomasz Sochacki
EUROMEDYK S.C.
ul. Ozimska 19/10
45-057 Opole