Arkusz1 Strona 1 Kod kursuMAP003093C j Nazwa kursu Analiza

Transkrypt

Arkusz1 Strona 1 Kod kursuMAP003093C j Nazwa kursu Analiza
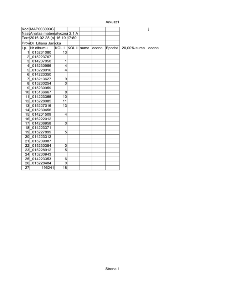
Arkusz1
Kod kursu
MAP003093C
Nazwa
Analiza
kursumatematyczna 2.1 A
Termin
2016-02-28 (n) 16:10-17:50
j
Prowadzケcy
Dr Liliana Janicka
Lp. Nr albumu
KOL I KOL II suma ocena Epodst
1 _015231080
13
2 _015223767
3 _014207050
1
4 _015230956
4
5 _015228016
4
6 _014223350
7 _013213627
9
8 _015230254
0
9 _015230959
10 _015166667
8
11 _014223365
10
12 _015228085
11
13 _015227016
13
14 _015230456
15 _014201509
4
16 _016222012
17 _014206958
0
18 _014223371
19 _015227899
5
20 _014223312
21 _015209087
22 _015230384
0
23 _015228912
5
24 _015230943
25 _014223353
6
26 _015228484
0
27
196241
18
Strona 1
20,00% suma ocena