Arkusz1 Strona 1 Nazwa kursu Analiza matematyczna 2.3A Termin

Transkrypt

Arkusz1 Strona 1 Nazwa kursu Analiza matematyczna 2.3A Termin
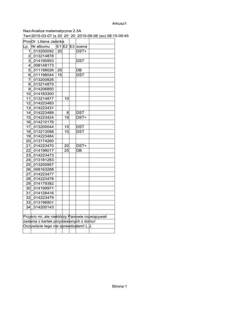
Arkusz1
Nazwa
Analiza
kursumatematyczna 2.3A
Termin
2015-03-07 (so)
2015-05-09
08:15-09:45
2015-05-16
2015-05-30
2015-06-06
(so)(so)
08:15-09:45
(so)
08:15-09:45
(so)
08:15-09:45
08:15-09:45
Prowadzケcy
Dr Liliana Janicka
Lp. Nr albumu
E1 E2 E3
1 _013200092 20
2 _013214878
3 _014195953
4 _008148173
5 _011198026 25
6 _011198044 15
7 _013200826
8 _013214875
9 _014206850
10 _014183300
11 _013214877
10
12 _014223483
13 _014223431
14 _014223489
8
15 _014223424
19
16 _014210176
17 _013200044
15
18 _013213088
15
19 _014223484
20 _013174260
21 _014223470
20
22 _014198017
25
23 _014223473
24 _013181283
25 _013200957
26 _008163288
27 _014223477
28 _014223478
29 _014179382
30 _014199971
31 _014128416
32 _014223479
33 _013196901
34 _014200143
ocena
DST+
DST
DB
DST
DST
DST+
DST
DST
DST+
DB
Przykro mi, ale niektórzy Panowie rozwiązywali
zadania z kartek przyniesionych z domu!
Oczywiście tego nie sprawdzałam! L.J.
Strona 1